Class 12 AHSEC 2020 Chemistry Question Paper Solved English Medium, AHSEC Class 12 Chemistry Question Paper Solved PDF Download, to each Paper is Assam Board Exam in the list of AHSEC so that you can easily browse through different subjects and select needs one. AHSEC Class 12 Chemistry Previous Years Question Paper Solved in English can be of great value to excel in the examination.

Class 12 AHSEC 2020 Chemistry Question Paper Solved English Medium
AHSEC Old Question Paper provided is as per the 2020 AHSEC Board Exam and covers all the questions from the AHSEC Class 12 Chemistry Solved Question Paper 2020 English Medium. Access the detailed Class 12 Chemistry 2020 Previous Years Question Paper Solved provided here and get a good grip on the subject. AHSEC 2020 Chemistry Question Paper Solved Access the AHSEC 2020 Chemistry Old Question Paper Solved, AHSEC Class 12 Chemistry Solved Question Paper 2020 of English in Page Format. Make use of them during your practice and score well in the exams.
CHEMISTRY
2020
CHEMISTRY OLD QUESTION PAPER SOLVED
1. Choose the correct answer:
When temperature of a solution increases then-
(a) Molarity decreases and molality increases.
(b) Molality decreases and molarity increases.
(c) No change occur for both molarity and molality.
(d) Molarity decreases and no change in molality.
Ans: (d) Molarity decreases and no change in molality.
2. Depict the galvanic cell in which the reaction takes place. Further show which of the electrode is negatively charged.
Zn(s) + 2 Ag⁺ (aq) → Zn²⁺ (aq) + 2 Ag(s)
Ans: The galvanic cell may be represented as-

3. What is observed when a beam of light is passed through a colloidal slolution?
Ans: When sodium cheoride is added to ferric hydroxide sol, the sol gets coagulated. This is because the ct ions from NaCl neutralic the +ve charge on Fe(OH)₃ sol.
4. Which form of the iron is the purest form of commercial iron?
Ans: Wrought iron is purest from of commercial iron.
5. Arrange the following in the order of increasing bond dissociation enthalpy: I2+ Cl2+ Br2+ I2
Ans: I2 < F2 < Br2Cl2

7. Write the Reimer-Tiemann reaction
Ans: On treating phenol with chloroform in the presence of sodium hydroxide, a-CHO group is in ortho position of benzene ring. This reaction is called reimer-Tiemann reaction.
The intermediate substituted benzal chloride is hydrolysed in the presence of alkali to produce salicylaldehyde.

