Class 12 Economics Chapter 5 মুক্ত অর্থনীতি Question Answer in Assamese Medium to each chapter is provided in the list so that you can easily browse throughout different chapter AHSEC Class 12 Economics Chapter 5 মুক্ত অর্থনীতি Notes and select needs one.
Class 12 Economics Chapter 5 মুক্ত অর্থনীতি
Also, you can read the SCERT book online in these sections Solutions by Expert Teachers as per SCERT (CBSE) Book guidelines. These solutions are part of SCERT All Subject Solutions. Here we have given Assamese Medium Class 12 Economics Chapter 5 মুক্ত অর্থনীতি Solutions for All Subject, You can practice these here.
মুক্ত অর্থনীতি
Chapter: 5
প্রথম খণ্ড: সমষ্টিবাদী অর্থবিজ্ঞান পৰিচয়
(ক) অতিচমু প্রশ্নোৰঃ
প্রশ্ন ১। যেতিয়া প্ৰদত্ত আমদানি কার্য –
M = 50 + 0.4y হয়, তেতিয়া আমদানিৰ প্ৰতি প্ৰান্তিক আসক্তি কি হ’ব?
উত্তৰঃ যদি M = 50 + 0.4y
প্রান্তিক আমদানি প্রৱণতা হব 0.4
প্রশ্ন ২। মুক্ত অৰ্থনীতিৰ সংজ্ঞা দিয়া।
উত্তৰঃ মুক্ত অৰ্থনীতিৰ সংজ্ঞা এনেদৰে দিব পাৰি যে যেতিয়া এখন দেশে অন্যান্য দেশৰ লগত দ্ৰব্য আৰু সেৱা কাৰ্যৰ বাণিজ্যসমূহ কোনো বাধা নথকাকৈ কৰিব পাৰে তাক মুক্ত বাণিজ্য বোলে।
প্রশ্ন ৩। শুদ্ধ নে অশুদ্ধ লিখা।
GDP ৰ অনুপাত হিচাপে মুঠ বৈদেশিক বাণিজ্য হ’ল এটা অৰ্থনীতিৰ মুক্ততাৰ মাত্ৰাৰ এক উমৈহতীয়া জোখ।
উত্তৰঃ শুদ্ধ।
প্রশ্ন ৪। 2006-07 বৰ্ষত, ভাৰতৰ বৈদেশিক বাণিজ্য আছিল GDP (মুঠ ঘৰুৱা উৎপাদনৰ) 34.9 শতাংশ, 1985-86 বৰ্ষত ই আছিল 20.9 শতাংশ। এই তথ্যৰ ভিত্তিত কোনটো বছৰত ভাৰতৰ অৰ্থনীতি অধিক মুক্ত আছিল কোৱা?
উত্তৰঃ 2006-07 বেছি অর্থনৈতিক মুক্ত আছিল।
প্রশ্ন ৫। শুদ্ধ নে অশুদ্ধ লিখা।
আন্তঃৰাষ্ট্ৰীয় পৰ্যায়ত এটা কেন্দ্ৰীয় প্ৰাধিকৰণে প্ৰচলন কৰা একক মুদ্রা বৰ্তি আছে।
উত্তৰঃ শুদ্ধ।
প্রশ্ন ৬। পৰিশোধৰ সমতা কি?
উত্তৰঃ পৰিশোধ সমতা হ’ল এখন দেশে আন এখন দেশৰ মাজত থকা বৈদেশিক লেনদেনৰ হিচাবৰ প্ৰণালীবদ্ধ তথ্য।
প্রশ্ন ৭। পৰিশোধৰ সমতাৰ দুটা মূল হিচাপ কি?
উত্তৰঃ পৰিশোধৰ সমতাৰ মূল হিচাপ দুটা হ’ল-
(i) চলিত হিচাব। আৰু
(ii) মূলধনী হিচাব।
৮। এখন দেশৰ একেসময়তে বাণিজ্য ঘাটি আৰু চলিত হিচাপ উদ্বৃত্ত থাকিব পাৰেনে?
উত্তৰঃ পাৰে।
প্রশ্ন ৯। অদৃশ্য বাণিজ্য কি?
উত্তৰঃ ৰপ্তানিকৃত আৰু আমদানিকৃত সেৱাৰ সমতাই হৈছে অদৃশ্যমান বাণিজ্য।
প্রশ্ন ১০। হস্তান্তৰ পৰিশোধ কি?
উত্তৰঃ হস্তান্তৰ পৰিশোধ হ’ল যি পৰিশোধৰ বিনিময়ত কোনো মূল্য ঘুৰাই লোৱা নহয় তাক বুজায়।
প্রশ্ন ১১। বৈদেশিক বিনিময় বজাৰৰ সংজ্ঞা দিয়া।
উত্তৰঃ বৈদেশিক বিনিময় বজাৰ হ’ল য’ত এখন দেশৰ মুদ্ৰা অন্যান্য দেশৰ মুদ্ৰাৰ লগত সলনি কৰা হয় তাকে বৈদেশিক বিনিময় বজাৰ বোলে।
প্রশ্ন ১২। বৈদেশিক বিনিময় বজাৰৰ যিকোনো এটা প্রধান অংশগ্ৰহণকাৰীৰ উল্লেখ কৰা।
উত্তৰঃ বাণিজ্যিক বেংক।
প্রশ্ন ১৩। বৈদেশিক বিনিময় হাৰৰ সংজ্ঞা দিয়া।
উত্তৰঃ যি হাৰত এখন দেশৰ মুদ্ৰা আন এখন দেশৰ মুদ্ৰাৰে মূল্য নিৰ্ধাৰণ কৰা হয়।
প্রশ্ন ১৪। “টকা-ডলাৰৰ বিনিময় হাৰ হ’ল 45 টকা’ – এই তথ্যই কি সূচায়?
