Class 12 Physics Important Chapter 4 Moving Charges and Magnetism Solutions English Medium As Per The New Syllabus to each chapter is provided in the list so that you can easily browse through different chapters ASSEB Class 12 Physics Additional Solutions in English and select need one. NCERT Class 12 Physics Additional Solutions Download PDF. HS 2nd Year Physics Important Solutions.
Class 12 Physics Important Chapter 4 Moving Charges and Magnetism
Also, you can read the NCERT book online in these sections Solutions by Expert Teachers as per Central Board of Secondary Education (CBSE) Book guidelines. CBSE Class 12 Physics Additional Question Answer are part of All Subject Solutions. Here we have given HS 2nd Physics Important Solutions English Medium for All Chapters, You can practice these here.
Moving Charges and Magnetism
Chapter: 4
| IMPORTANT QUESTION AND ANSWER |
Answer The Following Questions:
1. Write the underlying principle of a moving coil galvanometer.
Ans. A current carrying coil placed in a magnetic field experiences a current dependent torque, which tends to rotate the coil and produces angular deflection.
2. What is the work done by magnetic field on a moving charge and why?
Ans:

3. Write two properties of a material used as on suspension wire in a moving coil galvanometer.
(i) It should be a good conductor of electricity.
(ii) The torsional constant.
Ans. Low torsional constant facilitate greater deflection (d) in coil for given value of current and hence sensitivity of galvanometer increases.
4. A beam of electrons projected along +x-axis, experiences a force due to a magnetic field along the -y-axis. What is the direction of the magnetic field?
Ans. By Fleming’s left hand rule, the magnetic field is directed along +z-axis.
5. Under what condition does an electron moving through a magnetic field experiences maximum force?
Ans. F = qv B sin θ; F is maximum if sin θ = 1 = sin 90° or θ = 90°. So if the electron is moving perpendicular to the direction of the magnetic field, it experiences a maximum force.
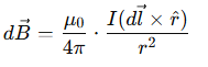
6. Write down the Biot-Savart’s Law in vector form.
Ans:

7. Write the expression for Lorentz force acting on a charged particle.
Ans:

8. Why is the Cyclotron not used to accelerate electrons?
Ans: Electrons are of very small mass and attain very high speed quickly, thus relativistic effects come into play making the cyclotron ineffective.
9. Define mobility of a charge carrier.
Ans: Although not explicitly given in Chapter 4 PDF, mobility μ is defined as:

where vd is drift velocity and E is electric field.
10. What is current sensitivity of a galvanometer?
Ans: The current sensitivity of a galvanometer is the deflection produced per unit current passing through it.
It is given by the expression:

where N is the number of turns, A is the area of the coil, B is the magnetic field, and kkk is the torsional constant. A higher current sensitivity means the galvanometer can detect smaller currents more effectively.
11. Which of Gauss and Tesla is a bigger unit? Write the ratio of 1 Gauss to 1 Tesla.
Ans: Tesla is the bigger unit.
1 Gauss = 10−4 Tesla
12. In case of an electron moving along a helical path, what determines the pitch of motion?
Ans: The pitch is determined by the component of velocity along magnetic field:

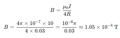
13. The wire shown in the figure carries a current of 10A. What is the magnitude of magnetic field induction at the centre O? Given the radius of the bent coil is 3cm.
Ans: Given:
Current, I=10 A
Radius, R=3 cm = 0.03 m
Formula:
For a semicircular arc:

14. An a particle is moving in a magnetic field of (3î+ 2ĵ) tesla with in velocity of 5×105î ms-1 What will be the magnetic force acting on the particle?
Ans:

15. Find an expression for the magnetic field at points on the axis of a circular current loop.
Ans: Expression:

Where I is current, R radius of loop, and x is axial distance from the center.

Hi! my Name is Parimal Roy. I have completed my Bachelor’s degree in Philosophy (B.A.) from Silapathar General College. Currently, I am working as an HR Manager at Dev Library. It is a website that provides study materials for students from Class 3 to 12, including SCERT and NCERT notes. It also offers resources for BA, B.Com, B.Sc, and Computer Science, along with postgraduate notes. Besides study materials, the website has novels, eBooks, health and finance articles, biographies, quotes, and more.


