Class 12 AHSEC 2022 Chemistry Question Paper Solved English Medium, AHSEC Class 12 Chemistry Question Paper Solved PDF Download, to each Paper is Assam Board Exam in the list of AHSEC so that you can easily browse through different subjects and select needs one. AHSEC Class 12 Chemistry Previous Years Question Paper Solved in English can be of great value to excel in the examination.

Class 12 AHSEC 2022 Chemistry Question Paper Solved English Medium
AHSEC Old Question Paper provided is as per the 2022 AHSEC Board Exam and covers all the questions from the AHSEC Class 12 Chemistry Solved Question Paper 2022 English Medium. Access the detailed Class 12 Chemistry 2022 Previous Years Question Paper Solved provided here and get a good grip on the subject. AHSEC 2022 Chemistry Question Paper Solved Access the AHSEC 2022 Chemistry Old Question Paper Solved, AHSEC Class 12 Chemistry Solved Question Paper 2022 of English in Page Format. Make use of them during your practice and score well in the exams.
CHEMISTRY
2022
CHEMISTRY OLD QUESTION PAPER SOLVED
1. A metal crystallies in a body-centred cubic structure. If ‘a’ is the edge length of its unit cell, ‘r’ is the radius of the sphere, what is the relationship between ‘r’ and ‘a’?
Ans: r = a √3/4 a
2. Arrange the following compounds in the increasing order of their boiling points: CH₃ – CHO, CH₃ – CH₂ – OH, CH₃ – CH₂ – CH₃
Ans: The order of boiling points is
CH3CH2CH3 < CH3 – O – CH3 < CH3CHO < CH3CH2OH
3. Write down the formula of Tetraamineaquachloridocobalt(III) chloride.
Ans: [C (NH₃)₄ (H₂O)CI] CI₂
4. Write the IUPAC name of the following compound:

Ans: Benzylic propeneol.
5. What will be the impact on Kf when the molality of a solution is doubled?
Ans: When the molality of a solution is doubled, the impact on Kf will be remain unchange.
6. Which is a stronger oxidizing agent- Bi (υ) or Sb (υ)?
Ans: Bi.
7. pKb of aniline is more than that of methylamine. Why?
Ans: In aniline, Ione pair of electrons on N-atom is delocalised over the benzenering. As a result, electron density on the nitrogen decreases. On the other hand, in CH₃NH₂, + I effect of CH₃ group increases the electron density on N-atom. Hence aniline is less basic than methylamine. So, Kb value of aniline is less than methylamine.
8. Which of the following compounds can undergo Hell-Volhard-Zelinsky reaction?
(i) Benzoic acid.
(ii) Propanoic acid.
Ans: (ii) Propanoic acid.
9. The freezing point depression constant for water is 1.86°Cm-¹. If 5.0g of Na₂So₄ is dissolved in 45g of water, then freezing point is charged by 3.80°C. Calculate the Van’t Hoff factor for Na₂SO₄.

Or
9. State Henry’s law. Why do gases nearly always tend to be less soluble in liquids as the temperature is raised?
Ans: Henry’s law states that the mass of a gas dissolved per unit volume of the solvent at a constant temperature is directly proportional to the pressure of the gas in equilibrium with the solution.
If m is the mass of the gas dissolved in a unit volume of the solvent and p is the pressure of the gas in equilibrium with the solution, then
m ∝ p
or m = k.p.
Where is the proportionality constant.
Solubility of gases in liquids decreases with rise in temperature. Because dissolution is an exothermic process.
10. Calculate the pH at which the potential of hydrogen electrode will be 0.059 V.
Ans: Given, 2H⁺ + 2e⁻¹ – H₂
Ecell = Eocell – 0.059 log 1/H+ Ecell = Eocell – 0.059 PH
0.059 = 0.0 – 0.059 PH
PH = -1
10. The Chmistry of corrosion of iron is essentially an Electrochemical phenomenon. Explain the reaction occurring during the corrosion of iron n the atmosphere.
Ans: In the phenomenon, CO2 or O2 act as an electrolyte. The reactions are given below,
At Anode: Fe – Fe2+ ; At Cathod: 2H+ + ½ O2 + 2e_ – H2O
Then, Fe + 2H+ + ½ O2 – Fe2+ + H2O
Over all reaction: 2Fe2+ + ½ O2 + 2H2O – Fe2O3 + 4H+
Fe2O3 + xH2O – Fe2O3 xH2O
11. Why H₂ and O₂ do not react at room temperature? Write the rate equation for the reaction A₂ + 3B₂ 2C, if the overall order of the reaction is zero.
Ans: H₂ and O₂ do not react at room temperature because the activation energy is high for that reaction which is not provided at room temperature.
Since, the overall order of the reaction is zero, so the rate equation for the reaction A₂ + 3B₂ – 2C, is Rate, = K[A]₀ [B]₀
Or
11. A first order reaction has a rate constant of 0.0051 min⁻¹. If we begin with 0.10M concentration of the reactant, what concentration of reactant will remain in solution after 3 hours?