উত্তৰঃ ওপৰৰ তথ্যটোৱে এটা ডলাৰৰ মূল্য মুদ্ৰাৰ মান 45 টকা বুজাইছে। সলনিৰ মূল্য

প্রশ্ন ১৫। ক্রয় ক্ষমতা সাদৃশ্য কি?
উত্তৰঃ দুটা মুদ্ৰাৰ অন্তৰ্দেশীয় ক্ষয়-ক্ষমতাৰ হাৰক ক্ষয় ক্ষমতা সাদৃশ্য বোলে।
প্রশ্ন ১৬। প্রকৃত বিনিময় হাৰ কি?
উত্তৰঃ প্ৰকৃত মুদ্ৰাৰ হাৰ হৈছে দুখন দেশৰ চলিত দৰ স্তৰৰ কাৰণে সাল-সলনি কৰাৰ পিছত দুখন দেশৰ মুদ্ৰাৰ আপেক্ষিক কৰ।
প্রশ্ন ১৭। Y = C + I + G + NX, এই সমীকৰণটোত NX এ কি সূচাইছে?
উত্তৰঃ Y = C + I + G + NX সমীকৰণটোত NX য়ে নিগুট ৰপ্তানি সুচাইছে।
প্রশ্ন ১৮। শুদ্ধ নে অশুদ্ধ লিখা:
ইতিবাচক NX এ বাণিজ্য উদ্বৃত্তক সূচায়।
উত্তৰঃ শুদ্ধ।
প্রশ্ন ১৯। সঠিক শব্দটো বাছনি কৰা।
চৰকাৰী প্ৰচেষ্টাৰ মাজেৰে শিথিল বিনিময় হাৰৰ অধীনত ঘৰুৱা মুদ্ৰাৰ দাম হ্ৰাসক কোৱা হয় – (অৱক্ষয়/অবমূল্যায়ন /পুনৰ মূল্যায়ন)।
উত্তৰঃ অৱমূল্যায়ন।
প্রশ্ন ২০। বিভিন্ন দেশত একে ধৰণৰ দ্ৰব্যৰ দাম একেই হয় বোলা আন্তঃৰাষ্ট্ৰীয় বিনিময়ৰ সূত্ৰটোৰ নাম লিখা।
উত্তৰঃ আন্তঃৰাষ্ট্ৰীয় বিনিময় মুদ্রা তত্ত্ব।
প্রশ্ন ২১। ‘দ্বৈত মৌদ্রিক বিনিময় হাৰ’ কি?
উত্তৰঃ কোনো এখন দেশৰ এটা মুদ্ৰাৰ বিপৰীতে আন এখন দেশৰ এটা মুদ্ৰাৰ বিনিময় হাৰ নিৰ্দেশ দিয়ে এনে বিনিময় হাৰক দ্বৈত হাৰ বুলি কোৱা হয়।
প্রশ্ন ২২। বৈদেশিক মুদ্ৰাৰ যোগানৰ দুটা উৎস উল্লেখ কৰা।
উত্তৰঃ (i) আন্তঃৰাষ্ট্ৰীয় বাণিজ্য প্রতিষ্ঠান।
(ii) ৰিজাৰ্ভ বেংক।
প্রশ্ন ২৩। তলত উল্লেখ কৰা শব্দ দুটাৰ অৰ্থনৈতিক ধাৰণা সম্পূৰ্ণকৈ লিখা—
NEER, REER
উত্তৰঃ NEER = (Nominal Exchange Rate) মৌদ্রিক সক্রিয় বিনিময় হাৰ।
REER (Real Effective Exchange Rate) প্রকৃত সক্ৰিয় বিনিময় হাৰ।
প্রশ্ন ২৪। সত্য নে অসত্য লিখা:
যদি প্রকৃত বিনিময় হাৰ একৰ সমান হয়, তেন্তে মুদ্ৰাবোৰ ক্ৰয় ক্ষমতাৰ সমতাত উপনীত হয়।
উত্তৰঃ সত্য।
প্রশ্ন ২৫। বৈদেশিক লেন-দেনৰ বিবৃতিৰ ভাৰসমতা মানে কি?
উত্তৰঃ যেতিয়া এখন দেশৰ মুঠ চলিত হিচাপ আৰু ইয়াৰ অনা – জমা মূলধনী হিচাপৰ যোগফল শূন্যৰ সমান হয়, তেতিয়া ইয়াক বৈদেশিক লেন-দেনৰ বিবৃতিৰ ভাৰসাম্যতা বোলে।
প্রশ্ন ২৬। বৈদেশিক লেন-দেনৰ বিবৃতিৰ তৃতীয় উপাদানটো কি?
উত্তৰঃ ভুল আৰু ত্ৰুটিবোৰ হ’ল বৈদেশিক লেন-দেনৰ বিবৃতিৰ লগত জড়িত তৃতীয় উপাদান।
প্রশ্ন ২৭। মুদ্ৰাৰ যোগানৰ দুটা উৎস উল্লেখ কৰা।
উত্তৰঃ বৈদেশিক মুদ্ৰাৰ যোগানৰ দুটা উৎস হ’ল-
(i) দ্ৰব্য আৰু সেৱাৰ ৰপ্তানি। আৰু
(ii) ঘৰুৱা অৰ্থনীতিত বৈদেশিক বিনিয়োগ।
প্রশ্ন ২৮। পৰিশোধৰ সমতাৰ চলিত হিচাপত নিম্নলিখিত কোনকেইটা লেনদেন অন্তর্ভুক্ত হয়?
