SEBA Class 10 Science Sample Paper – 1, HSLC General Science Sample Paper Question Answer, দশম শ্ৰেণীৰ বিজ্ঞান প্ৰশ্নকাকত to each chapter is provided in the list of SEBA so that you can easily browse through different chapters and select needs one. Assam Board General Science Sample Paper Class 10 SEBA can be of great value to excel in the examination.

SEBA Class 10 General Science Model Paper
HSLC Model Question Paper provided here is fully aligned with the latest Assam Board (SEBA) curriculum and includes questions strictly based on the updated Class 10 SEBA textbooks. Students can easily access the detailed SEBA Class 10 General Science Model Question Paper to build a strong understanding of the subject and improve exam readiness.
These resources include the SEBA Class 10 General Science Model Question Paper, Class 10 General Science Sample Question Paper, and Assamese-medium answers, all arranged in an easy-to-read page-wise format. Each model paper follows the latest exam pattern, ensuring students get realistic practice before the final HSLC Examination.
সাধাৰণ বিজ্ঞান
TYPE – I
GENERAL SCIENCE
MODEL QUESTION ANSWER
Group – A
১। তলৰ প্ৰতিটো প্ৰশ্নৰ চাৰিটাকৈ উত্তৰ দিয়া আছে । চাৰিটাৰ ভিতৰত মাত্ৰ এটাহে শুদ্ধ উত্তৰটো বাছি উলিওৱা ।
( a ) এটা দ্ৰৱই ৰঙা লিটমাছ নীলা কৰে । ইয়াক pH হ’ব পাৰে–
( i ) 1
( ii ) 4
( iii ) 5
( iv ) 10
উত্তৰঃ ( iv ) 10 ।
( b ) তলৰ ধাতুবোৰৰ কোনটো ধাতুৱে অক্সিজেনৰ লগত তীব্রভাৱে বিক্রিয়া কৰে ?
( i ) Na
( ii ) Fe
( iii ) Cu
( iv ) Ag
উত্তৰঃ ( i ) Na ।
( c ) পর্যাবৃত্ত তালিকাৰ পৰ্যায়বোৰত বাওঁফালৰ পৰা সোঁফাললৈ যাওঁতে ঘটা পৰিৱৰ্তনৰ প্ৰকৃতিৰ ওপৰত আগবঢ়োৱা তলৰ উক্তিসমূহৰ কোনটো শুদ্ধ উক্তি নহয় ?
( i ) মৌলবোৰ কম ধাতৱধৰ্মী হৈ পৰে
( ii ) যোজক ইলেক্ট্রনৰ সংখ্যা বাঢ়ে
( iii ) পৰমাণুবোৰ সিহঁতৰ যোজক ইলেক্ট্রন অধিক সহজে হেৰুৱায়
( iv ) অক্সাইডবোৰ বেছি আম্লিক হৈ পৰে ।
উত্তৰঃ ( iii )পৰমাণুবোৰ সিহঁতৰ যোজক ইলেক্ট্রন অধিক সহজে হেৰুৱায় ।
( d ) আমাৰ লালটিত থকা উৎসেচক বিধক বোলা হয় –
( i ) এমাইলেজ
( ii ) লাইপেজ
( iii ) ত্রিপচিন
( iv ) পেপচীন
উত্তৰঃ ( i ) এমাইলেজ ।
( e ) মগজুৰ যি অংশই দেহ লৰচৰ কৰে আৰু সমতা ৰক্ষা কার্য নিয়ন্ত্ৰণ কৰে সেইটো হল –
( i ) ডায়েনচিফালন
( ii ) চেৰিব্রাম
( iii ) চেৰিবেলাম
( iv ) মেদুলা অৱলংগতা
উত্তৰঃ ( iii ) চেৰিবেলাম ।
( f ) জীৱৰ ক্ৰমবিকাশ প্ৰক্ৰিয়াত যি প্ৰক্ৰিয়াৰ দ্বাৰা কোনো এটা প্ৰজাতিৰ জীৱসমূহৰ চাৰিত্রিক বৈশিষ্ট্যসমূহৰ বিভিন্ন কাৰকৰ প্ৰভাৱৰ ফলত পৰিৱৰ্তন ঘটি নতুন চাৰিত্রিক বৈশিষ্ট্যসম্পন্ন জীৱৰ উদ্ভৱ হয় সেই প্রক্রিয়াক বোলা হয় –
( i ) প্ৰজাতিকৰণ
( ii ) ক্রমবিকাশ
( iii ) বংশানুক্ৰম
( iv ) ভিন্নতা
উত্তৰঃ ( i ) প্ৰজাতিকৰণ ।
( g ) দাপোন এখনৰ পৰা যিমানেই দূৰত থিয় নোহোৱা লাগে প্রতিবিম্বটো সদায় থিয় হয় । দাপোনখন কেনেকুৱা হ’ব পাৰে ?
( i ) সমতল
( ii ) অৱতল
( iii ) উত্তল
( iv ) হয় সমতল নতুবা উত্তল
উত্তৰঃ ( iv ) হয় সমতল নতুবা উত্তল ।
( h ) নিয়মীয়া দৃষ্টিৰ সদ্যপ্রাপ্তবয়স্কৰ বাবে স্পষ্টকৈ দেখাৰ নিম্নতম দূৰত্ব হ’ল –
( i ) 25 m
( ii ) 25 cm
( iii ) 2.5 cm
( iv ) 2.5 m
উত্তৰঃ ( ii ) 25 cm ।
( i ) বিদ্যুৎ আধানৰ এছ . আই . একক হৈছে –
( i ) জুল
( ii ) কুলম্ব
( iii ) ছেকেণ্ড
( iv ) ওম
উত্তৰঃ ( ii ) কুলম্ব ।
( j ) তলৰ কোনটো জীৱ ভৰ শক্তিৰ উৎসৰ উদাহৰণ নহয় ?
( i ) খৰি
( ii ) গোৰৰ গেছ
( iii ) নিউক্লিয় শক্তি
( iv ) কয়লা
উত্তৰঃ ( iii ) নিউক্লিয় শক্তি ।
Group -B
২। দ্বিঅপসাৰণ বিক্রিয়া এটাৰ উদাহৰণ দিয়া ।
উত্তৰঃ Na₂ SO₄ + BaCl₂→ BaSO₄ + 2NaCl
৩। ধাতু এটাৰ নমনীয়তা কাক বোলে ?
উত্তৰঃ ধাতুবোৰক টানি সূক্ষ্ম তাৰৰ আকৃতি দিব পাৰি । এই ধৰ্মটোক ধাতুৰ নমনীয়তা বোলে ।
৪। তলৰ কোনবিলাক হাইড্ৰ’কার্বন যোগাত্মক বিক্রিয়া দেখুৱায় ?
উত্তৰঃ C₂ H₆ , C₂ H₂ C₂H₆ , C₃ H₈ C₃ H₆ C₂H₂ আৰু CH₄
৫। প্ৰভাৱী চৰিত্ৰ কাক বোলে ?
উত্তৰঃ মেণ্ডেলৰ সংকৰণ পৰীক্ষাত প্ৰথম অপত্য জনু অর্থাৎ F₁ জনুত প্রকাশ পোৱা লক্ষণটোক প্ৰভাৱী লক্ষণ বোলে ৷
৬। চকুৰ উপযোজন ক্ষমতা মানে কি বুজা ?
উত্তৰঃ ( মানুহৰ ) চকুৰ লেনছখন জেলীসদৃশ আঁহযুক্ত পদাৰ্থৰে গঠিত । এই লেনছখনক চিলিয়াৰি পেশীয়ে ধৰি ৰাখে । লেনছখনৰ ফ’কাছ দৈৰ্ঘ্য পৰিৱৰ্তনশীল । যদি দুৰৰ বস্তু চাব লাগে , তেতিয়া এই চিলিয়াৰি পেশীয়ে লেনছখন প্ৰসাৰিত কৰি তাৰ ফ’কাছ দৈৰ্ঘ্য বৃদ্ধি কৰি দিয়ে । যেতিয়া ওচৰৰ বস্তু চাবলগীয়া হয় , তেতিয়া এই পেশীয়ে সংকোচন ঘটাই লেন্ছৰ ফ’কাছ দৈর্ঘ্য কমাই দিয়ে । এনেদৰে লেনছখনৰ ফ’কাছ দৈৰ্ঘ্যৰ পৰিৱৰ্তন ঘটাই কোনো বস্তু দেখা পোৱাৰ ব্যৱস্থা কৰাকে চকুৰ ক্ষমতাৰ উপযোজন কৰা বুলি কোৱা হয় ।
৭। এটা বিকাৰত 2g কেলছিয়াম অক্সাইড লোৱা । বিকাৰটোত লাহে লাহে পানী যোগ কৰা । তলত দিয়াবোৰৰ উত্তৰ কৰা –
( i ) উষ্ণতাৰ কেনে পৰিৱৰ্তন ঘটিব ?
( ii ) ওপৰ কথাখিনিৰ এটা সন্তুলিত সমীকৰণ লিখা ।
উত্তৰঃ ( i ) উষ্ণতা বৃদ্ধি হ’ব ।
( ii ) CaO + H₂O →1Ca ( OH )₂
নাইবা
তলৰ উক্তিটোৰ ৰাসায়নিক সমীকৰণ ৰূপত লিখা আৰু সস্তলন কৰা । হাইড্ৰ’জেন ছালফাইড গেছে বায়ুত দাহিত হৈ পানী আৰু ছালফাৰ – ডাই- অক্সাইড উৎপন্ন কৰে ।