12. Answer any two:
(a) Write the mathematical expression for the Freundlich absorption isotherm and draw the graph log x/y vs long P.
Ans: The plot between the extent of adsorption (x/m) against the pressure of gas (P) at constant temperature (T) is called the adsorption isotherm. Freundlich adsorption isotherm for adsorption of gases on solids:
x/m = Kₚ 1/n
It can also be written as
log x/m =log k + 1/n log P
Where x = mass of adsorbate
m = mass of adsorbent
P= Pressure of the gas
n = Constant and is greater than 1.
(b) How do emulsifiers stabilize emulsion? Name two emulsifiers.
Ans: Emulsifiers stabilise an emulsion by lowering the interfacial tension between the two liquids that make up the emulsion. Gums, soaps etc.
(c) Define shape-selective catalysis. Give an example.
Ans: The catalytic reaction that depends upon the pore structure of the catalyst and the pore structure of the catalyst and the size of the reactant and product molecules is called shape-selective catalysis.
13. Why is it that only sulphide ores are concentrated by froth floatation processes? What is the role of depressants in the froth floatation process of dressing of ores?
Ans: As the sulphide are particles are preferentially wetted by oil and gangue by coaterso froth floalation process is selected from the concentration of sulphide ore.
A depressant suppresses the formation of froath with a particular compound in the froath floatation process by reacting chemically with it. Thus it helps in the separation of two metal sulphides
on eg: In case of an ore containing ZnS and PbS, NaCN is used as depressant. It forms a layer of Zn complex, Na₂ [Zn(CN)₄] with ZnS the surface of Zns and therefore prevents it from forming the froath.
ZnS + 4NaCN – Na₂ [Zn(CN)₄] + Na₂S
14. Answer any two:
(a) Ti4+ compounds are colourless in aqueous solution but Ti3+ compounds are violet coloured. Explain.
Ans: If Ti⁴⁺, no electrons in d-orbital, no d-d transition is possible and So it is colourless. But in Ti³⁺, one electron is in d-orbital. So, it is coloured.
(b) What is meant by ‘disproportionation’ of an oxidation state? Give an example.
Ans: ‘Disproportionation’, is a redox reaction in which one compound of intermediate oxidation state converts to two compounds, one of higher and one of lower oxidation states.
(c) Actinoid contraction is greater than lanthanoid contraction. Why?
Ans: Actinoid contraction is greater from element to element than lanthanoid contraction due to poor shielding of 5f electrons (in actinoids ) as compared to shielding of 4f electrons (in lanthanoids). Due to this,the valence electrons of actinoids experience greater effective nuclear charge than that in lanthanoids.
15.(i) Write the IUPAC name of the following compound:
[Pt (NO₂) (NH3) BrCl]
Ans: Triamminebromochloronitroplatinum (iv) chloride.
(ii) How many geometrical isomers will be possible for:
[Pt (Py) (NH3) BrCl] compound?
Ans: 3 no. of geometrical isomers will be possible.
Or
15. Write the hybridization state of central atom of the following co-ordination complexes along with their magnetic properties.
[Cu (NH3)4]2+ and [Ni (CO)4]
Ans: Hybridization state of central atom of- [Cu (NH3)4]2+ = dsp², [Ni (CO)4] = Sp³
16. What is the prime cause of depression? Give an example of antidepressant drug.
Ans: There are many possible causes of depression, including faulty mood regulation by the brain, genetic vulnerability and stressful life events. Example, desipramine.
Or
16. What is the function of a Tranquilizer? Give an example of a compound which can be used both as Antiseptic and Disinfectants.
Ans: Tranquilizers depress or slow down certain body functions or the activity of an organ, such as the heart.
Phenol can be used both as antiseptic and disinfectants.
17. Mention the type of Semiconductor when Si doped with P. A solid compound XY has NaCl structure. If the radius of the cation (X+) is 100pm then calculate the radius of the anion (Y–).
Ans: 1s Part: N type
2nd Part: Radius ratio = r+/r– = 0.414
= 100/r–
= 0.414
r– = 100/0.414
= 241.5pm
Or
17. What are semiconductors? How electrical conductivity of semiconductors vary with temperature? Give one example of intrinsic semiconductors.
Ans: Semiconductors are materials which have conductivity between conductors and non-conductors or insulators.
The electrical conductivity of a semi conductor increases with increase in temperature.
Example of intrinsic semiconductor – Si & Ge (Silicon & Germonium)
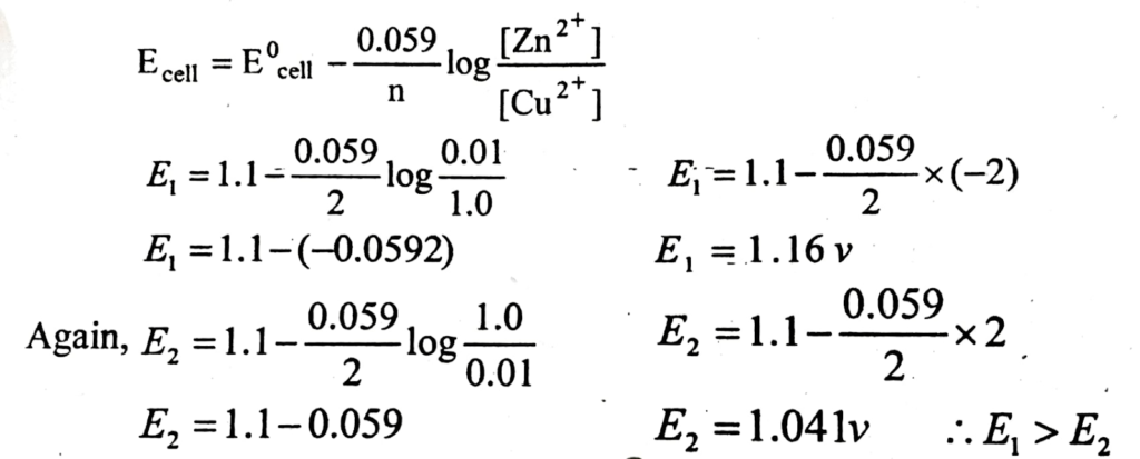
18. In the electrochemical cell;
Zn/ZnSO₄ (0.1M)// CuSo4 (0.1M)/Cu, the e.m.f. of the Deniel cell is E1. When the concentration of ZnSO4 changed to 1.0M and CuSO4 changed to 0.01M, the e.m.f of the cell changes to E2. Establish the relation between E1 and E2.
Ans: In the electrochemical cell,