(ক) দ্ৰব্যৰ আমদানি আৰু ৰপ্তানি।
(খ) শ্বেয়াৰ আমদানি আৰু ৰপ্তানি।
(গ) একপক্ষীয় হস্তান্তৰ।
(ঘ) ওপৰৰ সকলোবোৰ।
উত্তৰঃ (ঘ) ওপৰৰ সকলোবোৰ।
প্রশ্ন ২৯। পৰিশোধৰ সমতা আৰু বাণিজ্যিৰ সমতাৰ দুটা পার্থক্য লিখা।
উত্তৰঃ (ক) বাণিজ্যৰ সমতা পৰিশোধৰ সমতাৰ চলিত হিচাপৰ অন্তৰ্ভুক্ত হয়। কিন্তু পৰিশোধৰ সমতাত চলিত হিচাপ আৰু মূলধনৰ হিচাপ দুয়োটাই অন্তর্ভুক্ত হয়।
(খ) বাণিজ্যৰ সমতাই এখন দেশৰ আন্তৰাষ্ট্ৰীয় লেনদেনৰ আংশিক ছবিহে দাঙি ধৰে। কিন্তু পৰিশোধৰ সমতাই লেন-দেনৰ পূৰ্ণাংগ ছবি দাঙি ধৰে।
প্রশ্ন ৩০। বৈদেশিক বিনিময় বজাৰ কি?
উত্তৰঃ বৈদেশিক মুদ্ৰাৰ ক্ৰয় আৰু বিক্ৰয়ৰ আনুষ্ঠানিক ব্যৱস্থাক বৈদেশিক বিনিময় বজাৰ বোলে।
প্রশ্ন ৩১। স্থিৰ বিনিময় হাৰৰ দুটা সুবিধা লিখা।
উত্তৰঃ (i) বিনিময় হাৰ এক নিৰ্দিষ্ট সময়ৰ বাবে স্থিৰ থাকে।
(ii) কেন্দ্রীয় বেংকে বিনিময় হাৰ নিয়ন্ত্ৰণ কৰে।
প্রশ্ন ৩২। বাণিজ্যিক সমতাত কেতিয়া ঘাটি সৃষ্টি হয়?
নাইবা,
বাণিজ্যিক সমতা হিচাপৰ ঘাটিয়ে কি বুজায়?
উত্তৰঃ এখন দেশৰ আমদানি ৰপ্তানিতকৈ অধিক হ’লে এনে অৱস্থাৰ সৃষ্টি হয়।
প্রশ্ন ৩৩। বাণিজ্যিক সমতাৰ ৰাহি কেতিয়া সৃষ্টি হয়?
উত্তৰঃ যেতিয়া এখন দেশৰ ৰপ্তানি আমদানিতকৈ অধিক হয়।
(খ) চমু প্রশ্নোত্তৰঃ
প্রশ্ন ১। মুক্ত অৰ্থনীতিৰ প্ৰসংগত উৎপাদিত সামগ্ৰীৰ বজাৰ সংযোগ, বিত্তীয় বজাৰ সংযোগ আৰু কাৰক বজাৰ সংযোগৰ অৰ্থ লিখা।
উত্তৰঃ আন্তঃৰাষ্ট্ৰীয় বাণিজ্যৰ ফলত ভোক্তাসকলে আৰু প্ৰতিষ্ঠানবোৰে বিভিন্ন ধৰণৰ ঘৰুৱা আৰু বৈদেশিক সামগ্ৰীৰ মাজত পছন্দ কৰাৰ সুযোগ পায়। ই হ’ল বজাৰ সংযোগ। বিনিয়োগকাৰীয়ে ঘৰুৱা আৰু বৈদেশিক পৰিসম্পত্তিৰ মাজত পছন্দ কৰাৰ সুযোগ পায়। ই বিত্তীয় বজাৰ সংযোগৰ সৃষ্টি কৰে।
প্রতিষ্ঠানবোৰে নিজৰ পছন্দ অনুসৰি উৎপাদন প্রতিষ্ঠান ক’ত স্থাপন কৰিব আৰু শ্ৰমিকসকলে ক’ত কাম কৰিব সেইটো ঠিক কৰিব পাৰে। এয়া হ’ল উৎপাদনৰ উপাদানৰ বজাৰ সংযোগ।
প্রশ্ন ২। শিথিল বিনিময় হাৰ পদ্ধতি কি?
উত্তৰঃ যেতিয়া দেশৰ মুদ্ৰাকৃত পক্ষৰ দ্বাৰা বিনিময় হাৰ স্থিৰ বা শিথিল কৰে তাক স্থিৰ বা শিথিল বিনিময় পদ্ধতি বোলা হয়। শিথিল বা স্থিৰৰ মাজত পাৰ্থক্য হ’ল শিথিল বিনিময় পদ্ধতিত বিনিময় হাৰৰ পৰিৱৰ্তন হ’ব পাৰে। বিটপ উভচ পদ্ধতিত বিনিময় হাৰ কম বেছি পৰিমাণে সাল-সলনি হৈ থাকে। কিন্তু শিথিল বিনিময় হাৰ পদ্ধতিত বিশেষ কাৰ্যৰ দ্বাৰা বিনিময় হাৰৰ পৰিৱৰ্ত্তন সাধন কৰিব পাৰে তাক মৌদ্রিক কর্তৃপক্ষই নির্ধাৰণ কৰে। শিথিল বিনিময় প্রথাৰ দ্বাৰা বিনিময় হাৰ বৃদ্ধি কৰি মুদ্ৰাৰ অৱমূল্যায়ন কৰে আৰু যেতিয়া কোনো দেশৰ মুদ্ৰাৰ বৰ্হিমূল্য চৰকাৰীভাৱে বৃদ্ধি কৰা হয় তাক মুদ্ৰাৰ পুনৰ মুল্যায়নৰ বুলি কোৱা হয়।
প্রশ্ন ৩। মুদ্ৰাৰ অৱমূল্যায়ন কি?