উত্তৰঃ 2H₂ S + 3O₂ → 2H₂O + 2SO₂
৮। তোমাৰ হাতত A আৰু B দুটা দ্ৰৱ দিয়া হ’ল । দ্ৰৱ A ৰ pH ৰ মান 5 আৰু দ্ৰৱ B ৰ pH ৰ মান 10। কোনটো দ্ৰৱত হাইড্ৰ’জেন আয়নৰ গাঢ়তা বেছি ?
উত্তৰঃ A ত হাইড্ৰ’জেন আয়নৰ গাঢ়তা বেছি । ইয়াৰ A এচিড , B ক্ষাৰক ।
৯। আমাৰ তেজত থকা শ্বাসকণাবিধৰ নাম লিখা। কণাবিধৰ কাৰ্য উল্লেখ কৰা ।
উত্তৰঃ হিমগ্ল’বিন ৷ ইয়াৰ কাৰ্য – শ্বাসকার্যত সহায় কৰে ।
নাইবা ,
শোষণ হ’ব পৰাকৈ ক্ষুদ্ৰান্তত খাদ্য কেনেকৈ পাচন হয় ?
উত্তৰঃ আমাৰ শৰীৰৰ ক্ষুদ্ৰান্ত হ’ল কাৰ্বহাইড্ৰেট , প্ৰ’টিন আৰু চৰ্বীৰ সম্পূৰ্ণ পাচনৰ স্থান । ক্ষুদ্রান্তই এই পাচন কার্য সম্পন্ন কৰাৰ বাবে যকৃত আৰু অগ্নাশয়ে নিঃসৰণ কৰা পাচক ৰস লাভ কৰে । পাকস্থলীৰ পৰা ক্ষুদ্রান্তলৈ অহা খাদ্যদ্রব্য আম্লিক প্ৰকৃতিৰ হয় আৰু সেয়ে অগ্নাশয় বসে ইয়াত ভালদৰে ক্ৰিয়া কৰিবলৈ এই খাদ্যদ্ৰব্যক ক্ষাৰকীয় গুণবিশিষ্ট কৰাৰ দৰকাৰ হয় । যকৃতৰ পৰা অহা পিত্তৰসে এই কাৰ্যত সহায় কৰে , যিহেতু পিত্তস অত্যন্ত ক্ষাৰকীয় প্ৰকৃতিৰ হয় । পিত্তৰসত থকা দুবিধ পিত্তলোণে চৰ্বীৰ ডাঙৰ ডাঙৰ পিণ্ডবোৰক ভাঙি সৰু সৰু পিণ্ডলৈ পৰিৱৰ্তিত কৰে , যাৰ ফলত এনেদৰে সৃষ্টি হোৱা চৰ্বীৰ অৱদ্ৰৱত অগ্নাশয় লাইপেজে ভালদৰে ক্ৰিয়া কৰিব পাৰে । অগ্নাশয়ে ক্ষৰণ কৰা অগ্নাশয় ৰসত প্ৰ’টিনৰ পাচনৰ বাবে ট্ৰি’পচিন আৰু চৰ্বীৰ বিশ্লষণৰ বাবে লাইপেজ নামৰ দুবিধ উৎসেচক থাকে । ইয়াৰ উপৰিও ক্ষুদ্ৰান্তৰ বেৰত থকা আন্ত্রিক গ্ৰন্থিবোৰে আন্ত্ৰিক ৰস নিঃসৰণ কৰে । আন্ত্ৰিক ৰসত থকা উৎসেচকসমূহে শেহত প্রটিনক এমিন ’ এচিডলৈ , জটিল কাৰ্বহাইড্ৰেটক গ্লুক’জলৈ আৰু চৰ্বীক ফেটি এচিড আৰু গ্লিচাৰললৈ পৰিৱৰ্তন কৰে ।
১০। আমাৰ দেহত অক্সিজেনৰ পৰিমাণ কমি গ’লে কি হ’ব পাৰে ?
উত্তৰঃ হিমগ্ল’বিন হ’ল আমাৰ তেজৰ লোহিত ৰক্তকণিকাত থকা এবিধ শ্বাসৰঞ্জক , যিয়ে তেজত অক্সিজেন কঢ়িয়াই নিয়ে । সেয়ে আমাৰ শৰীৰত হিমগ্ল’বিনৰ অভাৱ ঘটিলে , আমাৰ শৰীৰৰ কোষসমূহে পর্যাপ্ত পৰিমাণৰ অক্সিজেন নাপাব ৷ ইয়াৰ ফলত কোষসমূহে শৰীৰৰ বিভিন্ন বিপাকীয় কাৰ্যৰ বাবে দৰকাৰ হোৱা শক্তি উৎপাদন কৰিবলৈ অক্ষম হ’ব । এনেদৰে হিমগ্ল’বিনৰ অভাৱত আমাৰ শৰীৰৰ বিভিন্ন জৈৱ ৰাসায়নিক প্রক্রিয়া বাধাগ্রস্ত হ’ব ।
নাইবা ,
সবাত আৰু অবাত শ্বসনৰ দুটা পার্থক্য লিখা ।
উত্তৰঃ সবাত আৰু অবাত শ্বসনৰ দুটা পার্থক্য হ’ল –
| সবাত শ্বসন | অবাত শ্বসন |
| ( ক ) এই শ্বসন অক্সিজেনৰ উপস্থিতিত সংঘটিত হয়। | ( ক ) এই শ্বসন অক্সিজেনৰ অনুপস্থিতত সংঘটিত হয়। |
| ( খ ) এই শ্বসনত বেছি পৰিমাণে শক্তি নির্গত হয়। | ( খ ) এই শ্বসনত কম পৰিমাণে শক্তি নিৰ্গত হয়। |
১১। প্রতীপ ক্রিয়া কি ? প্রাণীৰ প্রতীপ ধনু কিয় সৃষ্টি হয় ?
উত্তৰঃ প্রতীপ ক্ৰিয়া হ’ল পৰিৱেশৰ কোনো উদ্দীপনাৰ বিপৰীতে প্ৰাণীৰ শৰীৰৰ এক অনৈচ্ছিক , খৰতকীয়া আৰু স্বতঃস্ফূর্ত প্রতিক্রিয়া।
প্ৰাণীৰ মস্তিষ্কৰ চিন্তা কৰা প্ৰক্ৰিয়াটো জটিল আৰু সেয়েহে মন্থৰ । আনহাতে কিছুমান প্রাণীৰ শৰীৰত স্নায়ুকোষৰ এক জটিল বিন্যাস পোৱা নাযায় , যাৰ বাবে এনে প্ৰাণীৰ মস্তিষ্কই সঠিকভাৱে চিন্তা কৰিব নোৱাৰে।সেয়েহে এক প্রকৃত চিন্তা কৰা তন্ত্রৰ অভাৱত কিছুমান সঁহাৰি ক্ষিপ্ৰতাৰে জনাবলৈ প্ৰাণীৰ শৰীৰত প্ৰতীপ ধনুৰ বিকাশ হোৱা বুলি ধাৰণা কৰিব পাৰি ।
প্রতীপ ধনুৰ বিভিন্ন উপাদানসমূহ হ’ল – সংজ্ঞাবাহী , স্নায়ুকোষ , আজ্ঞাবাহী বা চালক স্নায়ুকোষ আৰু পৰ্যায়ক স্নায়ুকোষ ।
নাইবা ,
এক্সন আৰু ডেন্দ্ৰাইটৰ দুটা পার্থক্য লিখা ।
উত্তৰঃ ( ক ) এক্সন হ’ল নিউৰণৰ দেহকোষৰ পৰা ওলোৱা শাখাবিহীন আটাইতকৈ দীঘল স্নায়ু প্ৰৱৰ্ধ । আনহাতে ডেনড্ৰাইট হ’ল নিউৰণৰ দেহকোষৰ পৰা ওলোৱা প্রশাখাযুক্ত চুটি স্নায়ু প্রবর্ধ ।
( খ ) এক্সনৰ চাৰিওফালে মায়েলিন আৱৰণী থাকে , কিন্তু ডেনড্রাইটৰ চাৰিওফালে এই আৱৰণী নাথাকে ।
১২। এককোষী জীৱৰ বিভাজন পদ্ধতি বর্ণনা কৰা।
উত্তৰঃ এমিবা , লাইছমেনিয়াৰ দৰে এককোষী জীৱসমূহৰ কোষটো কোষ বিভাজনৰ দ্বাৰা দুটা সমান অংশত বিভক্ত হৈ যায় । এই প্রক্রিয়াক দ্বি – বিভাজন বোলে ৷ লাইছমেনিয়াৰ ক্ষেত্ৰত এই দ্বি – বিভাজন ইহঁতৰ কোষৰ এটা মূৰে থকা চাবুকৰ দৰে অংশটি সাপেক্ষে এক বিশেষ স্থানত সংঘটিত হয় আৰু এমিবাৰ ক্ষেত্ৰত দ্বি – বিভাজন যিকোনো সমতলতে সংঘটিত হয় । প্লাজম’ডিয়ামৰ দৰে এককোষী জীৱৰ কোষটো একে সময়তে বহুকেইটা অপত্য কোষলৈ ভাঙি যায় । এনে বিভাজনক বহু বিভাজন বোলে ।
নাইবা ,
প্রজনন প্রক্রিয়াত DNA ৰ প্ৰতিলিপিকৰণৰ প্ৰয়োজনীয়তা কি ?
উত্তৰঃ প্ৰজননৰ দ্বাৰা জীৱই দেখাত নিজৰ দৰে প্ৰায় একে নতুন জীৱৰ সৃষ্টি কৰে ৷ দৈহিক আৰ্হিৰ এই সাদৃশ্যই অপত্য জীৱসমূহক আগৰে পৰা চলি অহা অনুকূল পৰিৱেশ এঠাক ব্যৱহাৰ কৰাৰ সুবিধা দিয়ে । এনেদৰে একেবাৰে মৌলিক পৰ্যায়ত দৈহিক আৰ্হিৰ আঁচনিৰ প্ৰতিৰূপ বা নকল প্রস্তুত কৰাৰ লগত প্ৰজনম জড়িত হৈ পৰে । আকৌ আমাৰ কোষৰ কোষকেন্দ্ৰত DNA অণুৰ ৰূপত ক্ৰম ‘ জমত পৰৱৰ্তী প্রজন্মলৈ পিতৃ – মাতৃৰ চাৰিত্রিক বৈশিষ্ট্যৰ উত্তৰাধিকাৰৰ তথ্য নিহিত থাকে । DNA বোৰ হ’ল প্রটিন সংশ্লেষণৰ বাবে তথ্যৰ উৎস । সেয়ে যদি তথ্যৰ সলনি হয় , তেনেহ’লে উৎপন্ন হোৱা প্ৰটিনৰ প্ৰকৃতিও বেলেগ হ’ব । বেলেগ প্ৰকাৰৰ প্ৰটিনে দৈহিক আৰ্হিৰো পৰিৱৰ্তন আনিব । এনে অৱস্থাত অপত্য জীৱ এটা প্ৰৱৰ্তিত অনুকূল পৰিৱেশত জীয়াই থাকিব নোৱাৰিব । সেয়েহে , প্ৰজননৰ সময়ত DNA ৰ প্ৰতিৰূপ বা নকল প্রস্তুতকৰণ এটা প্রয়োজনীয় প্রক্রিয়া ।
১৩। পোহৰ বায়ুৰ পৰা 1.5 প্রতিসৰণাংক কাঁচৰ মাধ্যমলৈ প্ৰৱেশ কৰিছে । কাঁচত পোহৰৰ দ্ৰুতি কিমান হ’ব ?
উত্তৰঃ

