HSLC 2023 Science Question Paper Solved Assamese Medium | দশম শ্ৰেণীৰ বিজ্ঞান পুৰণি প্ৰশ্নকাকত সমাধান, SEBA Class 10 Science Question Paper Solved PDF Download, দশম শ্ৰেণীৰ বিজ্ঞান 2023 ৰ প্ৰশ্নকাকত সমাধান কৰা হৈছে to each Paper is Assam Board Exam in the list of SEBA so that you can easily browse through different subjects and select needs one. Assam Board HSLC 2023 Science Previous Years Question Paper Solved can be of great value to excel in the examination.

HSLC 2023 Science Question Paper Solved | দশম শ্ৰেণীৰ বিজ্ঞান পুৰণি প্ৰশ্নকাকত সমাধান
HSLC Old Question Paper provided is as per the 2023 Assam Board Exam and covers all the questions from the SEBA HSLC 2023 Question Paper. Access the detailed SEBA Class 10 Science 2023 Previous Years Question Paper Solved provided here and get a good grip on the subject. Access the HSLC 2023 Science Old Question Paper Solved, Class X Science 2023 Old Paper Question Answer of Assamese in Page Format. Make use of them during your practice and score well in the exams.
বিজ্ঞান পুৰণি প্ৰশ্নকাকত সমাধান
2023
SCIENCE OLD PAPER
ALL QUESTION ANSWER
| SECTION – A |
1. শুদ্ধ উত্তৰটো বাচি উলিওৱাঃ
(ii) তলৰ কোনটো ধাতু কল্পৰ উদাহৰণ নহয়?
(a) Si
(b) Ge
(c) Al
উত্তৰঃ (c) Al
(ii) তলৰ কোনটো যৌগক চ’ডা এচিড অগ্নি নিৰ্বাপন যন্ত্ৰত ব্যৱহাৰ কৰা হয়–
(a) Nacl
(b) Na2 CO3
(c) Na HCO3
(d) NH4Cl
উত্তৰঃ (c) Na HCO3
(iii) বনস্পতিজাত দ্ৰব্যৰ পচন সাৰলৈ পৰিৱৰ্তন হোৱাটো তলৰ কোনটো শ্ৰেণীৰ বিক্ৰিয়াৰ উদাহৰণ?
(a) তাপগ্ৰাহী বিক্ৰিয়া।
(b) তাপবৰ্জী বিক্ৰিয়া।
(c) দুয়োটা।
(d) ওপৰৰ এটাও নহয়।
উত্তৰঃ (b) তাপবৰ্জী বিক্ৰিয়া।
(iv) চ’লেনইডৰ কুণ্ডলীত বৈদ্যুতিক প্রবাহ প্রবাহীত হলে, চৌম্বক ক্ষেত্র–
(a) প্ৰবাহীত প্ৰবাহৰ দিশত বাঢ়িব।
(b) প্ৰবাহীত প্ৰবাহৰ দিশত কমিব।
(c) সকলো সময়ত একেই থাকিব।
(d) শূন্য হব।
উত্তৰঃ (c) সকলো সময়ত একেই থাকিব।
(v) তলৰ কোনটোয়ে বৰ্তনীৰ বিভৱ ভেদ নিৰ্ণয় কৰাত ব্যৱহৃত হয়–
(a) এমিটাৰ।
(b) ভল্টমিটাৰ।
(c) গেলভেন’মিটাৰ।
(d) মাল্টিমিটাৰ।
উত্তৰঃ (b) ভল্টমিটাৰ।
(vi) তলত উল্লেখিত কোনটো পৰম্পৰাগত শক্তিৰ উৎস?
(a বায়ু শক্তি।
(b) নিউক্লীয় শক্তি।
(c) ভূ-তাপীয় শক্তি।
(d) তৰংগ শক্তি।
উত্তৰঃ (b) নিউক্লীয় শক্তি।
(vii) তলত উল্লেখিত কোনে অ’জন স্তৰ অৱক্ষয় কৰিব পাৰে–
(a) ক্ল’ ৰ ফ্ল’ৰ কাৰ্বন।
(b) নাইট্ৰ’জেন।
(c) হাইড্ৰ’জেন।
(d) অক্সিজেন।
উত্তৰঃ (a) ক্ল’ ৰ ফ্ল’ৰ কাৰ্বন।
(viii) তলত উল্লেখ কৰা কোনখিনিয়ে খাদ্য শৃংখল গঠন কৰে?
(a) ঘাঁহ, ঘেহুঁ আৰু আম l
(b) ঘাঁহ, ছাগলী আৰু মানুহ l
(c) ছাগলী, গৰু আৰু হাতী।
(d) ঘাঁহ, মাছ আৰু ছাগলী।
উত্তৰঃ (b) ঘাঁহ, ছাগলী আৰু মানুহ l
(ix) তলত উল্লেখিত কিহৰ বাবে চকুৰ লেন্সৰ বক্ৰতা পৰিৱৰ্তন হয়?