উত্তৰঃ মুদ্ৰাৰ অৱমূল্যায়ন হ’ল যেতিয়া এখন দেশৰ মুদ্ৰাৰ বৰ্হিমূল্য ইচ্ছানুসৰি চৰকাৰে হ্ৰাস কৰে তাকেই মুদ্ৰাৰ অৱমূল্যায়ন বুলি কোৱা হয়। উদাহৰণস্বৰূপে ধৰা হওক আমেৰিকাৰ ডলাৰ আৰু ভাৰতীয় টকাৰ বিনিময় হাৰ আছিল $ 1 = Rs 8। যদি আমেৰিকাৰ ডলাৰৰ লগত বিনিময় মূল্য 1 = Rs 10 কৰে তেন্তে ভাৰতৰ বৈদেশিক মুদ্ৰাৰ বিনিময় মূল্য 25% হ্রাস পাব। এইদৰে এখন দেশৰ মুদ্ৰাৰ বৰ্হিমূল্য চৰকাৰীভাৱে বৃদ্ধি কৰা হয় তাকেই মুদ্রাৰ অবমূল্যায়ন বোলে। এনে কৰিলে আমদানিৰ পৰিমাণ হ্ৰাস পাব।
প্রশ্ন ৪। স্বর্ণ মান কি?
উত্তৰঃ স্বর্ণমান ব্যৱস্থাত মুদ্ৰাৰ মূল্য মুদ্ৰাত সন্নিৱিষ্ট সোণৰ মূল্যৰ দ্বাৰা বিনিময় হাৰ নিৰ্ধাৰণ কৰা হয়। ই এক স্থিৰ বিনিময় হাৰ। স্বর্ণমান ব্যৱস্থাটো এক স্থিৰ বিনিময় হাৰ হিচাবে 1880-1914 চনত প্ৰতিষ্ঠিত হয়। পৃথিৱীৰ বিভিন্ন দেশ সমূহত 1951 লৈকে স্বর্ণ মুদ্ৰাৰ সহায়ত লেনদেন কৰিছিল। কিন্তু সোণৰ দাম বৃদ্ধিৰ লগে লগে স্বর্ণমান ব্যৱস্থাত কিছু অসুবিধাৰ সম্মুখীন হয় ফলত ইয়াৰ ব্যৱহাৰ হ্ৰাস পায়। বৰ্ত্তমান ৰিজাৰ্ভ বেংকত হে ব্যৱহাৰ হয়।
প্রশ্ন ৫। পৰিচালিত ভাসমান বিনিময় হাৰ ব্যৱস্থাই কি বুজায় ব্যাখ্যা কৰা।
উত্তৰঃ পৰিচালিত বিনিময় হাৰ পদ্ধতি হৈছে স্থিৰ বিনিময় হাৰ পদ্ধতি আৰু পৰিৱৰ্তনশীল বিনিময় হাৰৰ সংমিশ্রণ। এই ব্যৱস্থাক লেতেৰা ভাসমান বুলি কোৱা হয়। এই পদ্ধতিত এখন দেশৰ মুদ্ৰাক বৈদেশিক বিনিয়োগ বজাৰত ভাহিবলৈ দিয়া হয় আৰু বজাৰ শক্তি অনুসৰি বিনিময় হাৰ নিৰ্ধাৰণ কৰা হয়। এই ব্যৱস্থাই সম্পূৰ্ণৰূপে চৰকাৰী হস্তক্ষেপ নথকাটো নুবুজায়। প্রয়োজন অনুসৰি বিনিময় হাৰৰ উত্থান পতন ৰোধ কৰিবলৈ মৌদ্রিক কর্তৃপক্ষই হস্তক্ষেপ কৰে।
প্রশ্ন ৬। ব্রেটন উদছ পদ্ধতিটো ব্যাখ্যা কৰা।
উত্তৰঃ বিটন উদছ পদ্ধতি (The Bretton Woods system) হ’ল মুদ্রানীতি ব্যৱস্থাত বিনিময় হাৰ নিৰ্ধাৰণ কৰিবৰ বাবে আমেৰিকাৰ ব্ৰিটোন উডচত 1944 চনত এই ব্যৱস্থা কৰা হয়। ইয়াক আন্তর্জাতিক মুদ্রানিধি ব্যৱস্থা বুলিও কোৱা হয়। কিয়নো বিনিময় হাৰ নিৰ্ধাৰণত আন্তর্জাতিক মুদ্ৰানিধিৰে ব্যৱস্থা মানি চলা হয়।
এই ব্যৱস্থাৰ বৈশিষ্ট হল:
(i) মুদ্ৰাৰ বিনিময় হাৰ স্বর্ণমানত নিৰ্ধাৰণ কৰা হৈছিল আৰু সদস্য ৰাষ্ট্ৰই এই হাৰত বিনিময় কৰিব লাগিব।
(ii) এই ব্যৱস্থাত মুদ্ৰা আছিল ডলাৰ আৰু পাউণ্ডত।