১৪। এটা বৈদ্যুতিক বাল্বৰ তাৰডাল 10 মিনিট সময় 0.5A প্ৰৱাহ লয় । বর্তনীটোত চালিত হোৱা বৈদ্যুতিক আধানৰ পৰিমাণ উলিওৱা ।
উত্তৰঃ ইয়াত , t = 10 min = 600s
I = 0.5A
Q = ?
∴ Q = I×t
= 0.5 × 600
= 300C
১৫। বিদ্যুৎ চুম্বকীয় আৱেগ কি ? পৰৱৰ্তী প্রবাহ জেনেৰেটৰ আৰু প্ৰত্যক্ষ প্রবাহ জেনেৰেক্টৰৰ মাজৰ মূল পার্থক্য লিখা ।
উত্তৰঃ কোনো পৰিবাহী কুণ্ডলীৰ মাজেৰে পাৰ হৈ যোৱা চৌম্বকে বলৰেখাৰ সংখ্যাৰ সলনি ঘটিলে , কুণ্ডলীটোত এক আৱিষ্ট বিভৱভেদ সৃষ্টি হয় , যিয়ে এক আৱিষ্ট প্ৰবাহৰ সৃষ্টি কৰে । এই পৰিঘটনাক বিদ্যুৎ চুম্বকীয় আৱেশ বোলে ।
পৰিৱৰ্তী প্রবাহ জেনেৰেটৰ আৰু প্ৰত্যক্ষ প্রবাহ জেনেৰেটৰৰ মাজৰ মূল পার্থক্য হ’ল পৰিৱৰ্তী প্রবাহ জেনেৰেটৰত এযোৰ শিপ বিং ব্যৱহাৰ হোৱাৰ পৰিৱৰ্তে প্ৰত্যক্ষ প্রবাহ জেনেৰেটৰত দিক্ পৰিৱৰ্তক হিচাবে এটা স্পিলট বিং বা ফলা – আঙঠি ব্যৱহাৰ কৰা হয় ।
১৬। পৰিৱেশত প্ৰভাৱ পেলাব পৰা যিকোনো দুটা সম্ভাৱনাৰ বিষয়ে লিখা ।
উত্তৰঃ জীৱ নিম্নীকৰণ অযোগ্য পদার্থই পৰিৱেশক প্রভাৱান্বিত কৰিব পৰা দুটা উপায় হ’ল–
( ক ) এনে পদার্থ যিহেতু মাটিত মিহলি হৈ নাযায় , সেয়ে ইহঁতে বাস্তা – ঘাটত আৱৰ্জনাৰ সৃষ্টি কৰি আমাৰ চৌপাশৰ পৰিৱেশ অপৰিষ্কাৰ কৰি ৰাখে ৷
( খ ) এনে পদার্থই মাটি প্ৰদূষণৰ সৃষ্টি কৰি মাটিৰ গুণাগুণ হ্রাস কৰে ।
১৭। পেলনীয়া আৱৰ্জনাৰ সমস্যা হ্ৰাস কৰিবলৈ তুমি কি পদক্ষেপ গ্রহণ কৰিবা ।
উত্তৰঃ আৱৰ্জনা নিষ্কাষণৰ সমস্যা তলত দিয়া ধৰণে কমাব পৰা যায় –
( ক ) আমি দৈনন্দিন জীৱনত জীৱ নিম্নীকৰণ অযোগ্য পদাৰ্থৰ ব্যৱহাৰ কমাই জীৱ নিম্নীকৰণযোগ্য পদাৰ্থৰ ব্যৱহাৰ বেছিকৈ কৰা উচিত ।
( খ ) কোনো এটা বস্তু ব্যৱহাৰ কৰি পেলাই দিয়াৰ সলনি আমি একেটা বস্তুকে বাৰে বাৰে ব্যৱহাৰ কৰাৰ অভ্যাস গঠন কৰা উচিত ।
১৮। ( a ) তাপবৰ্জী আৰু তাপগ্ৰাহী বিক্ৰিয়াৰ সংজ্ঞা লিখা । উদাহৰণ দিবা ।
উত্তৰঃ যিবোৰ ৰাসায়নিক বিক্ৰিয়াত তাপৰ উদ্ভৱ হয় , সেইবোৰ বিক্রিয়াক তাপোদ্ভৱ বিক্রিয়া বোলে।
উদাহৰণ :- ( i ) CH₄ ( g ) + 2O₂ ( g ) → Co₂ ( g ) + 2H₂O ( g )
( ii ) C₆ H₁₂ O₆ ( aq ) + 6O₂ ( aq ) → 6CO₂ ( aq ) + 6H₂ O ( l ) + তাপশক্তি যিবোৰ বিক্ৰিয়াত তাপৰ শোষণ হয় , সেইবোৰ বিক্ৰিয়াক তাপশোষক বিক্রিয়া বোলে ।
উদাহৰণ :-