(a) অক্ষিপট।
(b) চকুৰ পতা।
(c) চিলিয়াৰী পেশী।
(d) নেত্ৰ স্নায়ু।
উত্তৰঃ (c) চিলিয়াৰী পেশী।
(x) লেন্স এখনৰ ফ’কাছ দৈৰ্ঘ 1 মিটাৰ, ক্ষমতা হব–
(a) 0.5D
(b) 1D
(c) 1.5 D
(d) 2D
উত্তৰঃ (b) 1D
2. তলত দিয়া শুদ্ধ-উত্তৰটো বাছি উলিওৱাঃ
(i) অৱতল দাপোনে গঠিত প্ৰতিবিম্ব–
(a) সৎ আৰু সংকুচিত।
(b) সৎ আৰু বিবৰ্ধিত।
(c) অসৎ আৰু বিবৰ্ধিত।
(d) অসৎ আৰু অসংকুচিত।
উত্তৰঃ (a) সৎ আৰু সংকুচিত।
(ii) কাঁচৰ প্ৰতিসৰণাংক 1.5 হলে, কাঁচত পোহৰৰ দ্ৰুতি হ’ব–
(a) 2 × 10⁸ m/s
(b) 3 × 10⁵ m/s
(c) 2.25 × 10⁸ m/s
(d) 3 × 10⁸ m/s
উত্তৰঃ (a) 2 × 10⁸ m/s
(iii) গ্লুকোজৰ ভংগণ ঘটি পাইৰুভেটলৈ পতিবৰ্তিত হয়–
(a) কোষৰ কোষপ্ৰৰসত।
(b) মাইটকন্ড্ৰিয়াত।
(c) কোষাৱৰণত।
(d) গলগি বডিত।
উত্তৰঃ (a) কোষৰ কোষপ্ৰৰসত।
(iv) বেছিভাগ কোষীয় প্ৰক্ৰিয়াৰ কোষীয় মুদ্ৰা হৈছে–
(a) ADP
(b) AMP
(c) ATP
(d) CO₂
উত্তৰঃ (c) ATP
(v) দুটা স্নায়ুকোষৰ মাজৰ শূন্য ঠাইখিনি বোলা হয়–
(a) ভেনড্ৰাইট।
(b) ছাইনেপছ।
(c) এক্সন।
(d) স্নায়ুপ্ৰান্ত।
উত্তৰঃ (b) ছাইনেপছ।
(vi) তলৰ কোনটো এবিধ উদ্ভিদ হৰম’ন?
(a) ইনচুলিন।
(b) থাইৰক্সিন।
(c) হাইড্ৰজেন।
(d) চাইট’কাইনিন।
উত্তৰঃ (d) চাইট’কাইনিন।
(vii) ভিন্ন অংগ বিশিষ্ট বহু জীৱই সিহঁতৰ দেহৰ কোনো অংগৰ পৰাই নতুন এটা প্ৰজন্মৰ জীৱ উৎপত্তি কৰি ল’ব পৰা প্ৰক্ৰিয়াটোক বোলা হয়–
(a) পুণৰ জীৱন।
(b) মুকুলোদগম।
(c) বিভংগন।
(d) দীখণ্ডন বা বিভাজন।
উত্তৰঃ (a) পুণৰ জীৱন।
(viii) দ্বি – বিভাজন প্ৰক্ৰিয়া সংঘটিত হয়–
(a) এমিবাত।
(b) পেৰামেচিয়ামত।
(c) প্লেনেৰিয়া।
(d) এই আটাইবোৰতে।
উত্তৰঃ (d) এই আটাইবোৰতে।
(ix) সমসংস্থ অংগৰ এটা উদাহৰণ হৈছে –
(a) চৰাইৰ ডেউকা আৰু বাদুলিৰ ডেউকা।
(b) পখিলাৰ পাখি আৰু বাদুলিৰ ডেউকা।
(c) পাৰৰ পাখি আৰু মানুহৰ হাত।
(d) ভাটৌ চৰাইৰ পাখি আৰু মৌমাখিৰ পাখি।
উত্তৰঃ (c) পাৰৰ পাখি আৰু মানুহৰ হাত।
(x) তলৰ কোনযোৰ ক্ৰম’জ’মে মানুহৰ সন্তানৰ ক্ষেত্ৰত পুরুষ লিংগ নিৰ্দ্ধাৰণ কৰিব?
(a) XX
(b) XY
(c) XO
(d) YO
উত্তৰঃ (b) XY
3. খালী ঠাই পূৰ কৰাঃ
(i) চাপ সংকুচিত প্রাকৃতিক গেছৰ প্রধান উপাদান হাইড্র’ কার্বন বিধ হ’ল _____________।
উত্তৰঃ মিথেন।
(ii) তলৰ বিক্ৰিয়াটোৰ বিক্রিয়াজাত পদাৰ্থ ‘X’ হল ____________।
3Fe(s) + 4H₂O(g) → X + 4H₂(g)
উত্তৰঃ 3Fe(s) + 4H₂O(g) → 3Fe³ + (aq) + 4H₂(g)
(iii) লোৰ লগত নিকেল আৰু ক্রমিয়াম মিহলালে আমি এটা সংকৰ ধাতু পাওঁ, যাৰ নাম ___________।
উত্তৰঃ নিষ্কলংক তীখা (ষ্টেইনলেচ ষ্টীল)।
(iv) _____________হৈছে এটা প্রক্রিয়া যাব দ্বাৰা কিছুমান জীৱই সিহঁতৰ কার্বন আৰু শক্তিৰ চাহিদা পূৰণ কৰে আৰু সিহঁতৰ সঞ্চিত ৰূপত থকা শক্তি উৎপাদন কৰে।
উত্তৰঃ সালোক সংশ্লেষণ।
(v) ___________ আৰু ___________ হ’ল এপাহ ফুলৰ প্রজনন অংগ য’ত জনন কোষ বিলাক থাকে।
উত্তৰঃ পুংকেশৰ, স্ত্রীকেশৰেই।
(vi) ফিড্বেক পদ্ধতিৰ দ্বাৰা _______ৰ ক্রিয়া নিয়ন্ত্রণ হয়।
উত্তৰঃ হৰমন।
(vii) গাড়ীৰ পিছলৈ চোৱাত ______ দাপোন ব্যৱহৃত হয়।
উত্তৰঃ উত্তল।
(viii) বৈদ্যুতিক জেনেৰেটত ______ শক্তিৰ পৰা ______ শক্তিলৈ রূপান্তৰ হয়।
উত্তৰঃ যান্ত্রিক, বৈদ্যুতিক।
(ix) খাদ্য শৃংখলৰ তৃতীয় স্তৰটো হ’ল _______ ।
উত্তৰঃ দ্বিতীয়ক উপভোক্তা।
(x) কম অক্সিজেনৰ উপস্থিতিত পদার্থ দহন কৰিলে ______ গেছৰ উৎপন্ন হয়।
উত্তৰঃ কার্বন মন’ক্সাইড।
4. অতি চমুকৈ উত্তৰ দিয়াঃ
(i) K, Na, Ca আৰু Mg ৰ ভিতৰত কোনটোৰ সক্রিয়তা আটাইতকৈ কম?