(iii) মুদ্রানিধিৰ সদস্যসকলে মুদ্ৰাৰ বৰ্হিমূল্য 10% হ্রাস বা বৃদ্ধি কৰিব পাৰে। এই পদ্ধতিত বাণিজ্যিক লেনদেনৰ ৰাহিৰ অভাৰসাম্যতা দূৰ কৰিবৰ বাবে বিনিময় হাৰৰ পৰিৱৰ্ত্তন কৰিব পৰা ব্যৱস্থা আছে।
দ্বিতীয় মহাযুদ্ধৰ পিচত এই পদ্ধতিক সকলো দেশে বিনিময় কৰাত অসুবিধাৰ সন্মুখীন হয়। ইয়াৰ মূলতে আছিল স্বর্ণ সংৰক্ষণৰ পৰিমাণ কমি গৈছিল। আন্তর্জাতিক মুদ্রানিধি অনুমোদন ক্ৰমে প্রত্যেক দেশৰ কেন্দ্ৰীয় বেংকসমূহে ঘৰুৱা মুদ্ৰা ব্যৱহাৰ কৰিব পাৰিব।
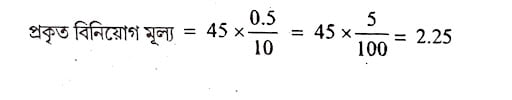
প্রশ্ন ৭। ধৰাহ’ল I মার্কিন ডলাৰ ($1) ক্ৰয় কৰিবলৈ লাগে 45 টকা। যদিহে ভাৰতত এপিয়লা কফিৰ দাম 10 টকা হয় আৰু মাৰ্কিন যুক্তৰাষ্ট্ৰত $0.5 হয়, তেন্তে প্রকৃত বিনিময় হাৰ কি হ’ব?
উত্তৰঃ

e = মৌদ্রিক বিনিময় হাৰ
P₁ = বিদেশৰ মূল্যস্তৰ
P = দেশৰ মূল্যস্তৰ
দিয়া আছে Rs 45 = $ (মার্কিন ডলাৰ)

প্রশ্ন ৮। মুক্ত অর্থনীতিত যদি উপভোগৰ প্রতি প্রাম্ভিক আসক্তি 0.8 হয়, আৰু আমদানিৰ (m) প্ৰতি প্ৰান্তিক আসক্তি 0.2 হয়, তেস্তে আয় গুণিতকৰ আকাৰ নিৰ্ণয় কৰা।

প্রশ্ন ৯। ক্রয় ক্ষমতা সাদৃস্যৰ অৰ্থ স্পষ্ট কৰা।
উত্তৰঃ ক্রয় ক্ষমতা সাদৃশ্য অর্থাৎ (Purchasing power parity) বিনিময় হাৰৰ এটা পৰিমাণ বা জোখ (spot of rate of exchange)। ইয়াৰ সহায়ত বৈদেশিক বাণিজ্যত মুদ্রাৰ ক্ৰয় ক্ষমতাৰ বিনিময় হাৰ লোৱা হয়। সেয়ে দুখন দেশৰ মাজত বিনিময় হাৰ দুয়োখন দেশৰ

য’ত R = বিনিময় হার (Rate of Exchange)
Px = A দেশৰ দৰম্ভৰ Py = B দেশৰ দৰস্তৰ
উদাহৰণ: ধৰা হওক ভাৰতত কিলোগ্রাম আপেলৰ দাম 48 টকা আৰু আমেৰিকাত।
ডলাৰ তেতিয়া ক্ৰয়ৰ বিনিময় মূল্য 48 = 1 ডলাৰ বা Rs. 48 = $1
প্রশ্ন ১০। হস্তান্তৰ পৰিশোধৰ ধাৰণাটো ব্যাখ্যা কৰা।
উত্তৰঃ হস্তান্তৰ পৰিশোধ মানে হৈছে যি পৰিশোধ বা প্রাপ্তিত কোনো ধৰণৰ আয় ঘূৰাই নাপায় তাকে হস্তান্তৰ পৰিশোধ বুলি কোৱা হয়। এনে ধৰণৰ পৰিশোধ সমূহ হ’ল— দান- বৰঙনি, অনুদান, উপহাৰ ইত্যাদি। এনে পৰিশোধ মৰম ভালপোৱা সাহায্য আদিৰ বাবে কৰা হয়। হস্তান্তৰ পৰিশোধ দুটা ভাগত থাকে official পৰিশোধ আৰু ব্যক্তিগত পৰিশোধ। কাৰ্য্যালয় ভিত্তিক পৰিশোধবোৰ হ’ল এখন দেশে আন এখন দেশক সাহায্যমূলকভাৱে কৰা উপহাৰ আৰু অনুদান, ব্যক্তিগত পৰিশোধ কোনো ব্যক্তি বা প্রতিষ্ঠানে ব্যক্তিগতভাৱে দিয়া উপহাৰ আৰু অনুদান। জাতীয় আয়গণনাত হস্তান্তৰ পৰিশোধ আয় অন্তর্ভুক্ত কৰা নহয়।
প্রশ্ন ১১। শুদ্ধ ৰপ্তানি কি? বাণিজ্যৰ সৈতে ইয়াৰ সম্পৰ্ক কি?