( b ) বায়ুত দহনৰ আগতে মেগনেছিয়াম ফিটা এডাল পৰিস্কাৰ কৰি ল’ব লাগে কিয় ?
উত্তৰঃ মেগনেছিয়ামৰ ওপৰত মেগনেছিয়াম কার্বনেটৰ এটি তৰপ পৰি থাকে । এই তপটো থাকিলে পোৰাৰ সময়ত বায়ুৰ মুক্ত অক্সিজেনৰ লগত পোনে পোনে সংস্পৰ্শত নাহে । গতিকে মেগনেছিয়ামৰ ফিটাডাল ভালকৈ পুৰি নাযায় । সেয়েহে পোৰাৰ আগতে ফিটাডাল ছেণ্ডপেপাৰেৰে ঘঁহি পৰিস্কাৰ কৰি লোৱা হয় ।
১৯। তোমাক তিনিটা পৰীক্ষা নল দিয়া হৈছে , সিহঁতৰ এটাত পতিত পানী আৰু আন দুটাত ক্ৰমে এটা এচিড দ্ৰৱ আৰু এটা ক্ষাৰ্কীয় দ্ৰৱ আছে।যদি তোমাক কেৱল ৰঙা লিটমাছ কাগজ দিয়া হয় , তেন্তে প্ৰতিটো পৰীক্ষা নলত থকা দ্ৰৱসমূহ কিদৰে চিনাক্ত কৰিবা ?
উত্তৰঃ ১৷ ৰঙা লিটমাছ পেপাৰখন তিনিটাৰ যিকোনো এটা পৰীক্ষা নলত ডুবাই দিলে যদি লিটমাছ কাগজৰ বৰণ একে থাকে , তেন্তে সেইটো দ্ৰৱ পতিত পানী বা এচিড হ’ব । যদি লিটমাছৰ ৰং নীলা হয় , তেন্তে সেই দ্ৰৱটো ক্ষাৰ হ’ব । এতিয়া সেই একেখন কাগজকে ( নীলা ) যদি প্রথম দুটাৰ যিকোনো এটাত দিলে তাৰ বৰণ একে থাকে তেস্তে সেই পৰীক্ষা নলত থকা দ্ৰৱটো পতিত পানীৰ হ’ব । বাকীটো এটিড হ’ব । যদি নীলা লিটমাছখনৰ ৰং সলনি হৈ ৰঙাৰ ফালে যায় তেন্তে সেইটো দ্রৱ এচিড হ’ব আরু আনটো পতিত পানী হ’ব ।
২। যদি ৰঙা লিটমাছ কাগজখনৰ ৰং যিকোনো এটাত দিলে নীলা হৈ যায় , তেস্তে সেই দ্ৰৱটো ক্ষাৰ হ’ব । এতিয়া সেই নীলা কাগজখন বাকী দুটাৰ এটাত দিলে যদি ৰঙৰ পৰিৱৰ্তন নহয় , তেন্তে সেইটো দ্ৰৱ পতিত পানী হ’ব । বাকী দ্ৰৱটো এচিড হ’ব ।
২০। ( a ) কোনটো মৌল দুয়োটা কক্ষই ইলেক্ট্রন পূর্ণ ?
উত্তৰঃ নিয়ন ।
( b ) কোনটো মৌলৰ ইলেক্ট্রনীয় বিন্যাস 2.8.3
উত্তৰঃ এলুমিনিয়াম ।
( c ) কোনটো মৌলৰ যোজক কক্ষত চাৰিটা ইলেক্ট্রনেৰে সৈতে তিনিটা কক্ষ আছে ?
উত্তৰঃ ছিলিকন ।
২১। নাইট্ৰ’জেন ( পাৰমাণৱিক সংখ্যা 7 ) আৰু ফছফৰাছ (পাৰমাণৱিক সংখ্যা 15 ) পর্যাবৃত্ত তালিকাৰ বৰ্গ 15 ত থাকে । এই মৌল দুটাৰ ইলেক্ট্রনীয় বিন্যাস লিখা । ইহঁতৰ কোনটো বেছি বিদ্যুৎ ঋণাত্মক হ’ব আৰু কিয় ?
উত্তৰঃ নাইট্ৰ’জেনৰ পাৰমাণৱিক সংখ্যা 7। গতিকে ইয়াৰ ইলেক্ট্রনীয় বিন্যাস 2,5 । ফছফৰাছৰ পাৰমাণৱিক সংখ্যা 15। গতিকে ইয়াৰ ইলেক্ট্রনীয় বিন্যাস 2 , 8 , 5 । উভয়ৰে বাহিৰতম কক্ষত 5 টাকৈ ইলেক্ট্রন আছে । অর্থাৎ যোজক ইলেক্ট্রনৰ সংখ্যা 5 ৷
যিহেতু নাইট্ৰ’জেনৰ কক্ষ দুটা , কিন্তু ফছফৰাছৰ তিনিটা গতিকে নাইট্ৰ’জেনৰ পৰমাণুৰ আকাৰ ফছফৰাছতকৈ সৰু । গতিকে ইয়াৰ নিউক্লিয়াছ আৰু কক্ষপথৰ ইলেক্ট্রনৰ মাজৰ স্থিতি বিদ্যুৎ আকৰ্ষণ ফছফৰাছতকৈ বেছি হ’ব যিকেনো ফছফৰাছৰ আকাৰ নাইট্ৰ’জেনতকৈ ডাঙৰ ।
অর্থাৎ নাইট্ৰ’জেনৰ বিদ্যুৎ ঋণাত্মকতা ফছফৰাছতকৈ বেছি ।
২২। আমাৰ দেহত স্নায়ু প্ৰেৰণা কেনেদৰে প্ৰৱাহিত হয় ?
উত্তৰঃ নিউৰণৰ মুখ্য কাৰ্য হ’ল পৰিৱেশৰ পৰা তথ্য আহণ কৰা আৰু তাক বৈদ্যুতিক প্ৰেৰণাৰ ৰূপত শৰীৰৰ এটা অংশৰ পৰা আন এটা অংশলৈ সঞ্চালিত কৰা । নিউৰণৰ ডেনড্ৰাইটৰ অগ্ৰাংশত গ্ৰহণ কৰা কোনো বার্তাই এক ৰাসায়নিক বিক্রিয়া সংঘটিত কৰে , যিয়ে এক বৈদ্যুতিক প্ৰেৰণাৰ সৃষ্টি কৰে । এই বৈদ্যুতিক প্ৰেৰণাই ডেনড্ৰাইটৰ পৰা প্ৰথমে কোষ দেহলৈ আৰু পাছত এক্সনৰ মূৰলৈ গতি কৰে । এক্সনৰ মূৰত এই বৈদ্যুতিক প্ৰেৰণাই কিছুমান ৰাসায়নিক পদাৰ্থৰ সৃষ্টি কৰে । এই ৰাসায়নিক পদাৰ্থই দুটা নিউৰণৰ মাজৰ ফাকটো বা ছাইনেপছটো পাৰ হয় আৰু পৰৱৰ্তী নিউৰণটোৰ ডেনড্ৰাইটত একেধৰণৰ বৈদ্যুতিক প্ৰেৰণাৰ সৃষ্টি কৰে । এনেদৰে নিউৰণৰ সহায়ত স্নায়ু প্ৰেৰণা আমাৰ দেহত সঞ্চালিত হয় ।
২৩। এটা আদৰ্শ ফুলৰ দীৰ্ঘচ্ছেদৰ চিহ্নিত চিত্র আঁকা ৷
উত্তৰঃ