উত্তৰঃ Mg
(ii) জিপছামক 373 K উষ্ণতাত উত্তপ্ত কৰিলে পানীৰ অণু হেৰুওই এবিধ বগা পাউদাৰৰ উৎপন্ন হয়। বগা পাউদাৰ বিধৰ ৰাসায়নিক সংকেত লিখা।
উত্তৰঃ CaSO₄ . ½ H₂O
(iii) থার্মিট বিক্রিয়াটো লিখা।
উত্তৰঃ Fe₂O₃ + 2Al → 2Fe + Al₂O₃ + তাপ
(iv) ছ’ডিয়াম ধাতুৱে ঠাণ্ডা পানীৰ লগত প্রবল বেগে বিক্রিয়া কৰাৰ ফলত এক বিশেষ ধৰনৰ গেছৰ উৎপন্ন হয় যাৰ ফল স্বরূপে নিমিষতে জুই জ্বলি উঠে। সেই বিশেষ ধৰনৰ গেছৰ উৎপন্ন হয় যাৰ ফলস্বৰুপে নিমিষতে জুই জ্বলি উঠে। সেই বিশেষ গেছ বিধ চিনাক্ত কৰা।
উত্তৰঃ হাইড্র’জেন।
(v) মানুহৰ সুস্থ চকুৰ বাবে স্পষ্ট দৃষ্টিৰ নূন্যতম দূৰত্ব কিমান?
উত্তৰঃ 25 চেন্টিমিটাৰ।
(vi) বৈদ্যুতিক আধানৰ S.I. একক লিখা।
উত্তৰঃ কুলম্ব।
(vii) চলমান চুম্বকৰ দ্বাৰা বর্তনীত বৈদ্যুতিক প্রবাহ সৃষ্টি হোৱাটো কোনে প্রথমে আৱিষ্কাৰ কৰিছিল ?
উত্তৰঃ মাইকেল ফেৰাডে।
(viii) জীৱ ভৰত মিথেনৰ আণুমানিক শতাংশ কিমান ?
উত্তৰঃ 45% ৰ পৰা 75%
(ix) কোনো এজন ব্যক্তিয়ে যদি আয়ডিনৰ অভাৱগ্রস্ত খাদ্য গ্রহণ কৰে তেতিয়া কি হ’ব পাৰে?
উত্তৰঃ কোনো এজন ব্যক্তিয়ে যদি আয়ডিনৰ অভাৱগ্রস্ত খাদ্য গ্রহণ কৰে তেতিয়া গলগণ্ড ৰোগ হ’ব পাৰে।
(x) ‘জিন’ এটাৰ সংজ্ঞা তুমি কেনেদৰে দিবা?
উত্তৰঃ যি পদাৰ্থৰ দ্বাৰা আন এটা প্ৰজন্মৰ চাৰিত্ৰিক বৈশিষ্ট্যৰ সৃষ্টি হয় তাকে আমি ‘জিন’ বুলি কব পাৰি।
5. সত্য বা অসত্য নির্ণয় কৰাঃ
(i) আধুনিক পৰ্যাবৃত্ত তালিকাত মৌলবোৰক 18 টা থিয় স্তম্ভত আৰু 7 টা অনুভূমিক শাৰীত সজোৱা হৈছে।
উত্তৰঃ সত্য।
(ii) অধঃক্ষেপন বিক্রিয়াত অদ্রাৱ্য লৱণ উৎপন্ন হয়।
উত্তৰঃ সত্য।
(iii) লঘূ এছিডৰ পৰা অধাতুৱে হাইড্র’জেন প্রতিস্থাপিত কৰিব পাৰে।
উত্তৰঃ অসত্য।
(iv) কলিফৰ্ম নামৰ বেক্টেৰিয়াৰ সমষ্টি বিধ মানুহৰ মগজুত পোৱা যায়।
উত্তৰঃ অসত্য।
(v) কিছুমান উদ্ভিদৰ শিপা, কাণ্ড আৰু পাতৰ পৰা আংগিক বিস্তাৰণৰ যোগেদি নতুন উদ্ভিদৰ সৃষ্টি হয়।
উত্তৰঃ সত্য।
| SECTION – B |
6. ব্লিচিং পাউদাৰ প্রস্তুতকৰণৰ এটা পদ্ধতি লিখা। ব্লিচিং পাউদাৰৰ দুটা ব্যৱহাৰ লিখা।
উত্তৰঃ শুকান শিথিলিত চূণৰ লগত ক্ল’ৰিণৰ ক্ৰিয়াৰ দ্বাৰা ব্লিচিং পাউদাৰ প্ৰস্তুত কৰা হয় ।
Ca(OH)₂ + Cl₂ → CaOH₂ + H₂O
ব্লিচিং পাউদাৰৰ দুটা ব্যৱহাৰঃ
(i) বস্ত্ৰ উদ্যোগত কপাহী কাপোৰ আৰু লিনেন কাপোৰ (linen) বিৰঞ্জিত কৰিবলৈ, কলত মণ্ড (wood pulp) বিৰঞ্জিত কৰিবলৈ আৰু ধুবিঘৰত ধোৱা কাপোৰ বিৰঞ্জিত কৰিবলৈ ব্যৱহাৰ কৰা হয়।
(i) অনেক ৰাসায়নিক উদ্যোগত জাৰক পদার্থ হিচাপে ব্যৱহাৰ কৰা হয়।
7. তলৰ ৰাসায়নিক বিক্রিয়াটোৰ উৎপাদিত দ্রৱ্য লিখা।
(a) CaCO₃(s) + H₂O(l) + CO₂(g) →