Or
18. The molar conductance of 0.1m aqueous solution of NH4 OH is 9.54 o h m-1 cm² mol-1 and at infinite dilution molar conductance is 238 o hm-1 cm² mol-1. Calculate the degree of ionization of ammonium hydroxide at the same concentration and temperature.

19. (a) Define molality of a solution.
Ans: Molality of a solution is the number of moles of the solute dissolved per 1000 g (or Kg) of the solvent. It is denoted by ‘m’.
(b) State Henry’s law. At the same temperature, CO2 gas is more soluble in water than O2 gas. Which one of them will have higher value of KH?
Ans: Henry’s lan stalis that, at a constant tempr, The solubility of a gas in a lequid is directly proportional to the prenure of the gas.
O₂ has higher K value.
20. Decomposition of H₂ O₂ follows a first order reaction. In 50 minutes the concentration of H₂O₂ decreases from 0.5 to 0.125M in one such decomposition. When the concentration of H₂O₂ reaches 0.05M, what is the rate of formation of O₂?

or
20. Show that the integrated rate for a first order reaction R – P is
K = 2.303/t log [R]₀/[R]

21. What happens, when – (any three)
(a) P4O10 is treated with dil. HNO3
Ans: 4HNO3 + P4O10 – 2N₂O5 + 4HPO3
(b) Cl2 is treated with hot and conc. NaOH
Ans: 3Cl₂ + 6NaOH – 5NaCl + NaCIO3 + 3H₂O
(c) Reaction of ammonia with excess Cl₂ gas
Ans: NH3 + 3Cl₂ – NCl3 + 3HCL (Nitrogen trichloride)
(d) Orthophosporic acid is heated.
Ans: Metaphosphoric Acid (HPO3)
22.(a) Write the chemical reactions for following transformations: (any two)
(i) Benzene to Phenol.

(ii) Toluene to Benzyl alcohol.

(iii) Benzene to Diphenyl.