২৪। মানুহৰ সন্তানৰ লিংগ কিদৰে নিৰ্দ্ধাৰণ কৰা হয় ?
উত্তৰঃ মানুহৰ ক্ষেত্ৰত নাৰীৰ দেহত যৌন ক্ৰম’জ ’মৰ এটা প্ৰকৃত যোৰ পোৱা যায় ৷ ইয়াৰ প্ৰতিডালক X বোলা হয় । কিন্তু পুৰুষৰ দেহত এযোৰ অমিল যৌন ক্ৰম’জ’ম পোৱা যায় , যাৰ এডাল নিয়মীয় ‘ আকাৰৰ X আৰু আনডাল কিছু চুটি ক্ৰম’জ’ম যাক Y নামেৰে জনা যায় । সেয়েহে ল’ৰাই হওক বা ছোৱালীয়েই হওক সকলো শিশুৱে তেওঁৰ মাতৃৰ পৰা এডাল X ক্রম’জ’ম লাভ কৰে । এনেদৰে শিশু এটাই তাৰ পিতৃৰ ফালৰ পৰা লাভ কৰা যৌন ক্ৰম’জ’মডালে তাৰ লিংগ নিৰ্দ্ধাৰণ কৰাত সহায় কৰে । যদি শিশুটোৱে পিতৃৰ ফালৰ পৰাও এডাল X ক্ৰম’জ’ম লাভ কৰে , তেনেহলে শিশুটো ছোৱালী হ’ব আৰু আনহাতে যদি শিশুটোৱে পিতৃৰ ফালৰ পৰা এডাল Y ক্ৰম’জ’ম লাভ কৰে , তেনেহ’লে শিশুটো ল’ৰা হ’ব ।
২৫। ( a ) দূৰদৃষ্টিগ্ৰস্ততা ৰ সংশোধন দেখুৱাই ৰশ্মিচিত্র অংকন কৰা ।
উত্তৰঃ