উত্তৰঃ CaCO₃(s) + H₂O(l) + CO₂(g) → Ca (HCO₃)₂ (aq)
(b) Na₂CO₃ + 10H₂O →
উত্তৰঃ Na₂CO₃ + 10H₂O → Na₂CO₃ .10H₂O
8. পৰ্যাবৃত্ত তালিকাৰ পৰ্যায় আৰু বর্গবোৰত ধাতৱীয় ধর্ম কেনেদৰে পৰিবর্তন হয় ব্যাখ্যা কৰা।
উত্তৰঃ পৰ্যাবৃত্ত তালিকাৰ ধাতৱীয় ধর্ম এইয়ে যে ইয়াত পৰ্যায়বোৰত ওপৰৰ পৰা তললৈ বাঢ়ে। লগতে, পৰ্যাবৃত্ত তালিকাৰ বর্গবোৰত বাওঁফালৰ পৰা সোঁ-ফাললৈ ধাতুবীয় ধর্ম ক্রমে কমি যায়।
9. (a) ইথানয়িক এচিড আৰু ছ’ডিয়াম কার্বনেটৰ বিক্রিয়াৰ ফলত এটি লৱণ, CO₂ আৰু পানীৰ সৃষ্টি হয়। লৱণ বিধৰ নাম কি?
উত্তৰঃ ছ’ডিয়াম এছিটেট।
(b) ‘X’ কি হয় ?

উত্তৰঃ

10. উত্তল লেন্ছ এখনৰ ভাঁজ ব্যাসার্ধত লক্ষ্যবস্তু ৰাখি ইয়াৰ প্রতিবিম্ব গঠনৰ ৰশ্মিচিত্র অংকন কৰা।
উত্তৰঃ তলত ৰশ্মিচিত্রৰ অংকন কৰা হল–

11. তাপ দিলে 2g ফেৰাছ ছালফেট স্ফটিকৰ বিযোজন ঘটি 1g গোটা অক্সাইড আৰু দুই ধৰণৰ গেছৰ উৎপন্ন হয়। প্রয়োজনীয় ৰাসায়নিক বিক্রিয়া লিখি গোটা অক্সাইড বিধক আৰু দুই ধৰণৰ গেছক চিনাক্ত কৰা।
উত্তৰঃ

গোটা অক্সাইড বিধ হ’ল– ফেৰিক অক্সাইড। আৰু দুই ধৰণৰ গেছ হৈছে –
(i) ছালফাৰ ডাই অক্সাইড। আৰু
(ii) ছালফাৰ ট্রাইঅক্সাইড।
12. ক্ষয়ীভৱন আৰু ৰেনচিডিটি বুলিলে কি বুজা? উদাহৰণৰ সহায়ত ব্যাখ্যা কৰা।
উত্তৰঃ ক্ষয়ীভৱনঃ যি প্ৰক্ৰিয়াৰ জৰিয়তে কোনো ধাতু বা ইয়াৰ উপৰিভাগ বিভিন্ন পদাৰ্থ যেনে- এচিড, জলীয় বাষ্প আৰু বিভিন্ন কাৰকৰ দ্বাৰা আক্ৰান্ত হৈ ধাতু বা ইয়াৰ উপৰি ভাগত ক্ষয় সাধন কৰে তাকে ক্ষয়ীভৱন বোলে। উদাহৰণ– ছিলভাৰৰ ওপৰত পৰা ক’লা চামনি।
ৰেনচিডিটিঃ কোনো খাদ্য সামগ্ৰী বিশেষকৈ তেল বা চৰ্বি জাতীয় খাদ্যত অতিৰিক্ত অক্সিজেন লগ লাগি খাদ্য বস্তুৰ জাৰণ ঘটি যি গোন্ধৰ সৃষ্টি হয় তাক ৰেনচিডিটি বোলে। উদাহৰণ- পুৰণি তেলজাতীয় বস্তুবোৰৰ গোন্ধ।
13. চৌম্বক বলৰেখাৰ চাৰিটা ধর্ম লিখা।
উত্তৰঃ চৌম্বক বলৰেখাৰ চাৰিটা ধর্ম তলত উল্লেখ কৰা হ’ল–
(i) প্ৰত্যেক ক্ষেত্ৰৰেখাই উত্তৰ মেৰুত উৎপন্ন হৈ দক্ষিণ মেৰুত শেষ হয়।
(ii) চুম্বকীয় ক্ষেত্ৰৰেখাবোৰ অৱিচ্ছিন্ন ৰেখা।
(iii) ক্ষেত্ৰৰেখা দুডালে কেতিয়াও কটাকটি নকৰে। আৰু
(iv) চৌম্বক বলৰেখাবোৰ চুম্বকৰ অন্তৰ্ভাগত বন্ধ বক্রৰ দৰে হয়।
14. জীৱাশ্মজাত ইন্ধনৰ দুটা অসুবিধা লিখা।
উত্তৰঃ জীৱাশ্মৰ পৰা সৃষ্টি হোৱা ইন্ধনক জীৱাশ্মজাত ইন্ধন বুলি কোৱা হয়৷ ইয়াৰ দুটা অসুবিধা তলত উল্লেখ কৰা হ’ল –
(i) অনবীকৰণযোগ্য – জীৱাশ্মজাত ইন্ধন অনবীকৰণযোগ্য শক্তিৰ উৎস ৷ অৰ্থাৎ আমি ইয়াক দ্ৰুত হাৰত ব্যয় কৰি থাকিলে অতি শীঘ্ৰেই ইয়াৰ ভাণ্ডাৰ শেষ হ’ব ৷