8. Arrange the following compounds in increasing order of their acid stength. CH₃ CH₂ CH(Br)COOH, CH₃ CH(Br)CH₂ COOH,
(CH₃)₂ CHCOOH, CH₃ CH₂ CH₂ COOH.
Ans: (CH₃)₂ CHCOOH < CH₃ CH₂ CH₂ COOH–
< CH₃ CH(Br) CH₂ COOH < CH₃ CH₂ CH(Br)COOH
9. (a) Give the significance of a ‘lattice point’. Which point defect increases the density of a crystal?
Ans: The significance of a “Lattice point” it that each lattice point represents one constituent particle of a solid which may be an atom, a molecule or an ion. Interstitial point defect increases the density of a crystal.
Or
(b) Define semiconductor. Classify each of the following as being either a p-type or an n-type semiconductor:
(a) Ge doped with In.
(b) B doped with St.
Ans: n-type semiconductors: Silicon & other element from Gr. 14 of the periodic table when doped with a group 15 element like P or As, which contain 5 valence electrons, they occupy some of the lattice sites in si or Germanium crystal. Four out of five electrons are used in the formation of four coualent bonds with the four neighbouring si atoms. The fifth electron is responsible for conductance of n – type semiconductor.
P-type semiconductor: Si or Germanium can also be doped with a group 13 elements like B, Al or Ga which contains only three valence electrono. The place where 4th valence electron is missing is called electron hole. This holes are positively charged. This hole in p-type semiconductor is responsible for conductance.
10. What type of solids are electrical conductors, malleable and ductile? “Ionic solids conduct electricity in molten state but not in solid state” Explain.
Ans: Metallic solids.
In ionic compounds, electricity is conducted by ions. In solid state, ions are held together by strong electrostatie forces and are not free to move about within the solid. Hence, in molten state, the ions are free to move and can conduct electricity.
11. Define the following terms: (any four)
(i) Krafft temperature.
Ans: The Kraft temperature is the minimum temperature at which the surfactants form micelles.
(ii) Mole fraction.
Ans: Mole fraction may be defined as the ratio of number of makes of one component to the total number of moles of all the components present in the solution.
(iii) Isotonic solutions.
Ans: The solutions which are having same osmotic pressure at a constant temperature are called isotonic solutions.
(iv) van’t Hoff factor.
Ans: The ratio of experimentally determined colligative property to the theoretical value of the same property is called the Vant Hoff factor.
(v) Ideal solution.
Ans: An ideal solution may be defined as the solution which obeys Raoult’s law over the entire range of concentration and temperature, and during the formation of which no change in enthalpy and no change in volume takes place.
12. (a) A solution is obtained by mixing 300g of 25% solution and 400g of 40% solution by mass. Calculate the mass percentage (w/w) of water in solution.
Ans: A/Q, 300g of 25% solution contains solute = (300 × 25)/ 100 = 75g
400g of 40% solution contains solute = (400 × 40)/ 100 = 160g
Total solute = 75 + 160 = 235g
As given in the question, total solution = 300 + 400 = 700g.
% of solute in the final solution = (235 × 100)/ 700 = 33.5%
∴ % of waterin the final solution = 100 – 33.5 = 65.5%.
Or
(b) A 1.00 molal aqueous solution of trichloroacetic acid (CCI₃COOH) is heated to its boiling point. The solution has the boiling point of 100.18°C. Determine the van’t Hoff factor for trichloroacetic acid (K, for water = 0.512K kg mol⁻¹).
Ans: CCI₃COOH – CCI₃COOH + H⁺,
Δ Tb = (100.18 + 273) – (100 – 217) = 0.18K
Molality = 1 Hence, ∆ Tb = ikbm = ikb x 1, i = ∆Tn/kb = 0.18/0.512 = 0.351
13. Define molar conductivity of a solution. Explain how molar conductivity changes with change in concentration of solution for a weak and a strong electrolyte.
Ans: Molar conductivity is defined as the conductance of a solution of molarity 1 when the solution is enclosed between two electrodes preparated by unit distance. It is defined bym. Where, λ m = K × 1000/M, where M= molarity of the solution S.I unit of molar conductivity is S.m²/mol.
(i) Strong electrolytes: The molar conductivity of a solution of strong electrolyte increases with dilution. This is because, in the concentrated solution of the strong electrolyte, the interionic force of attraction is very strong. Thus the ions can not move freely, but with dilution the interionic distances increases and the interionic attractive forces decreases. The migration velocity of the ions decrease. As a result molar conductivity increases with dilution.
(ii) Weak electrolytes: The molar conductivity of weak electrolyte is less than that of the strong electrolyte at any concentration, because of their lower degree of dissociation. But with dilution the degree of dissociation of weak electrolytes increases. As a result the molar conductivity of the weak electrolyte increases with dilution.
14. (a) Following reactions occur at cathode during the electrolysis of aqueous silver chloride
Ag⁺ (aq) + e – Ag(s) E⁺ = + 0.80V
H⁺ (aq) + e – 1/2 H₂ (g) E⁺ = 0.00V
On the basis of their standard reduction electrode potential (E⁺) values, which reaction is feasible at the cathode and why?
Ans: Ag⁺ (aq) + e – Ag(s) E⁺ = + 0.80V
H⁺ (aq) + e – 1/2 H₂ (g) E⁺ = 0.00V
On the basis of their standard reduction potential (Eº) values, cathode reaction is given by the one with higher Eº values.
Thus, Ag⁺ + (aq) + e⁻ – Ag(s) reaction will be more feasible at cathode.
(b) State Kohlrausch law of independent migration of ions. Write an expression for the molar conductivity of acetic acid at infinite dilution according to Kohlrausch law.
Ans: According to Kohlorauch law of independent migration of ions the limiting molar conductivity of an electrolyte can be represented as the sum of the individual contributions of the cation and anion of the electrolyte.