উত্তৰঃ ৰপ্তানিৰ পৰা আমদানিৰ পৰিমাণৰ বিয়োগফলক শুদ্ধ বা প্রকৃত ৰপ্তানি বুলি কোৱা হয়। অর্থাৎ NX = X – M, য’ত X = ৰপ্তানি, M = আমদানি।
বাণিজ্যত প্ৰকৃত ৰপ্তানি ধনাত্মক হ’লে বাণিজ্যৰ উদ্বৃত্তক বুজায় আৰু প্ৰকৃত ৰপ্তানি ঋণাত্মক হ’লে ই বাণিজ্যৰ ঘাটিক বুজায়।
প্রশ্ন ১২। এখন অর্থনীতিৰ উন্নয়নৰ বাবে বাণিজ্য-ঘাটি কেতিয়া অপকাৰী নহয়?
উত্তৰঃ যদি এখন দেশৰ বাণিজ্যৰ ঘাটিয়ে কম পৰিমাণৰ সঞ্চয় অথবা বৃহৎ পৰিমাণৰ বাজেট সৃষ্টিত অৰিহণা যোগায় তেন্তে সেই দেশৰ দীৰ্ঘকালীন সম্ভাৱনাৰ প্ৰতি চিন্তিত হোৱাৰ প্রয়োজন হয়। বাজেট ঘাটিয়ে বৃহৎ পৰিমাণৰ চৰকাৰী অথবা বেচৰকাৰী ভোগক প্ৰতিফলিত কৰে। এনে পৰিস্থিতিত উন্নয়ন যথেষ্ট পৰিমাণে বৃদ্ধি কৰিবলৈ দেশত মূলধন মজুতৰ পৰিমাণ দ্রুত হাৰত বৃদ্ধি নহয়, কাৰণ দেশে ঋণ পৰিশোধ কৰিবলগীয়া হয়। ইয়াৰ বিপৰীতে বাণিজ্যৰ ঘাটিয়ে যদি বিনিয়োগ বৃদ্ধিক প্রতিবিম্বিত কৰে, তেতিয়া চিন্তাৰ কাৰণ বেছিকৈ নাথাকে। কাৰণ বৰ্ধিত বিনিয়োগে অতি শীঘ্ৰে মূলধন মজুতকৰণত অৰিহণা যোগায় আৰু ভৱিষ্যতে উৎপাদন বৃদ্ধিৰ পথ সুগম কৰে।
প্রশ্ন ১৩। মুদ্ৰাৰ অৱমূল্যায়ন আৰু মুদ্ৰাৰ বহিঃমূল্যৰ হ্ৰাসকৰণৰ মাজত পার্থক্য দেখুওৱা?
উত্তৰঃ মুদ্ৰাৰ অৱমূল্যায়ন হ’ল যেতিয়া এখন দেশৰ মুদ্ৰাৰ বৰ্হিমূল্য ইচ্ছানুসৰি চৰকাৰে হ্ৰাস কৰে তাকেই মুদ্ৰাৰ অৱমূল্যায়ন বুলি কোৱা হয়। উদাহৰণস্বৰূপে ধৰা হওক আমেৰিকাৰ ডলাৰ আৰু ভাৰতীয় টকাৰ বিনিময় হাৰ আছিল $ 1 = Rs 8। যদি আমেৰিকাৰ ডলাৰৰ লগত বিনিময় মূল্য 1 = Rs 10 কৰে তেন্তে ভাৰতৰ বৈদেশিক মুদ্ৰাৰ বিনিময় মূল্য 25% হ্রাস পাব। এইদৰে এখন দেশৰ মুদ্ৰাৰ বৰ্হিমুলা চৰকাৰীভাৱে বৃদ্ধি কৰা হয় তাকেই মুদ্ৰাৰ অৱমুল্যায়ন বোলে।
আনহাতে যেতিয়া এখন দেশৰ ঘৰুৱা মুদ্ৰা বৈদেশিক মুদ্ৰাৰ তুলনাত কম ব্যয়বহুল হয় অৰ্থাৎ ঘৰুৱা মুদ্ৰাৰ মূল্য হ্রাস হয় তাক মুদ্ৰাৰ বহিঃমূল্যায়ন হ্ৰাস হোৱা বুজায়। মুদ্ৰাৰ বহিঃমূল্য হ্রাস হ’লে আমদানিৰ চাহিদা হ্রাস হয় আৰু ৰপ্তানিৰ চাহিদা বৃদ্ধি হয়।
(গ) চমু উত্তৰৰ প্ৰশ্নাৱলী:
প্রশ্ন ১। মুক্ত অর্থনীতি আৰু বন্ধ অৰ্থনীতিৰ মাজৰ পাৰ্থক্য নিৰূপণ কৰা।
উত্তৰঃ
| মুক্ত অর্থনীতি | বন্ধ অর্থনীতি | 
| (i) এনে অর্থনীতিত এখন দেশে আন এখন দেশৰ লগত অবাধ গতিত বাণিজ্য আৰু লেনদেন কৰিব পাৰে। | এনে অর্থনীতিত বেলেগ দেশৰ লগত বৈদেশিক বাণিজ্য আৰু লেনদেন নাথাকে। | 
| (ii) বিভিন্ন দেশৰ লগত অর্থনৈতিক স্ব-নিৰ্ভৰশীলতা থাকে। | ইয়াত বেলেগ দেশৰ লগত কোনো নিৰ্ভৰ নকৰে। | 
| (iii) বৈদেশিক বিনিময় হাৰৰ দ্বাৰা লেনদেন নকৰে। | বন্ধ অর্থনীতিত মৌদ্রিক আৰু ৰাজস্ব নীতি অর্থনৈতিক কৰ্তৃপক্ষই নিয়ন্ত্ৰণ কৰে। | 
