NIOS Class 10 Science and Technology Chapter 16 विद्युत ऊर्जा

NIOS Class 10 Science and Technology Chapter 16 विद्युत ऊर्जा Solutions Hindi Medium As Per New Syllabus to each chapter is provided in the list so that you can easily browse throughout different chapters NIOS Class 10 Science and Technology Chapter 16 विद्युत ऊर्जा Notes in Hindi and select need one. NIOS Class 10 Science and Technology Question Answers Download PDF. NIOS Study Material of Class 10 Science and Technology Notes Paper Code: 212.

NIOS Class 10 Science and Technology Chapter 16 विद्युत ऊर्जा

Join Telegram channel
Follow us:
facebook sharing button
whatsappp sharing button
instagram sharing button

Also, you can read the NIOS book online in these sections Solutions by Expert Teachers as per National Institute of Open Schooling (NIOS) Book guidelines. These solutions are part of NIOS All Subject Solutions. Here we have given NIOS Class 10 Science and Technology Notes, NIOS Secondary Course Science and Technology Solutions in Hindi for All Chapter, You can practice these here.

Chapter: 16

पाठगत प्रश्न 16.1

1. निम्नलिखित राशियों के मात्रकों को परिभाषित कीजिए।

(i) आवेश।

उत्तर: आवेश की मात्रक कूलॉम है। 1C वह आवेश है जो बराबर मात्रा के समान आवेश से 1m की दूरी पर रखे जाने पर उसे 9 × 109 N के बल से प्रतिकर्षित करता है। 

(ii) विभव।

उत्तर: विभव का मात्रक वोल्ट है। जब विद्युत क्षेत्र के किसी बिन्दु तक 1C आवेश को क्षेत्र के बाहर से उस बिन्दु तक लाने में 1J कार्य करना पड़े तो उस बिन्दु पर विभव 1 V कहलाता है।

WhatsApp Group Join Now
Telegram Group Join Now
Instagram Join Now

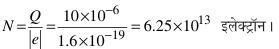
2. जब काँच की एक छड़ को सिल्क के कपड़े से रगड़ा जाता है तो यह 10 माइक्रो कूलॉम आवेश ग्रहण कर लेती है। गणना कर बताइए कि काँच की छड़ से सिल्क के कपड़े को कितने इलेक्ट्रॉन स्थानान्तरित हो गए?

उत्तर:

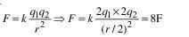
3. अगर दो छोटे विद्युतीकृत आवेशों के बीच की दूरी को आधा कर दिया जाए और उनके आवेश की मात्रा को दुगुना कर दिया जाए तो उनके बीच लगनेवाले बल में क्या अन्तर आएगा?

उत्तर:

4. दो आवेशीकृत गोलों के बीच की दूरी को दुगुना कर दिया जाए तो इनके बीच लगनेवाले बल में क्या परिवर्तन आएगा?

उत्तर: F’ = 1/4F

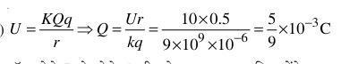
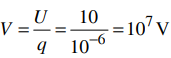
5. एक कण जिस पर 1 माइक्रो कूलॉम आवेश है एक स्थिर आवेश से 50 cm की दूरी पर रखा है जहाँ इसकी स्थितिज ऊर्जा 10J है।

(i) कण जिस विन्दु पर है वहाँ विद्युत विभव की गणना कीजिए।

उत्तर: 

(ii) स्थिर आवेश का मान ज्ञात कीजिए।

उत्तर:

6. दो धातु के गोले A एवं B कुचालक स्टेण्ड पर चित्रानुसार रखे गए हैं। इन्हें क्रमशः कुछ धनावेश व ऋणावेश दिया जाता है। अगर दोनों गोले एक दूसरे से एक घातु के तार से जुड़े हैं, तो क्या होगा?