15. (a) A reaction is first order in A and second order in B.
Ans: It is given that a reaction is first order in A and second order in B.
(i) Write the differential rate equation.
Ans: The differential rate equation is as follows: Rate = k [A][B]².
(ii) How is the rate affected on increasing the concentration of B three times?
Ans: On increasing the concentration of B three times, rate becomes 900 times. (1[B])² = 3² = 9.
Or
(b) For a certain chemical reaction variation in the concentration in [R] vs time (s) plot is given below.
For this reaction-
(i) What is the order of the reaction?
Ans: Zero order reaction.
(ii) What is the unit of rate constant k?
Ans: mol L⁻¹ mol s⁻¹.
(iii) Write the relationship between k and ᵗ1/2.
Ans: Do yourself.
(iv) What does the slope of the above line indicate?
Ans: Slope represents -K, intercept represents [R]₀.
16. (a) What are “minerals” and “ores”? Differentiate between them.
Ans: The naturall occuring chemical subntances in form of which the metals occur in the earth along with impurities are called minerals. The mineral from which the metal can be entracted conveniently and economically is called an ore. Thus all ores are minerals but all minerals are not ores. For example, iron is found in the earth’s crust as oxides, carbonates and sulphides. Out of these minerals of iron, the oxides of iron are employed for extraction of the metal. Therefore, oxider of iron are the ores of iron.
Or
(b) What is roasting and calcinations? Explain with a chemical equation of each.
Ans: Roasting is the process in which the ore is heated below its melting point in presence of air to oxidise the impurities.
2 ZnS + 3O₂ – 2ZnO + 2SO₂
Calcium is the process of heating the ore below its melting point an absence of air to remove volatile impurities like arsenic etc.
ZnCO₃ – ZnO + CO₂
17. Explain the bleaching action of chlorine.
Ans: Bleaching action of chlorine is by oxidation, chlorine reacts with moisture to form nascent oxygen which oxidise the vegetable colouring matter to a colourless product.
Cl₂ + H₂O – 2HCl + [O]
18. Why is Cr²+ reducing and Mn³⁺ oxidizing when both have d configuration?
Ans: Cr²⁺ has the configuration 3d⁴. It can lone electron to form Cr³⁺ which has the stable 3d³ (it has half filled t₂g lever) configuration. Hence, it is reducing on the other hand, Mn³⁺ also has 3d⁴ configuration but it can gain electron to form Mn²⁺ which has stable 3d⁵ (exactly half filled) configuration. Hence, it is oxidining.
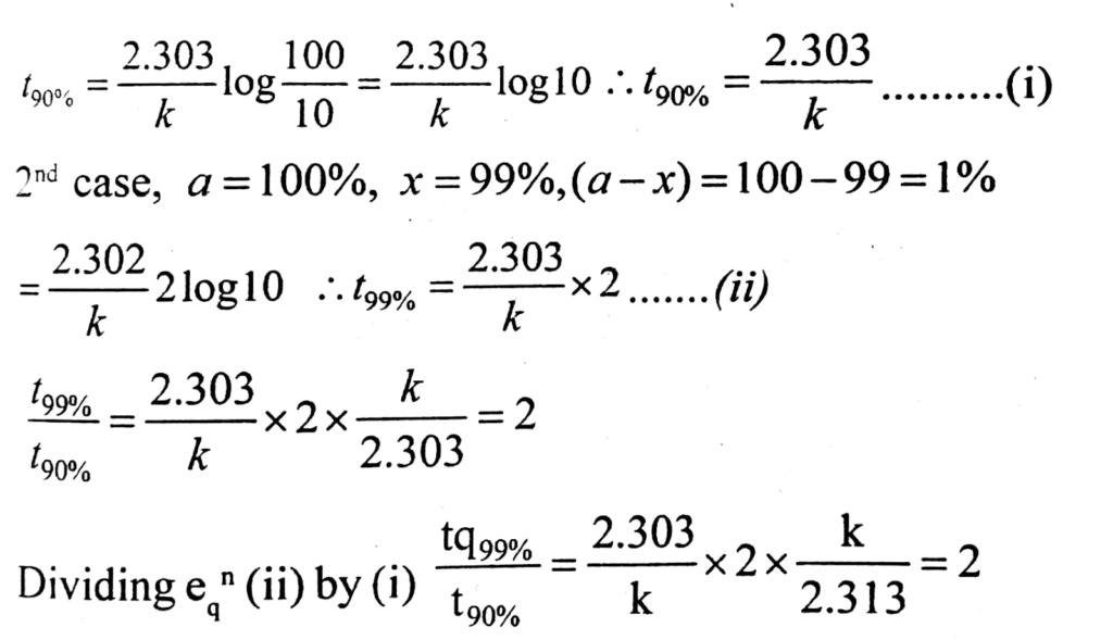
19. For a first order reaction, show that time required for 99% completion is twice the time required for the completion of 90% of reaction.
Ans: For the first order reaction, time required for 99% completion.
t1/2 = 2.303/t log a/a-x
1st case, a = 100%, x = 99%, (a – x) = 100 – 99 = 10%