( b ) প্ৰেছবায় পিয়া কাক বোলে ?
উত্তৰঃ প্ৰেছবায়’পিয়া জড়া দৃষ্টি হ’ল মানুহ এজনৰ বয়সৰ বাবে হোৱা চকুৰ বেমাৰ । বৃদ্ধ মানুহৰ চকুৰ চিলিয়াৰি পেশীবোৰ শিথিল হৈ পৰে । ফলত চকুৰ লেনছৰ ফ’কাছ দৈর্ঘ্য উপযোজন কৰিব নোৱাৰা হৈ পৰে । এনে বেমাৰ হ’লে মানুহজনে ওচৰৰ বস্তু বা দূৰৰ বস্তু দুয়োটাকে ভালদৰে মনিব নোৱাৰে ।
জড়া দৃষ্টিদোষযুক্ত চকুৰ বাবে বাইফ’কেল লেন্ছৰ চষ্মা ব্যৱহাৰ কৰিব লগা হয় । কাৰণ মানুহজনৰ মায়’পিয়া আৰু হাইপাৰ মেট্ৰ’পিয়া দুয়োটা দৃষ্টিদোষ ঘটে ।
২৬। ( a ) পৰিবাহীত বিভৱভেদ বৰ্তাই ৰখা সঁজুলি এটাৰ নাম লিখা ।
উত্তৰঃ বৈদ্যুতিক কোষ ।
( b ) 2Ω, 3Ω আৰু 6Ω তিনিটা ৰোধক কেনেকৈ সংযোগ কৰিলে সিহঁতৰ মুঠ ৰোধ
( i ) 4Ω আৰু
( ii ) 1Ω পোৱা যাব ।
উত্তৰঃ ( i ) ইয়াত R₁ = 2Ω ,
R₂ = 3Ω
R₃ = 6Ω
V = 220 volt
সজ্জাটোত 3Ω আৰু 6Ω ৰোধ দুটাক প্ৰথমতে সমান্তৰাল সজ্জাত সজ্জিত কৰি তাৰ লগত 2Ω ৰোধকটোক শ্রেণীবদ্ধ সজ্জাত সংযোগ কৰিব লাগিব ।
প্রথম দুটা ৰোধৰ সমতুল্য ৰোধ হ’ব ,

২৭। এটা চিহ্নিত চিত্ৰৰ সহায়ত বৈদ্যুতিক জেনেৰেটৰ নীতি ব্যাখ্যা কৰা ৷
উত্তৰঃ চুম্বক ক্ষেত্ৰ এখন পৰিবাহী তাঁৰেৰে তৈয়াৰী কুণ্ডলী এটা ঘূৰালে তাত আবিষ্ট বিদ্যুৎ প্রবাহৰ সৃষ্টি হয় । এই ক্ষেত্ৰত যান্ত্রিক শক্তি বিদ্যুৎ শক্তিলৈ ৰূপান্তৰিত হয় ।

নাইবা
বৈদ্যুতিক মটৰৰ চিহ্নিত চিত্র অংকন কৰি ইয়াৰ মূল নীতি আৰু কার্যপ্রণালী ব্যাখ্যা কৰা ।
উত্তৰঃ বৈদ্যুতিক মটৰঃ বৈদ্যুতিক মটৰ হ’ল বৈদ্যুতিক শক্তিক যান্ত্রিক শক্তিলৈ ৰূপান্তৰ কৰা ব্যৱস্থা । চুম্বকক্ষেত্ৰত ৰখা বিদ্যুৎ প্রবাহী পৰিবাহী এডালৰ ওপৰত চুম্বকক্ষেত্ৰই ক্ৰিয়া কৰা বলৰ প্ৰয়োগ কৰি বিদ্যুৎ শক্তিক যান্ত্রিক শক্তিলৈ এই আহিলাত ৰূপান্তৰ কৰা হয় । অর্থাৎ বিদ্যুৎ পৰিবাহীৰ ওপৰত চুম্বকৰ ক্ৰিয়া হ’ল বৈদ্যুতিক মটৰৰ কাৰ্যনীতি । চিত্ৰত এটা বৈদ্যুতিক মটৰৰ ছবি দেখুওৱা হৈছে ।

ABCD এটা আয়তাকাৰ ফ্ৰেম । ইয়াৰ ওপৰত পৰিবাহী তাঁৰেৰে বহু পাক দি এটা আয়তাকাৰ কুণ্ডলী বনাই এডাল চুম্বকৰ দুই মেৰুৰৰ মাজত ৰখা হয় । XY এটা পৰিবাহীৰে নিৰ্মিত আৰু দুই ভাগত বিভক্ত বৃত্তাকাৰ আঙুঠি । এইটোক স্পিল্ট ৰিং ( Split – ring ) বোলা হয় ।
কুণ্ডলীৰ তাৰৰ মূৰ দুটা বৃত্তাকাৰ আঙুঠিৰ খণ্ড দুটাৰ লগত সংযোগ কৰা থাকে । স্পিল্ট ৰিঙটো দু’ডালল পৰিবাহীৰে নিৰ্মিত ব্ৰাছ C₁ আৰু C₂ ৰ লগত পিচলৈ যাব পৰাকৈ ‘ সংযোগ কৰা থাকে । C₁ আৰু C₂ ব্ৰাছ দুডাল বিদ্যুত কোষৰ দুই মেৰুৰ লগত সংযোগ কৰা থাকে । এতিয়া বৰ্তনীটোৰ মাজেৰে বিদ্যুত প্রবাহ চালিত কৰিলে AB আৰু CD বাহু দুটাৰ ওপৰত সমান বিপৰীতমুখী বলে ক্রিয়া কৰে । এই যুগ্ম বলৰ ফলড ABCD কুণ্ডলীটো ঘূৰিবলৈ আৰম্ভ কৰে । গোটেই ব্যৱস্থাটো এনেকুৱা যে কুণ্ডলীটো আধা পাক ঘূৰাৰ পাছত ব্ৰাছ আৰু প্লিল্ট ৰিঙৰ সহায়ত তাৰ মাজেৰে যোৱা প্ৰবাহৰ দিশ বিপৰীতমুখী হয় । ফলত AB আৰু CD ৰ ওপৰত প্ৰয়োগ হোৱা বলে কুণ্ডলীটো সদায় একেটা দিশতেই ঘূৰাই থাকে । এইদৰে কুণ্ডলীটোৰ বেটাৰীৰ পৰা আহৰণ কৰা বিদ্যুত শক্তিক তাৰ ঘূর্ণীয় গতি শক্তিলৈ ৰূপান্তৰিত কৰে ।
২৮। এটা আদর্শ শক্তিৰ গুণবোৰ কি কি ? তুমি ক্ষয়িষ্ণু বুলি বিবেচনা কৰা শক্তিৰ দুটা উৎসৰ নাম লিখা ।
উত্তৰঃ এটা আদর্শ শক্তিৰ উৎসৰ গুণাগুণসমূহ হ’ল –
( ক ) ই প্রতি একক আয়তন বা ভৰ সাপেক্ষে এক বৃহৎ পৰিমাণৰ কাৰ্য কৰে ।
( খ ) ই সহজলভ্য হয় ।
( গ ) ই সঞ্চয় আৰু পৰিবহণৰ বাবে সুবিধাজনক হয় ।
( ঘ ) ই কম খৰচী হয় । ক্ষয়িষ্ণু বুলি বিবেচনা কৰা শক্তিৰ দুটা উৎসৰ নাম হ’লঃ কয়লা আৰু পেট্ৰ’লিয়াম ।
২৯। ইলেক্ট্রন স্থানান্তৰৰ জৰিয়তে ছ’ডিয়াম ক্ল’ৰাইডৰ ( NaCl ) গঠন ব্যাখ্যা কৰা ।
উত্তৰঃ