(ii) বায়ু প্ৰদূষণ – জীৱাশ্মজাত ইন্ধন দহন কৰিলে বায়ু প্ৰদূষণ হয় ৷ বায়ু প্ৰদূষণ প্ৰকৃতি আৰু জীৱ জগতৰ স্বাস্থ্যৰ বাবে ক্ষতিকাৰক ৷
15. পেলনীয়া আবৰ্জনাৰ সমস্যা দুৰিকৰণৰ দুটা পদ্ধতি উল্লেখ কৰা।
উত্তৰঃ পেলনীয়া আবৰ্জনাৰ সমস্যা দুৰিকৰণৰ দুটা পদ্ধতি উল্লেখ হ’ল–
(i) পেলনীয়া আবৰ্জনাবোৰ (জাৱৰ) পেলোৱাৰ পূৰ্বে আবৰ্জনাবোৰৰ পৰা জীৱক্ষয়িষ্ণু আৰু জীৱ অক্ষয়িষ্ণু বস্তুবোৰক পৃথক কৰিব লাগিব।
(ii) যিবোৰ আবৰ্জনা পুনৰ্বাৰ ব্যৱহাৰ কৰিব পাৰি, সেইবোৰ আবৰ্জনা পৃথক কৰিব লাগে। যেনে– কাগজ, কাঁচ, ধাতু আৰু ৰাবাৰ আদি।
16. বণ আৰু বন্য প্রাণীসমূহ কিয় সংৰক্ষণ কৰিব লাগে?
উত্তৰঃ বন আৰু বন্যপ্ৰাণী সংৰক্ষণ কৰাটো কেইবাটাও কাৰণত গুৰুত্বপূৰ্ণ। অৰণ্যই আমাক অক্সিজেন যোগান ধৰে আৰু বৰষুণৰ বাবে দায়বদ্ধতা। ইয়াৰ উপৰিও ইহঁতে মাটিৰ খহনীয়া ৰোধ কৰে আৰু আমাৰ গ্ৰহটোৰ বাবে অক্সিজেন আৱৰণ হিচাপে কাম কৰে। উদ্ভিদবোৰ পৰগাছা আৰু বীজ বিক্ষিপ্ততাৰ বাবে জীৱ-জন্তু আৰু চৰাইৰ ওপৰত নিৰ্ভৰশীল, যিয়ে পৰিৱেশ তন্ত্ৰত শক্তিৰ প্ৰবাহ বজাই ৰাখে। সংৰক্ষণে প্ৰজাতিৰ উন্নত বৃদ্ধি আৰু প্ৰজননৰ বাবে উদ্ভিদ আৰু প্ৰাণীৰ জিনীয় বৈচিত্ৰ্য সংৰক্ষণ কৰাত সহায় কৰে। বনাঞ্চল আৰু বন্যপ্ৰাণীয়েও অৰ্থনৈতিক সুবিধা প্ৰদান কৰে।
বনে খহনীয়া প্ৰতিৰোধ কৰাত সহায় কৰে আৰু মাটি সমৃদ্ধ আৰু সংৰক্ষণ কৰে, সম্প্ৰদায়সমূহক ভূমিস্খলন আৰু বানপানীৰ পৰা ৰক্ষা কৰাত সহায় কৰে আৰু উদ্ভিদ আৰু শস্যৰ খেতিৰ বাবে প্ৰয়োজনীয় চহকী ওপৰৰ মাটি উৎপাদন কৰে। মানুহ আৰু আন প্ৰাণীৰ খাদ্য আৰু আশ্রয়স্থল যােগানত সহায় কৰে। বিশ্বৰ জলচক্ৰত অৰণ্যইও গুৰুত্বপূৰ্ণ ভূমিকা পালন কৰে, জলীয় বাষ্প মুক্ত কৰি পৃথিৱীৰ ওপৰেৰে পানী লৈ যায় আৰু বৰষুণৰ পৰিমাণ ধৰি ৰাখে।
17. চকুৰ উপযোজন ক্ষমতা বুলিলে কি বুজা ?
উত্তৰঃ বেলেগ বেলেগ দূৰত্বত থকা লক্ষ্যবস্তু অনুযায়ী চকুৰ লেন্ছে তাৰ ফ’কাছ দৈৰ্ঘ্য পৰিৱৰ্তন কৰি ল’ব পৰা সামৰ্থকে চকুৰ উপযোজন ক্ষমতা বোলে।
18. পৰিবাহীৰ ৰোধ নিৰ্ভৰ কৰা দুটা কাৰক লিখা।
উত্তৰঃ পৰিবাহীৰ ৰোধ নিৰ্ভৰ কৰা দুটা কাৰক হৈছে –
(i) তাঁৰ ডালৰ দৈৰ্ঘ্য। আৰু
(ii) তাঁৰ ডালৰ প্রস্থচ্ছেদ।
19. এটা বৈদ্যুতিক মটৰে 220V লাইনৰ পৰা 5A প্রবাহ লয়। মটৰটোৰ ক্ষমতা আৰু 2 ঘন্টাত ই ব্যয় কৰা শক্তি উলিওৱা।
উত্তৰঃ I = 5 A, V = 220 V
T = 2h = 2 × 3600 S
= 7200 S
∴ ক্ষমতা, p = VI
= 220 × 5
= 1100 w
∴ বৈদ্যুতিক শক্তি = p × t
= 1100w × 72005
= 7920000 j
= 7.92 × 10⁶J
20. ৰক্তচাপ কি ? চিষ্ট’লিক আৰু ডায়েষ্ট’লিক চাপ কি ? এজন মানুহৰ সাধাৰণ চিষ্ট’লিক চাপ আৰু ভায়েষ্ট’লিক চাপৰ মাত্রা কিমান হোৱা উচিত ?