Hence time required for 99% complition is twice for the time required for the completion of 90% reaction.
20. (a) What are emulsions? What are their different types? Give example of each type.
Ans: An emulsion is a mixture of two or more liquids that are normally immiscible.
There are two basic type of emulsions,
(i) Oil in water, eg:- Milk.
(ii) Water in oil, eg:- Butter.
Or
(b) What is shape selective catalysis? Describe some features of catalysis by zeolites.
Ans: A catalytic reaction which depends upon the pore structure of the catalyst and on the size of the reactant and the product molecules is called shape-selective catalysis.
Some features of catalysis by zeolites are:
(i) Zeolites are alumino – silicates that are micro process in nature.
(ii) Zeolites have a honeycomb like structures, which makes them shape – selective catalysis.
21. (a) Answer the following:
(i) What is lanthanide contraction? Why actinide contraction is greater from element to element that lanthanide contraction?
Ans: The decrease in atomic and ionic size with increase in atomic number in lanthanoids is called Lanthanoid contraction.
Actinides in general exhibit a greater range of oxidation states than that of lanthanides. It is because of the fact that the 5f, 6d & 7s levels are of comparable energies in case of actinides.
(ii) Zn²⁺ salts are colourless while Cu²⁺ salts are coloured Why?
Ans: Cu²⁺ ion (3d⁹) has one half filled d-orbitals. Therefore, it has an urge to take part in d-d transition. The compounds containing Cu²⁺ ion (e.g., CuSo₄ 5H₂O) are coloured. Zn²⁺ ion (3d¹⁰) has completely filled d-orbitals and there is no scope for any electron transition. Therefore Zn²⁺ salts are white while Cu²⁺ salts are blue.
Or
(b) Answer the following:
(i) Use Hund’s rule to derive the electronic configuration of Ce³⁺ ion and calculate its magnetic moment.
Ans: Using Hund’s rule, configuration of Ce ion is,
Ce: 1s² 2s² 2p⁶ 3d¹º 4s² 4p⁶ 4d¹⁰ 5s² 5p⁶ 4f¹ 5d¹ 6s²
Now, when the cesium atom looses three electrones to form Ce³⁺ ion, it will loose electrons from the 5th d-shell and 6th s-shell, hence
Ce³ = : 1s² 2s² 2p⁶ 3d¹⁰ 4s² 4p⁶ 4d¹⁰ 5s² 5p⁶ 4f¹

(ii) Cu (I) has d¹⁰ configuration, while Cu (11) had d⁹ configuration. Still Cu (II) is more stable in aqueous solution than Cu (I). Why?
Ans: Due to more negative enthaply of hydration of Cu²⁺ (aq) that Cu⁺ (aq) which compensates for second ionisation enthalpy of copper.
22. Answer either (a) and (b) or (c) and (d)
(a) A solution of [Ni(H₂O)₆]²⁺ is green but a solution of [Ni(CN₄)²⁻ is colourless Explain.
Ans: In [Ni(H₂O)₆]²⁺, Ni is in +2 oxidation state with electronic configuration 3d⁸. In the presence of weak H₂O ligands, the two unpaired electrons do not pair up and hence the complex has two unpaired electrons. Therefore the complex is coloured.
In case of [Ni(CN)₄]²⁻, Ni is also in +2 oxidation state with 3d⁸ configuration. In the presence of strong CN ligand, the two unpaired electrons in 3d orbitals pair up.
Therefore there are no unpaired electrons and hence the complex is colourless.
(b) Define the term ‘cordination sphere’ with one example.
Ans: The coordination sphere refers to the central metal ion and the ligands attached to it. For example: [CO(NH₃)₆]CI.
(c) What are the ambidentate ligands? Give one suitable example of ambidentate ligand.
Ans: Ligands which can ligate through two different atoms is called ambidentate ligand. eg – NO₂
(d) How many geomatrical isomers are possible in the following coordination entity?
[Cr (C₂O₄)₃]³⁻
Ans: No gemetrical isomerism is formed.
23. (a) Give reasons:
(i) C – Cl bond length in chlorobenzene is shorter than C – Cl bond length in chloromethane.
Ans: The carbon in C – Cl bond in chlorobenzene is Sp2 hybridised. In SP2 hybrid orbitats have more of S – character and hence the carbon if chlorobenzene withdraws the electron pair between C – Cl with greater force. As a result, C – Cl bond is shorter than CH3 – Cl.
(ii) Haloalkanes easily dissolve in organic solvents.
Ans: Haloalkanes easily dissolve in organic solvent because the new intermolecular attraction between haloalkanes and soluent molecule have the same strength as the ones being broken in the seperate haloalkane and soluent molecules.
(iii) The presence of nitro group (-NO2) at o/p positions increses the reactivity of halorenes towards nucleophilk substitution reactions.
Ans: Because, into groups (-NO2) at o/p positions withdraw the electron density from the benzene ring faciliating the attack of the nucleophile. The negative charge in the carbanion formed, at ortho and para positions with respect to a halogen atom, is stabilised through resonance and the presence of nitro groups (-NO2), respectively.
Or
(b) Answer the following:
(i) Write the mechanism of the following reaction:

Inversion of configuration takes place during the reaction.
(ii) Give the structures of A, B and C in the following reactions:

Ans: A – CH3CN, B – CH3 – CH2 – NH2, C- CH3CH2OH.
24. (a) Write the main product (s) in each of the following reactions:

Or
(b) How do you convert the following?
(i) Phenol to anisole.

(iii) Aniline to phenol.
Ans:

25. (a) An aromatic compound ‘A’ on treatment with aqueous ammonia and heating forms compound ‘B’ which on heating with Br2 and KOH forms a compound ‘C’ of molecular formula CHN. Write the structures and IUPAC names of compounds A, B and C.
Ans: From the given data, it appears that the compounds should be,
A = C₆H₅ COOH, Benzoic acid
B = C₆H₅ CONH₂, Benzamide
C = C₆H₅ NH₂, Aniline
The reactions can be explained below:

Or
(b) How do you convert the following:
(i) Benzene to phenol.
Ans:

(ii) Nitromethane to dimethylantine.

(iii) Aniline to phenylisocyarude.
Ans:

26. (a) Arrange the following in decreasing order of the pk value:
C2H3NH2+ C6H5NHCH3+ (C2H3)2 NH and C6H5NH2
Ans: (C2H5)NH > C2H5NH2 > C6H5NHCH3 > C6H5NH2
(b) How are vitamins classified? Name the vitamin responsible for the coagulation of blood.
Ans: Vitamins are generally classified into two broad types based on their solubility –
(i) Water soluble vitamins.
(ii) Fat soluble vitamins.
Vitamin A is essential to us for the following reasons –
(i) It help in proper growth and normal skeletal development of the body.
(ii) It is also essential for healthy teeth structure.
Vitamin C is essential to us for the following reasons-
(i) It helps in healing of cuts and wounds.
(ii) It gives resistance to our body against diseases and infections. Vitamin K is responsible for the coagulation of blood.
Or
26. Write the important structural and functional differences between DNA and RNA.
Ans: Structural difference between RNA & DNA: DNA consists of Adenine, Guanine, Cytosine, Thymine, RNA consists of Adenine, Guanine, Cytosine, Uracil.
DNA contains deoxyribose
RNA contains ribose
DNA is double stranded, but RNA is single stranded. Functional difference between RNA & DNA
DNA’s main function is to control cell activities like telling each organelle what to make and what to do RNA’s main function is to make proteins.
27. (a) What is the difference between a nucleoside and a nucleotide?
Ans: Nucleoside = Nitrogeneous base + Pentose sugar
Nucleotide + Nitrogeneous base + pentose sugar + phosphoric acid = Nucleoside + phosphoric acid
(b) What type of bonding helps in stabilising the helix structure of proteins?
Ans: H – bonding.
(c) Classify the following as addition polymer or condensation polymer.
(i) Teflon.
(ii) Bakelite.
Ans: Teflon – Addition polymer.
Bakelite – Condensation polymer.
28. Answer weither (a) and (b) or (c) and (d)
(a) Give reasons:
(i) Though nitrogen exhibits +5 oxidation states but it does not form pentahalide.
Ans: Nitrogen with n = 2 has S and P orbitals only. If does not have d orbitals to expand its valence shell. That is why it does not form pentahalide.
(ii) Halogens are coloured.
Ans: Halogens are coloured because of three low ionization energy, there by the electron gets excited by absorbing visible region of light.
(iii) NH₃ form hydrogen bond but PH, does not.
Ans: Nitrogen is highly electronegative as compared to phosphorus. This causes a greater attraction of electrons towards nitrogen in NH₃ than towards phosphorus in PH₃ is very less as compared to NH₃.
(b) Complete the following reactions:
(i) C₂H₄ + O₂ – ?
Ans: C₂H₄O₂
(ii) 4NaCl + MnO₂ + 4H₂SO₄ -?
Ans: MnCl₂ + 4NaHSO₄ + Cl₂ + 2H₂O.
(c) When HCI reacts with finely powered iron, it forms ferrous chloride and not ferric chloride. Why?
Ans: Because, it produces hydrogen and release of hydrogen gas prevents the formation of ferric chloride.
(i) What is the oxidation state of phosphorus in H₃PO₃?
Ans: 3.
(ii) How can you prepare Cl₂ from HCl and HCl from Cl₂? Write reactions only.
Ans: 4HCl + O₂ – 2Cl₂ + 2H₂O, H₂ + Cl₂ – 2HCl.
29. (a) How will you convert the following? Give equations only.
(i) Benzene to acetophenone.
Ans:

(ii) Benzonic acid to Benzaldehyde.

Or
29. Although phenoxide ion has more number of resonating, structures than carboxylate ion, carboxylic acid is a stronger acid than phenol. Why?
Ans: In case of phenoxide ion, negative charge is present on one electronegative oxygen atom and the lesser electronegative carbon atoms. The contribution of resonance structures towards resonance stabilization of phenoxide ion is less.
In case of carboxylate ion, the negative charge is present on two electronegative oxygen atoms. The contribution of resonance structures towards resonance stabilization of carboxylate ion is more. Hence, the carboxylate ion is more resonance stibilized than the phenoxide ion. Due to this carboxylic acid is a stronger acid than phenol.
(b) An organic compound contains 69.77% carbon, 11.63% hydrogen and rest oxygen. The molecular mass of the compound is 86. It does not reduce Tollen’s reagent but forms an addition compound with sodium hydrogensulphite and give positive iodoform test. On vigorous oxidation it gives ethanoic and propanoic acid. Identify the compound and write equations for chemical reactions involved.
Ans: Step – 1: To find out the molecular formula of the CO% C = 69.77%, %H = 11.63%, %0 =18.6%
∴ C: H: O = 69.77/12 : 11.63/1 : 18.6/16 = 5: 10: 1:
∴ Empirical formula of the compound C₅H₁₀O
E.F mass= 5 x 12 + 10 x 1 + 1 x 16 = 86
Since, mol. mass = 86 (given)
∴ M.F = (C₅H₁₀O) 86/86 C₅H₁₀O
Step 2: (i) Since the given compound does not reduce Tollen’s reagent but reacts with Brady’s reagent so it should be a ketone.
(ii) Since the compound show haloform reaction it should be a methyl ketone.
(iii) On vigorous oxidation the molecule give a mixture of methanoic and propanoic acid so the methyl ketone is pentan-2-one.


30. (a) Explain the term copolymerisation and give one example.
Ans: Copolymerisation is a process in which a mixture of more than one monomeric species is allowed to polymerise. Example: 1,3 – butadiene and styrene.
(b) Why should not medicines be taken without consulting doctors?
Ans: Medicines should not be taken without consulting doctors because higher doses of most of the drugs used as medicines are potential poisons.
(c) Which forces are involved in holding the drugs to the active site of enzymes?
Ans: Electrostatic force or H-bonding.
Or
30. What is meant by the term ‘broad spectrum antibiotics’? Explain with an example.
Ans: Medicines should not be taken without consulting doctors because higher doses of most of the drugs used as medicines are potential poisons.

Hi! my Name is Parimal Roy. I have completed my Bachelor’s degree in Philosophy (B.A.) from Silapathar General College. Currently, I am working as an HR Manager at Dev Library. It is a website that provides study materials for students from Class 3 to 12, including SCERT and NCERT notes. It also offers resources for BA, B.Com, B.Sc, and Computer Science, along with postgraduate notes. Besides study materials, the website has novels, eBooks, health and finance articles, biographies, quotes, and more.