এই যৌগত থকা আয়নবোৰ হ’ল – Na⁺ আৰু Cl⁻
( b ) NaCl যৌগটোত থকা আয়নসমূহ কি কি ?
উত্তৰ NaCl⁺ , Cl⁻
( c ) উভধর্মী অক্সাইড কাক বোলে ? উদ্ভধর্মী অক্সাইডৰ দুটা উদাহৰণ দিয়া ।
উত্তৰঃ যিবিলাক অক্সাইডে আম্লিক আৰু ক্ষাৰকীয় উভয়ৰে ধৰ্ম প্ৰদৰ্শন কৰে , সেইবোৰ অক্সাইডক উভয়ধর্মী ( amphoteric ) অক্সাইড বোলে।
উদাহৰণ :- জিংক অক্সাইড ( ZnO ) আৰু এলুমিনিয়াম অক্সাইড ( AI₂ O₃ )
অথবা
( a ) সাধাৰণ উষ্ণতাত জুলীয়া অৱস্থাত থকা ধাতু এটাৰ নাম লিখা ।
উত্তৰঃ পাৰা ।
( b ) তোমাক এটা হাতুৰী , এটা বেটাৰী , অলপ তাৰ আৰু এটা চুইছ দিয়া হ’ল । এই বস্তুবোৰ ব্যৱহাৰ কৰি ধাতু আৰু অধাতু কেনেকৈ চিনাক্ত কৰিবা ?
উত্তৰঃ যদি হাতুৰীটোৰে কোবাই দিলে বস্তুটো সহজে ভাঙি নাযায় , বৰং প্ৰসাৰিত হয় , শব্দ কৰে আৰু কোনোবাখিনিত চিকমিকনি দেখা যায় , তেন্তে বস্তুটো ধাতু হ’বই লাগিব অন্যথা ই অধাতু হ’ব ।
তাৰডালত বস্তুটো , বেটাৰি আৰু চুইছটো শ্রেণীবদ্ধ সজ্জাত সজ্জিত কৰিলে যদি চুইচ ‘ অন ’ কৰাৰ লগে লগে যদি বিদ্যুৎ প্রবাহ চালিত হয় , তেস্তে বস্তুটো ধাতু হ’ব আৰু যদি বিদ্যুৎ চালিত নহয় , তেন্তে অধাতু হ’ব।বিদ্যুৎ প্রবাহিত হ’লে বস্তুটো চুই চালে অলপ উষ্ণ অনুভৱ হ’ব ।
( c ) এজন ছাত্ৰই সৰু চামুচ এখনত ছালফাৰ গুড়ি লৈ উত্তাপিত কৰিলে।উদ্ভৱ হোৱা গেছটো তেওঁ এটা পৰীক্ষা নল ওভোটাকৈ ধৰি সংগ্ৰহ কৰিলে ৷ তলত দিয়াবোৰৰ লগত গেছটোৰ বিক্রিয়া কেনে হ’ব ?
( i ) শুষ্ক লিটমাছ কাগজ
( ii ) সিক্ত লিটমাছ কাগজ
উত্তৰঃ ( i ) শুষ্ক লিটমাছৰ লগত বিক্রিয়া নেদেখুৱায় ।
( ii ) সিক্ত লিটমাছ কাগজৰ লগত বিক্ৰিয়া কৰি তাৰ ৰং ৰঙা কৰিব ৷ বিক্ৰিয়াটোৰ সপ্তলিত
সমীকৰণটো হ’ল –
SO₂ + H₂O → H₂ SO₃ ( ছালফিউৰাছ এচিড )
৩০। ( a ) ইথানলক ইথানয়িক এচিডলৈ ৰূপান্তৰ কৰাটো কিয় এটা জাৰণ বিক্রিয়া ।
উত্তৰঃ ইথানলক ইথানয়িক এচিডলৈ ৰূপান্তৰিত কৰিব লাগিলে ইথানলৰ পৰা দুটা হাইড্ৰ’জেন অপসাৰিত কৰি এটা অক্সিজেন পৰমাণু সোমাই যায় । গতিকে ই জাৰণ বিক্রিয়া । এই ৰাসায়নিক বিক্ৰিয়াৰ সমীকৰণটো হ’ব :

( b ) তলৰ যৌগবোৰৰ নাম লিখা ।

উত্তৰঃ ( i ) ব্ৰম ‘ ইথেন ( Bromoetharne )।
( ii ) ফ’মেল ডি হাইড ( Formaldehyde ) ।
( iii ) হেক্সাইন ( Hexene )
অথবা ,
( a ) সমগণীয় শ্রেণী কাক বোলে ? উদাহৰণ দি বুজাই লিখা ।
উত্তৰঃ হাইড্ৰ’কাৰ্বনৰ কোনো এটা শ্ৰেণীৰ যদি ওচৰা ওচৰিকৈ থকা যৌগ বা সমগণৰ মাজত – CH₂ মূলকৰ পাৰ্থক্য থাকে , তেনেবোৰ শ্ৰেণীকে সমগণীয় শ্রেণী বোলে ৷
উদাহৰণ হ’ল – মিথেন ( CH₄ ) , ইথেন ( C₂ H₆ ) , প্রপেন ( C₃H₈), বিউটেন ( C₄H₁₀ ) ……….. আদি হ’ল এটা সমগণীয় শ্ৰেণীৰ কিছুমান সমগণ । ইয়াৰ সাধাৰণ নাম এলকেন ।
CH₄ আৰু C₂ H₆ মাজৰ পাৰ্থক্য হ’ল – CH₂ মূলকৰ ।
তেনেদৰে C₂ H₆ আৰু C₃ H₈ ৰ মাজৰ পাৰ্থক্য – CH₂ । একেদৰে C₃ H₈ আৰু C₃ H₈ ৰ মাজতো পার্থক্য – CH₂ এলকিন , এলকাইন আন দুটা সমগণীয় শ্রেণী ।
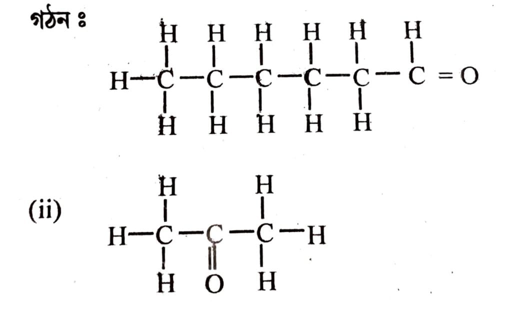
( b ) তলত দিয়া যৌগবোৰৰ গঠন চিত্র আঁকা ।
( i ) হেক্সোনল
( ii ) প্র’পান’ন
উত্তৰঃ ( i ) হেক্সোনল
সংকেত :- CH₃ – CH₂ – CH₂ – CH₂ – CH₂ – CHO