উত্তৰঃ ৰক্তচাপ বুলিলে আমাৰ দেহত অহৰহ চলি থকা হৃদযন্ত্ৰৰ স্পন্দনৰ ফলত তাৰ পৰা নিৰ্গত ৰক্তই ৰক্তবাহিনীৰ বেৰত সৃষ্টি হোৱা চাপকে বুজাই।
চিষ্ট’লিক চাপ হৈছে- নিলয় সংকুচনৰ সময়ত ধমনীৰ ভিতৰত প্রয়োগ হোৱা চাপ। আৰু
ডায়েষ্ট’লিক চাপ হৈছে- নিলয়ৰ শিথিল অৱস্থাত ধমনীত প্রয়োগ হোৱা চাপ।
এজন মানুহৰ সাধাৰণ চিষ্ট’লিক চাপ 120mm আৰু ভায়েষ্ট’লিক চাপৰ মাত্রা 80mm হোৱা উচিত।
OR/নাইবা
লসিকা কি ? প্লাজমাত কৈ ই কেনেদৰে পৃথক ? এইবোৰৰ কাৰ্য্যসমূহ কি কি?
উত্তৰঃ ৰক্তকেশিকাৰ ৰক্কবােৰৰ মাজেদি প্লাজমাৰ কিছু অংশ, প্রটিন আৰু কিছু ৰক্তকণিকা সংকোষীয় স্থানলৈ সৰকি আহে। ইয়াকে লসিকা (Lymph) বা কলাৰস (tisC. fluid) বলে। প্লাজমাত কৈ ই কিছু দিশত পৃথক, কিয়নো লসিকাবোৰ তেজৰ প্লাজমাৰ দৰে প্রায় একে যদিও ই বৰণহীন আৰু ইয়াত প্র’টিনৰ পৰিমাণ কম থাকে।
লসিকাই অস্ত্ৰৰ পৰা পাচিত আৰু শােষিত চর্বী কঢ়িয়ায় আৰু বহিঃকোষীয়আনৰ পৰা অতিৰিক্ত তৰল তেজলৈ ঘূৰাই নিয়ে।
এইবোৰৰ কাৰ্য্যসমূহ হৈছে-
(ক) লসিকা কেশিকাবোৰৰ পৰা লসিকা নলীকা গঠন হয় আৰু ইয়াৰ পৰা ডাঙৰ ডাঙৰ সিৰা গঠিত হয়।
(খ) লসিকাবোৰ অন্ত্রৰ পৰা পাচিত আৰু শোষণ হোৱা চৰ্বী কঢ়িয়াই নিয়ে।
(গ) লসিকাবোৰে অতিৰিক্ত তৰল পদার্থভাগ অন্তঃকোষীয় স্থানৰ পৰা তেজলৈ উভতাই আনে।
21. স্নায়ুপেশীৰ সংযোজন কি? শৰীৰৰ এটা অংশৰ পৰা আন অংশলৈ স্নায়ুপ্রেৰণা কেনেদৰে প্রবাহিত হয় ?
উত্তৰঃ স্নায়ুপেশীৰ সংযোজন হৈছে মটৰ নাৰ্ভৰ টাৰ্মিনেল এণ্ড আৰু পেশী (কংকাল/ মসৃণ/ হৃদযন্ত্ৰ)ৰ মাজৰ চিনেপ্টিক সংযোগ। ই স্নায়ুৰ পৰা পেশীলৈ ক্ৰিয়া সম্ভাৱনাৰ সংক্ৰমণৰ স্থান। ইয়াৰ উপৰিও ই বহু ৰোগৰ স্থান আৰু বহু ঔষধবিজ্ঞানসন্মত ঔষধৰ ক্ৰিয়াৰ স্থান।
শৰীৰৰ এটা অংশৰ পৰা আন অংশলৈ স্নায়ুপ্রেৰণা এক্সন, ডেনড্রাইট আৰু কিছুমান ৰাসায়নিক পদার্থৰ জৰিয়তে প্রবাহিত হয়।
OR/নাইবা
স্নায়ুকোষ এটাৰ এখন পৰিষ্কাৰ চিহ্নিত চিত্র আঁকা আৰু তাৰ কাৰ্য ব্যক্ত কৰা।
উত্তৰঃ

ইয়াৰ কাৰ্য হ’ল শৰীৰৰ এটা অংশৰ পৰা আন অংশলৈ স্নায়ুপ্রেৰণা প্রবাহিত কৰা।
22. দ্বি-বিভাজন আৰু বহুবিভাজনৰ মাজৰ পাৰ্থক্য দৰ্শোৱা।
উত্তৰঃ দ্বি-বিভাজন আৰু বহুবিভাজনৰ মাজৰ পাৰ্থক্য হৈছে–
| দ্বি-বিভাজন | বহুবিভাজন |
| (i) মাতৃদেহ দুটা খণ্ডত বিভক্ত হয়। | (i) মাতৃদেহৰ পৰা বহু অপত্য খণ্ডৰ সৃষ্টি হয়। |
| (ii) প্রকৃতপক্ষে অঙ্গজ জনন। | (ii) এক প্ৰকাৰ অনুন্নত অযৌন জনন। |
| (iii) ৰেণু বা স্পোৰ উৎপন্ন নহয়। | (iii) ৰেণু বা স্পোৰ সৃষ্টি হয়। |
| (iv) সাধাৰণত: প্ৰাণীৰ অনুকূল পৰিবেশত ঘটি থাকে। | (iv) সাধাৰণত: প্ৰাণীৰ প্ৰতিকূল পৰিবেশত সম্পন্ন হয়। |
OR/নাইবা
আংগিক বিস্তাৰণ পদ্ধতিৰ দ্বাৰা উৎপাদন কৰা উদ্ভিদ সমূহৰ ক্ষেত্রত কি কি সুবিধা পোৱা যায় ব্যক্ত কৰা।
উত্তৰঃ আংগিক বিস্তাৰণ পদ্ধতিৰ দ্বাৰা উৎপাদন কৰা উদ্ভিদ সমূহৰ ক্ষেত্রত পোৱা সুবিধাসমূহ হৈছে-
(a) বীজৰ পৰা উৎপত্তি হোৱা উদ্ভিদবোৰতকৈ আংগিক বিস্তাৰণৰ জৰিয়তে উৎপন্ন হোৱা উদ্ভিদবোৰৰ আগতীয়াকৈ ফুল-ফল ধৰে।
(b) আংগিক বিস্তাৰণ পদ্ধতিৰে উৎপত্তি হোৱা উদ্ভিদসমূহ আনুবংশিকভাৱে একে হয় আৰু লগতে চৰিত্রগত বৈশিষ্ট্যবোৰ পৈতৃক পুৰুষৰ লগত একে হোৱা দেখা যায়।
23. এটা নতুন প্রজাতিৰ উৎপত্তিৰ বাবে কি কি কাৰকে অৰিহণা যোগায় ?