| (iv) চৰকাৰ হস্তক্ষেপ থাকে। | চৰকাৰৰ কোনো হস্তক্ষেপ নাথাকে। | 
প্রশ্ন ২। পৰিশোধ সমতাৰ দুটা মূল হিচাপ ব্যাখ্যা কৰা।
উত্তৰঃ (i) চলিত হিচাপ।
(ii) মূলধনী হিচাপ।
চলিত হিচাবত এখন দেশৰ দ্ৰব্য আৰু সেৱাৰ মাধ্যমত হোৱা সকলো ধৰণৰ আমদানি আৰু ৰপ্তানিৰ লগতে হস্তান্তৰ পৰিশোধসমূহ অন্তর্ভুক্ত কৰা হয়। চলিত হিচাপত দ্ৰব্যৰ ভিতৰত চাউল, ঘেহুৰ দৰে দৃশ্যমান দ্ৰব্যৰ আমদানি আৰু ৰপ্তানি অন্তর্ভুক্ত হয়। আৰু অদৃশ্যমান বাণিজ্য সেৱাত উপাদান আয় আৰু অনা উপাদান আয়ক অন্তর্ভুক্ত কৰা হয়। ইয়াৰোপৰি এখন দেশৰ বাসিন্দা আৰু অবাসিন্দাসকলৰ মাজত হোৱা হস্তান্তৰ পৰিশোধ অন্তর্ভুক্ত কৰা হয়।
মূলধনী হিচাপত হ্রস্বকালীন আৰু দীর্ঘকালীন ঋণ আৰু ব্যক্তিগত আৰু চৰকাৰী বিনিয়োগৰ বিত্তীয় সম্পত্তিৰ লেন-দেনেৰে মূলধনী হিচাবে গঠিত হয়। এই হিচাবত চৰকাৰী ৰিজাৰ্ভৰ এছেটো অন্তর্ভুক্ত হয়। দীর্ঘকালীন মূলধনী লেনদেনৰ মূলধন, প্রত্যক্ষ বিনিয়োগ বিদেশী অংশপত্ৰ আৰু আন্তর্জাতিক ঋণসমূহ সামৰি লয়।
প্রশ্ন ৩। স্বায়ত্ত তথা সুচলকৃত লেনদেন আৰু পৰিশোধ সমতাৰ মাজৰ পাৰ্থক্য দেখুওৱা।
উত্তৰঃ স্বায়ত্ব তথা সুচলকৃত লেনদেন আৰু পৰিশোধ সমতাৰ মাজত পাৰ্থক্যসমূহ হ’ল—
| সুচলকৃত লেনদেন | পৰিশোধ সমতা | 
| (i) চৰকাৰে পৰিশোধ সমতাৰ সুবিধাৰ বাবে লোৱা ব্যৱস্থাক সুচলকৃত লেনদেন বোলে। | (i) দেশখনত উৎপাদিত দ্ৰব্য আৰু সেৱাৰ প্ৰণালীবদ্ধ হিচাব। | 
| (ii) দেশখনৰ আন্তঃৰাষ্ট্ৰীয় লেনদেনৰ হিচাবৰ পৰিণতি সম্পাদিত হয়। | (ii) চলিত হিচাব আৰু মূলধনী হিচাবৰ সকলো প্ৰকাৰৰ লেনদেনৰ হিচাব অন্তর্ভুক্ত থাকে। | 
| (iii) স্বায়ত্ব লেনদেনৰ প্ৰকৃত ফলাফলৰ দ্বাৰা সুচলকৃত লেনদেন নির্ধাৰণ কৰা হয়। | (iii) আন্তঃৰাষ্ট্ৰীয় বাণিজ্যৰ দেনা আৰু পাওনাৰ হিচাব অন্তর্ভুক্ত থাকে। নিয়ন্ত্রণ কৰে। | 
প্রশ্ন ৪। বিনিময়ৰ নমনীয় হাৰ নিৰ্ধাৰণত কল্পনা প্রসুত ভূমিকা ব্যাখ্যা কৰা।
উত্তৰঃ বিনিময়ৰ নমনীয় হাৰ নিৰ্ধাৰণত কল্পনাপ্রসূত অভিপ্ৰায়ৰ এক উল্লেখনীয় ভূমিকা আছে। কল্পনা প্রসূতৰ অৰ্থ হ’ল লাভৰ প্ৰত্যাশা। এখন দেশে আন এখন দেশৰ লগত লেনদেনৰ মূল মাধ্যম হ’ল বিনিময় হাৰ। যদি বৰ্তমানতকৈ ভৱিষ্যতে সাম্ভাব্য বিনিময় হাৰ বেছি হয়। বৈদেশিক বিনিময় বজাৰত বৈদেশিক মুদ্রা অধিক ক্ৰয় কৰি ভৱিষ্যতে তাৰ পৰা অধিক লাভ কৰিব। বৰ্তমানৰ অধিক মুদ্ৰা ক্ৰয়ে বৈদেশিক মুদ্ৰাৰ চাহিদা বৃদ্ধি কৰিব। লাভৰ কল্পনাপ্রসুত বিনিময় হাৰত প্ৰভাৱ পেলায়। উদাহৰণস্বৰূপে যদি বৰ্তমানৰ এক পাউণ্ডৰ বাবে বিনিময় হাৰ 70 টকা নিৰ্ধাৰিত হয় আৰু বছৰটোৰ শেষত যদি 90 টকা হয় তেতিয়া বৰ্তমান 70,000 টকাৰে 1000 পাউণ্ড দ্রব্য ক্রয় কৰে মাহটোৰ শেষত 90 টকা বিনিময়ত 20,000 টকা লাভ কৰিবলৈ সম্ভৱ হ’ব। গতিকে এনে প্রত্যাশাই পাউণ্ডৰ চাহিদা বৃদ্ধি কৰিব যাক লাভৰ দ্বিগুণ বুলি কোৱা হয়।