उत्तर: इलेक्ट्रॉन गोले B से गोले A की ओर तब तक प्रवाहित होंगे जब तक दोनों गोलों पर विभव समान नहीं हो जाता।

पाठगत प्रश्न 16.2

1. (i) विद्युत धारा और (ii) प्रतिरोध के SI मात्रकों की परिभाषा लिखिए।

उत्तर: (i) धारा का मात्रक ऐम्पीयर है। 1 एम्पीयर तार में बहनेवाली वह धारा है जिसमें IC आवेश एक सेकण्ड में प्रवाहित होता है।

(ii) प्रतिरोध का मात्रक ओम है। एक ओम उस तार का प्रतिरोध है जिसके सिरों के बीच 1 वोल्ट विभवान्तर लगाने पर इसमें 1 ऐम्पीयर धारा प्रवाहित होती है। 

2. (i) धारा एवं  (ii) विभवान्तर को मापने के काम आने वाले यंत्रों के नाम बताईए।

उत्तर: (i) एमिटर और (ii) वोल्टोमीटर।

3. चालक, विद्युतरोधक से भिन्न क्यों होता है?

उत्तर: एक चालक में मुक्त इलेक्ट्रॉन होते हैं जबकि एक कुचालक में कोई मुक्त इलेक्ट्रॉन नहीं होते हैं।

4. वोल्ट, एम्पीयर व ओम से किस प्रकार सम्बन्धित है?

उत्तर: 1 वाल्ट = 1ओम × 1 एम्पीयर।

5. एक परिपथ में कुछ संख्या में बल्ब लगे हैं। बताइए कि बल्ब श्रेणीक्रम में लगे हैं या समान्तर क्रम में जबकि निम्न परिस्थितियाँ हो।

(i) एक बल्ब के यूज होने पर सारे परिपथ में धारा प्रवाह रुक जाता है।

उत्तर: यदि परिपथ में किसी एक बल्ब के यूज होने से पूरे पुरिपथ में धारा प्रवाह रुक जाता है तो बल्ब श्रेणीक्रम में जुड़े है।

(ii) केवल वही बल्ब बंद होता है जो कि यूज हुआ है।

उत्तर: यदि परिपथ में किसी एक बल्ब के यूज होने से धारा प्रवाह पर कोई प्रभाव नहीं पड़ता है तो बल्ब समान्तर क्रम में जुड़े है। 

6. जब एक तार के सिरों के मध्य विभवान्तर को दुगुना कर दिया जाए तो निम्न पर क्या प्रभाव पड़ेगा?

(i) तार के प्रतिरोध पर।

उत्तर: तार के प्रतिरोध पर कोई प्रभाव नहीं होगा।

(ii) तार से प्रवाहित होनेवाली धारा पर।

उत्तर: तार में प्रवाहित होने वाली धारा का मान दुगुना हो जाएगा।

7. नीचे बने परिपथ में ऐमीटर का पाठ्यांक क्या होगा?

उत्तर: 1 एम्पीयर।

8. 2Ω, 30 और 62 प्रतिरोध के प्रतिरोधकों को परिपथ में कैसे जोड़ें कि कुल प्रतिरोध (i) 11 Ω (ii) 4.52 और (iii) 42 प्राप्त हो?

उत्तर: (i) तीनों प्रतिरोधक श्रेणीक्रम में जुड़े है।

(ii) प्रतिरोधक 2Ω एवं 6Ω एवं दोनों समान्तर क्रम में जुड़े हैं और 3Ω का प्रतिरोधक 2Ω एवं 6Ω के संयोजन से श्रेणीक्रम में जुड़ा है।

(iii) 3Ω एवं 6Ω के प्रतिरोधक समान्तर क्रम में जुड़े हैं और 2Ω का प्रतिरोधक इनके संयोजन के श्रेणीक्रम में जुड़ा है।

9. विद्युत उपकरणों को बैटरी से श्रेणीक्रम की बजाय समान्तर क्रम में जोड़ने के दो फायदे बताइए।

उत्तर: (i) एक समान्तर परिपथ में प्रत्येक विद्युत उपकरण पृथक रूप से काम करता है क्योंकि वे अपनी आवश्यकतानुसार विद्युत का उपयोग करते हैं।

(ii) परिपथ का कुल प्रतिरोध घटेगा।

(ii) यदि कोई एक घटक काम करना बंद करता है तो परिपथ में धारा प्रवाह नहीं टूटेगा और दूसरे उपकरण सामान्य रूप से काम करते रहेंगे।

Leave a Comment

This site uses Akismet to reduce spam. Learn how your comment data is processed.

This will close in 0 seconds

Scroll to Top