উত্তৰঃ এটা নতুন প্রজাতিৰ উৎপত্তিৰ বাবে কি কি কাৰকে অৰিহণা যোগায় তলত উল্লেখ কৰা হ’ল–
(a) প্ৰাকৃতিক নিৰ্বাচন। আৰু
(বা) জিনীয় পথচ্যুত।
OR/নাইবা
যদি পিতৃ-মাতৃ দুয়োজনকে লৈ তেওঁলোকৰ সন্তান সকলেওঁ চকুৰ পাতল বৰণ বহন কৰে তেনেহ’লে চকুৰ পাতল বৰণৰ চাৰিত্রিক বৈশিষ্ট্যটো তোমাৰ মতে প্রভাৱী নে অ-প্রভাৱী স্বভাৱৰ হ’ব ? কিয় হয় বা নহয় ব্যাখ্যা কৰা।
উত্তৰঃ নহয়, প্ৰদত্ত উক্তিটোৰ পৰা আমি নিশ্চিতভাৱে ক’ব নোৱাৰো যে চকুৰ ৰং পাতল প্ৰধান নে অৱনমিত। কিন্তু যিহেতু সন্তান আৰু পিতৃ-মাতৃ দুয়োৰে চকুৰ ৰং পাতল, সেয়েহে সম্ভাৱনা হৈছে যে পাতল চকুৰ ৰং এটা ৰিচেছিভ বৈশিষ্ট্য।
24. (a) আয়নীয় যৌগৰ কঠিন অৱস্থা আৰু বিগলিত অৱস্থাত বিদ্যুত পৰিবাহিতাৰ বিষয়ত আলোচনা কৰা।
উত্তৰঃ আয়নিক যৌগবোৰ গলিত (তৰল) বা জলীয় দ্ৰৱত (পানীত দ্ৰৱীভূত) হ’লে বিদ্যুৎ পৰিবাহী হয়, কাৰণ ইহঁতৰ আয়নবোৰ ঠাইৰ পৰা ঠাইলৈ মুক্তভাৱে গতি কৰিব পাৰে। আয়নিক যৌগবোৰে কঠিন হ’লে বিদ্যুৎ পৰিবাহী কৰিব নোৱাৰে, কিয়নো ইহঁতৰ আয়নবোৰ নিৰ্দিষ্ট স্থানত ৰখা হয় আৰু গতি কৰিব নোৱাৰে।
(b) ধাতু নিষ্কাশনত কেনেকৈ বিদ্যুৎ বিজাৰণ পদ্ধতি ব্যৱহাৰ কৰা হয় ?
উত্তৰঃ ধাতু নিষ্কাশনত কেথ’ডত ধাতুটো জমা হয় আৰু এন’ডত ক্লৰিন গেছ মুক্ত কৰি বিদ্যুৎ বিজাৰণ পদ্ধতি ব্যৱহাৰ কৰা হয়। ছ’ডিয়াম, মেগনেছিয়াম, কেলছিয়াম আদি অক্সিজেনৰ প্রতি কার্বনতকৈ অধিক আসক্তি থকা ধাতুবোৰ বিগলতি ক্ল’ৰাইডৰ বিদ্যুত বিশ্লেষণৰ দ্বাৰা পোৱা যায়।
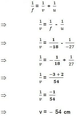
25. 18 cm ফ’কাছ দৈৰ্ঘ্যৰ অৱতল দাপোন এখনৰ সন্মুখত 27 cm দূৰত্বত 7 cm আকাৰৰ বস্তু এটা ৰখা হৈছে। দাপোনখনৰ পৰা কিমান দূৰত্বত পৰ্দা এখন ৰাখিলে তাত স্পষ্টকৈ গঠন হোৱা প্রতিবিম্ব এটা পোৱা যাব। প্রতিবিম্বৰ আকাৰ আৰু প্রকৃতি নিৰ্ণয় কৰা।
উত্তৰঃ ইয়াত,
h = 7cm
u = 27cm
f = – 18cm
h’ = ?
v = ?