( c ) যোগাত্মক বিক্রিয়া দেখুওৱা দুটা হাইড্ৰ’কাৰ্বনৰ নাম লিখা ।
উত্তৰঃ ইথিন , ইথাইন ।
৩১। মানুহৰ ৰেচন তন্ত্ৰৰ অংশসমূহৰ নাম লিখা । সূত্ৰ উৎপাদন আৰু বৰ্জন প্ৰক্ৰিয়াৰ বিষয়ে লিখা ।
উত্তৰঃ মানুহৰ ৰেচন তন্ত্ৰৰ উপাদানসমূহ হ’ল –
( ক ) এযোৰ বৃক্ক ।
( খ ) এযোৰ মূত্ৰনলী ।
( গ ) এটা মূত্রথলী ( urinary bladder ) ।।আৰু
( ঘ ) এটা মূত্রাশয় ( urethra ) ।
আমাৰ শৰীৰৰ বৃক্কত মূত্ৰ উৎপাদিত হয় । নেফ্ৰণবোৰ হ’ল বৃক্কৰ মৌলিক পৰিস্ৰাৱন একক , যাৰ সহায়ত তেজৰ পৰিস্ৰাৱনৰ দ্বাৰা মূত্র উৎপাদিত হয় । নেফ্ৰণৰ এটা মূৰে থকা কাপ আকৃতিৰ অংশটোক ব’মেনৰ সৰ্ম্পট বোলা হয় । এই অংশৰ লগত সংযুক্ত হৈ থকা অতি পাতল বেৰৰ ৰক্তকেশিকাৰ থুপ এটাই প্রথমে তেজৰ পৰিস্ৰাৱণৰ দ্বাৰা প্রাথমিক মূত্রখিনি প্রস্তুত কৰে । এই ৰক্তকেশিকাৰ থূপটোক গ্ল’মেৰুলাছ বোলা হয় ।
এনেদৰে তৈয়াৰ হোৱা প্ৰাথমিক পৰিশ্ৰুতখিনি ব’মেনৰ সম্পূটে সংগ্ৰহ কৰি নেফ্ৰণৰ পিছফালৰ দীঘল কুণ্ডলীকৃত অংশলৈ পঠাই দিয়ে । এই অংশত প্রাথমিক পৰিশ্ৰুতখিনিৰ পৰা কিছুমান প্রয়োজনীয় পদার্থ যেনে– গ্লুক’জ , এমিন’এচিড , লৱণ আৰু এক বৃহৎ পৰিমাণৰ পানী পুনৰ শোষিত হয় । কিছুমান হানিকাৰক পদার্থ যেনে ক্ৰিয়েটিন আৰু ক্রিয়েটিনিন আদি এই অংশই পৰিশ্ৰুতখিনিত যোগ কৰে । শেষত এই পৰিশ্ৰুতখিনিয়ে মূত্ৰৰ ৰূপ লয় আৰু সংগ্রাহক নলীকাই ইয়াক সংগ্ৰহ কৰে।সংগ্রাহক নলীকাৰ পৰা মূত্ৰনলীৰ সহায়ত মূত্ৰখিনি মূত্রথলীলৈ যায়, য’ৰ পৰা মূত্রাশয়ৰ যোগেদি ই সময়ে সময়ে শৰীৰৰ পৰা বাহিৰলৈ ওলাই যায় ।
অথবা ,
সালোক সংশ্লেষণ কি ? এই প্রক্রিয়াত সংঘটিত হোৱা কাৰ্যসমূহ কি কি ? উদ্ভিদে কেনেদৰে কার্বন – ডাই – অক্সাইড অৱশোষণ কৰে লিখা ।
উত্তৰঃ সেউজীয়া উদ্ভিদে পাতৰ কোষত বহিঃপৰিৱেশৰ পৰা কাৰ্বন – ডাই – অক্সাইড আৰু পানী শোষণ কৰি সূৰ্যৰ পোহৰ আৰু পত্ৰ হৰিতৰ উপস্থিতিত কাৰ্বহাইড্রেট উৎপন্ন কৰে । এই প্ৰক্ৰিয়াক সালোক সংশ্লেষণ বোলে ।
সালোক সংশ্লেষণৰ সময়ত হোৱা তিনিটা মুখ্য ঘটনা হ’ল –
( ক ) পত্ৰ হৰিতৰ দ্বাৰা পোহৰ শক্তিৰ শোষণ ।
( খ ) পোহৰ শক্তিক ৰাসায়নিক শক্তিলৈ ৰূপান্তৰণ আৰু পানীৰ অণুৰ বিশ্লেষণৰ দ্বাৰা হাইড্ৰ’জেন আৰু অক্সিজেনৰ উৎপাদন ।
( গ ) কার্বন ডাই অক্সাইডক কাৰ্বহাইড্ৰেটলৈ বিজাৰণ । উদ্ভিদে পত্ৰৰন্ধ্ৰৰ সহায়ত বায়ুমণ্ডলৰ পৰা CO₂ গেছ ব্যাপন প্ৰক্ৰিয়াৰে শোষণ কৰে ।
৩২। ( a ) অবতল দাপোনে গঠন কৰা প্রতিবিম্বৰ ৰশ্মিচিত্র আঁকা যেতিয়া লক্ষ্যবস্তু দাপোনৰ ভাজকেন্দ্ৰত ৰখা হয় ।

উত্তৰঃ ইয়াত লক্ষ্যবস্তু = AC , প্রতিবিম্ব = CA´ প্রতিবিম্বৰ অৱস্থান হ’ল ভাঁজকেন্দ্ৰৰ ওপৰতে ৷ প্ৰকৃতি হ’ল ওলোটা আৰু সৎ । আকাৰ লক্ষ্যবস্তুৰ সমান আকাৰৰ ।
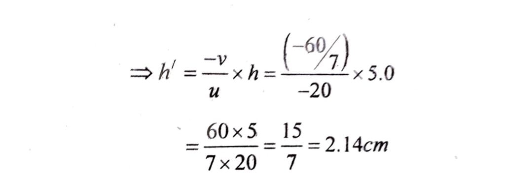
( b ) 30cm ভাজব্যাসাৰ্দ্ধৰ উত্তল দাপোন এখনৰ সন্মুখত 20cm দূৰত্বত 5cm দৈৰ্ঘ্যৰ বস্তু এটা ৰখা হৈছে । প্রতিবিম্বৰ অৱস্থান , ইয়াৰ প্ৰকৃতি আৰু আকাৰ নিৰ্ণয় কৰা ।
উত্তৰঃ ইয়াত দাপোনখন উত্তল ।


প্রতিবিম্বৰ দৈৰ্ঘ্য = 2.14 ছে.মি.
অথবা ,
গাড়ীৰ পিছলৈ চোৱা দাপোন হিচাপে উত্তল দাপোন কিয় ব্যৱহাৰ কৰা হয় ? বাহন এখনৰ পিছলৈ চোৱা উত্তল দাপোন এখনৰ ভাঁজ ব্যাসার্দ্ধ 4m | দাপোনখনৰ পৰা 5m দূৰত্বত এখন বাছ আছে । বাছখনৰ প্ৰতিবিম্বৰ স্থান নির্ণয় কৰা ।
উত্তৰঃ কাৰণ , উত্তল দাপোনৰ দৃষ্টিক্ষেত্ৰ বহল আৰু ই সদায় থিয় প্রতিবিম্ব গঠন কৰে । দিয়া আছে ,
R = + 4m
∴ f = + 2m
u = –5m
v = ?


Hi, I’m Dev Kirtonia, Founder & CEO of Dev Library. A website that provides all SCERT, NCERT 3 to 12, and BA, B.com, B.Sc, and Computer Science with Post Graduate Notes & Suggestions, Novel, eBooks, Biography, Quotes, Study Materials, and more.