(b) Why aryl halide undergoes electrophilic substitution reaction rather than nucleophilic substitution reaction?
Ans: Due to its various resonating structures, there’s an excess of an electron or negative charge over ortho and para-positions of the ring than the meta position. Thus, aryl halide undergoes electrophilic substitution reaction rather than nucleophilic substitution reaction.
23.(a) Identify A and B.
Ans:

(b) Write only the chemical reactions of the following (any one)
(i) Carbylamine reaction.
Ans:

(ii) Hoffmann bromamide reaction.
Ans:

24.(a) Give an example of biodegradable polymer.
Ans: One example of biodegradable polymer is polhydroxybutyrate (PHB)
(b) Match the following correctly
| Polymer | Monomer |
| (a) Natural Ruber | (i) 1,3 Butadiene + Styrene |
| (b) Monomer | (ii) 1, 3 Butadiene + acrylonitrile |
| (c) Buna-N | (iii) Chloroprene |
| (d) Buna-S | (iv) Isoprene |
Ans:
| Polymer | Monomer |
| (a) Natural Ruber | (iv) Isoprene |
| (b) Monomer | (iii) Chloroprene |
| (c) Buna-N | (ii) 1, 3 Butadiene + acrylonitrile |
| (d) Buna-S | (i) 1,3 Butadiene + Styrene |
25. (a) Write the chemical reactions for following transformation: (any two)
(i) Benzyl chloride to benzyl alcohol.
Ans: C₆H₅ – CH₂Cl₂ + KOH(ₐq) – C₆H₅ – CH₂OH + KCl
(ii) Methyl magnesium bromide to 2 – methyl – propan – 2 – ol

(iii) Acetophenone from phenol.
Ans:

(b) Arrange the following in increasing order of acidity.

26. (a) What type of bonding helps in stabilizing the secondary structure of proteins?
Ans: H-bond helps in stabilizing the secondary structure of proteins.
(b) Answer the following question: (any two)
(i) How are vitamins classified? Name the vitamin deficiency of which causes scurvy.
Ans: Vitamins are generally classified into two broad types based on their solubility –
(i) Water soluble vitamins.
(ii) Fat soluble vitamins.
Vitamin A is essential to us for the following reasons –
(i) It help in proper growth and normal skeletal development of the body.
(ii) It is also essential for healthy teeth structure.
Vitamin C is essential to us for the following reasons-
(i) It helps in healing of cuts and wounds.
(ii) It gives resistance to our body against diseases and infections. Vitamin K is responsible for the coagulation of blood.
(ii) What is glycogen? How is it different from starch?
Ans: Glycogen is a substance deposited in bodily tissues as a store of carbohydrates.
Starch is the main storage carbohydrate source in plants whereas glycogen is the main storage carbohydrate energy source of fungi and animals.
(iii) Name the protein which is present in hair. What type of protein is this?
Ans: Keratin. Keratin is a helical protein.
27. (a) Draw the structure of any one of the following:
(i) Chlorous acid.
Ans:

(ii) S₈

(b) Answer the following questions: (any two)
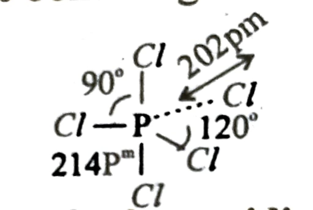
(i) Are the bond lengths of all five P-Cl bonds in PCI₅ molecule equal? Justify your answer.
Ans: PCI₅ has a trigonal bipyramidal structure due to dsp³ hybridization. Due to these two Cl atoms lie along the axial line and the other three Cl- atoms lie along the equitorial plane. Hence, the bond lengths are different.

(ii) Explain why HNO2 behaves both as oxidizing as well as reducing agent.
Ans: HNO₂ can act as both oxidizing and reducing agent. In HNO₂ oxidation number of nitrogen is +3 so, it can either lose or gain electrons and hence acts as both reducing as well as oxidizing agent.
(iii) When HCI reacts with finely powdered iron, it forms ferrous chloride, and not ferric chloride. Explain, Why?
Ans: When iron reacts with HCl, hydrogen gas is liberated. This prevents the Oxidation of ferrous chloride to ferric chloride.
2HCl + Fe – FeCl₂ + H₂
28. Complete the following reactions:


Hi! my Name is Parimal Roy. I have completed my Bachelor’s degree in Philosophy (B.A.) from Silapathar General College. Currently, I am working as an HR Manager at Dev Library. It is a website that provides study materials for students from Class 3 to 12, including SCERT and NCERT notes. It also offers resources for BA, B.Com, B.Sc, and Computer Science, along with postgraduate notes. Besides study materials, the website has novels, eBooks, health and finance articles, biographies, quotes, and more.