আমি জানাে যে,

দাপােণৰ সন্মুখত 54cm দূৰত পর্দাখন ৰাখিব লাগিব।
আকৌ,

প্রতিবিম্ব সৎ, আৰু ওলোটা, লক্ষ্যবস্তুতকৈ ডাঙৰ। প্রতিবিম্বৰ আকৃতি = – 14 চেঃমিঃ।
OR/নাইবা
2 cm উচ্চতাৰ বস্তু এটা 10 cm ফ’কাছ দৈৰ্ঘ্যৰ উত্তল লেন্ছ এখনৰ মুখ্য অক্ষৰ লম্বভাৱে ৰখা হ’ল। লেন্ছৰ পৰা লক্ষ্যবস্তুৰ দূৰত্ব 15 cm. প্রতিবিম্বৰ প্রকৃতি, অৱস্থান আৰু আকাৰ নিৰ্ণয় কৰা।
উত্তৰঃ

26. ATP’ ৰ সম্পূৰ্ণৰূপটো কি ? বেছিভাগ কোষীয় প্রক্রিয়াৰ ক্ষেত্রত ইয়াক কোষীয় বা শক্তি মুদ্রা বুলি কোৱা হয় কিয় ? ‘ATP’ – ৰ অনুবোৰ কেনেদৰে উৎপাদিত হয় ? তাপগ্রাহী প্রক্রিয়া কি ? ‘ATP’ অনুবোৰক এনেবোৰ প্রক্রিয়া অগ্রসৰ কৰাৰ ক্ষেত্রত কেনেদৰে ব্যৱহাৰ কৰা হয় ?
উত্তৰঃ ATP’ ৰ সম্পূৰ্ণৰূপটো হৈছে – Adenosine Triphosphate.
কোষীয় শ্বসনত মুকলি হোৱা এ.টি.পি. (ATP) অণুৰ সংশ্লেষণত প্রয়োগ হয়। এই ATP কোষৰ বিভিন্ন কাৰ্যত প্রয়োগ হয়। এ.টি.পি.ৰ অণু ভাঙি উৎপন্ন হোৱা শক্তি কোষত সংঘটিত বিভিন্ন কাৰ্যত ব্যৱহৃত হয়। বিশেষকৈ, এ.টি.পি.ৰ পৰা উৎপন্ন হোৱা শক্তি কোষৰ এণ্ড’থাৰ্মিক (Endothermic) বিক্রিয়া ঘটাবৰ বাবেও ব্যৱহাৰ কৰা হয়।
যিবোৰ ৰাসায়নিক বিক্ৰিয়াত তাপৰ শোষন হয় তেনে ৰাসায়নিক বিক্ৰিয়াক তাপগ্ৰাহী বিক্ৰিয়া বোলা হয়।
কোষৰ এণ্ড’থাৰ্মিক বিক্রিয়া সংঘটিত কৰাৰ বাবে এ.টি.পি. অণুৰ প্রয়োগ হয়। পানীৰ সহায়ত এ.টি.পি. অণুত থকা ফছ্ফেট অণু ওলাই গলে যি পৰিমাণৰ শক্তি উৎপন্ন হয়, তাৰ পৰিমাণ হৈছে 30.5 K. J/Mol. বেটাৰীয়ে শক্তি যোগান ধৰাৰ একেধৰণে কোষে পেশীসংকোচন, প্র’টিন সংশ্লেষণ, স্নায়ু প্রেৰনা পৰিবহন আদি বিভিন্ন কাৰ্যৰ বাবে ATP ব্যৱহাৰ কৰে।
OR/নাইবা
উপজাত পদাৰ্থবোৰৰ পৰা ৰক্ষা পাবলৈ উদ্ভিকে কি কি নিষ্কাশন প্রক্রিয়াৰ উপয়োগ কৰে ? এই প্রক্রিয়াত প্রয়োগ কৰা কৌশল সমূহ প্রাণীয়ে প্রয়োগ কৰা কৌশলতকৈ কেনেদৰে বেলেগ ?
উত্তৰঃ উপজাত পদাৰ্থবোৰৰ পৰা ৰক্ষা পাবলৈ উদ্ভিকে বা উদ্ভিদে বৰ্জিত পদার্থ নিষ্কাশন কৰিবৰ বাবে বিভিন্ন নিষ্কাশন প্রক্রিয়াৰ উপয়োগ কৰে, ইয়াৰ ভিতৰত বিশেষকৈ বৰ্জিত পদার্থ কোষৰ ৰসধানীত সঞ্চয়, আঠা, বা ৰেজিন হিচাপে সঞ্চয়, সৰি পৰা পাতৰ সহায়েৰে বৰ্জন, চাৰিওপাশৰ মাটিত ৰেচন ইত্যাদি।
এই প্রক্রিয়াত প্রয়োগ কৰা কৌশল সমূহ প্রাণীয়ে প্রয়োগ কৰা কৌশলতকৈ বেলেগ কাৰণ মানুহকে ধৰি আন প্রাণীবোৰে বৃক্ক, ছাল, হাওঁফাওঁ, যকৃত, অন্ত্র আদিৰ সহায়ত উপজাত দ্রৱীভূত নাইট্র’জেন জাতীয় ৰেচন পদার্থ আৰু অলাগতিয়াল বৰ্জ্যদ্রৱ্যসমূহৰ নিষ্কাশন কৰে।

Hi! my Name is Parimal Roy. I have completed my Bachelor’s degree in Philosophy (B.A.) from Silapathar General College. Currently, I am working as an HR Manager at Dev Library. It is a website that provides study materials for students from Class 3 to 12, including SCERT and NCERT notes. It also offers resources for BA, B.Com, B.Sc, and Computer Science, along with postgraduate notes. Besides study materials, the website has novels, eBooks, health and finance articles, biographies, quotes, and more.









haladharhaloi26@gmail.com