প্রশ্ন ৫। বিনিময় হাৰ নিৰ্ধাৰণত সুত্ৰৰ হাৰৰ তাৎপৰ্য ব্যাখ্যা কৰা।
উত্তৰঃ বিনিময় হাৰ নিৰ্ধাৰণত সুত্ৰৰ হাৰৰ এক বিশেষ তাৎপর্য আছে। হ্রস্বকালত দুখন দেশৰ মাজত সুদৰ হাৰৰ পাৰ্থক্যই বিনিময় হাৰ নিৰ্ধাৰণত প্রভাব পেলায়। সকলো ব্যক্তি প্রতিষ্ঠানে, বেংক, MNC কোম্পানী আদিৰ মূল লক্ষ্য হ’ল পুঁজিবোৰৰ সুদৰ হাৰৰ সৰ্ব্বোচ্চ। সুদৰ হাৰৰ পাৰ্থক্যই বিনিময় হাৰক প্ৰভাৱিত কৰে তাক তলত দিয়া উদাহৰণৰ সহায়ত বুজোৱা হৈছে। ধৰাহওক দুখন দেশৰ মাজত মূলধন প্রবাহত কোনো বাধা নাই আমেৰিকাৰ প্ৰতিজ্ঞাপত্ৰ ক্ৰয় কৰিবলৈ আগ্রহী হ’ব। গতিকে U.S.A ৰ পৰা ভাৰতলৈ মূলধনৰ প্ৰৱাহ ঘটিব। তাৰ টকা ক্ৰয় কৰিবলৈ ডলাৰ টকালৈ পৰিৱৰ্ত্তন কৰিব। গতিকে বৈদেশিক বিনিময় বজাৰত ডলাৰৰ যোগান বৃদ্ধি পাব।
প্রশ্ন ৬। এটা অৰ্থনীতিৰ বিকাশত বাণিজ্য ঘাটি অনিষ্টকাৰী নেকি? ব্যাখ্যা কৰা।
উত্তৰঃ অর্থনৈতিক বিকাশত বাণিজ্যিক ঘাটি অনিষ্টকাৰী। এখন দেশে অন্যান্য দেশৰ লগত বৈদেশিক বাণিজ্য সম্পাদন কৰোতে ৰপ্তানি মূল্যতকৈ আমদানিকৃত মূল্যৰ বাবে অধিক মুদ্রা দেনা হয়। তেতিয়া দেশখনে বাণিজ্যিক ঘাটিৰ সন্মুখীন হয়। অর্থাৎ যেতিয়া পাওনাতকৈ দেনা অধিক হয় তেতিয়াই বাণিজ্যিক ঘাটি হয়।
বিভিন্ন কাৰণত এখন দেশে বাণিজ্যিক ঘাটিৰ সম্মুখীন হয়। ৰপ্তানিকৃত সামগ্ৰীৰ চাহিদা হ্রাস বৈদেশিক বিনিময় হাৰৰ পৰিৱৰ্ত্তন, মুদ্রাস্ফীতি আদি। গতিকে বাণিজ্যিক ঘাটিয়ে এখন দেশত প্ৰভাৱ পেলোৱা কাৰণসমূহ হ’ল আয়ৰ পৰিমাণ কম, বৈদেশিক পৰিশোধ, বৈদেশিক ঋণৰ পৰিমাণ বৃদ্ধি আদি। গতিকে বাণিজ্যিক ঘাটি অনিষ্টকাৰক।
প্রশ্ন ৭। মুদ্ৰাৰ বহির্মূল্য হ্রাস বা মুদ্ৰাৰ বহির্মূল্য বৃদ্ধিৰ পাৰ্থক্য লিখা।
উত্তৰঃ (ক) যেতিয়া এখন দেশৰ ঘৰৱা মুদ্ৰা বৈদেশিক মুদ্ৰাৰ তুলনাত কম ব্যয়বহুল হয়,অৰ্থাৎ ঘৰুৱা মুদ্ৰাৰ মূল্য হ্রাস হ’লে তাক মুদ্ৰাৰ বহির্মূল্য বোলে। আনহাতে এখন দেশৰ ঘৰুৱা মুদ্রা বৈদেশিক মুদ্ৰাৰ মানত বেছি ব্যয়বহুল হ’লে ইয়াৰ মুদ্ৰাৰ বহির্মূল্য বৃদ্ধি হোৱা বোলে।
(খ) মুদ্ৰাৰ বহির্মূল্য হ্রাস হ’লে আমদানিৰ চাহিদা হ্রাস হয় আৰু ৰপ্তানিৰ চাহিদা বৃদ্ধি হয়।আনহাতে মুদ্ৰাৰ বহির্মূল্য বৃদ্ধিয়ে আমদানির চাহিদা বৃদ্ধি কৰে আৰু ৰপ্তানিৰ চাহিদা হ্রাস কৰে।
প্রশ্ন ৮। বিনিময় হাৰ নিৰ্ধাৰণৰ ক্ষেত্ৰত আয়ৰ তাৎপৰ্য ব্যাখ্যা কৰা।
উত্তৰঃ যেতিয়া ব্যক্তিৰ আয়ৰ পৰিমাণ বাঢ়ে তেতিয়া তেওঁলোকৰ পৰিমাণো বৃদ্ধি হয়। এনে অৱস্থাত আমদানিকৃত বস্তুৰ ওপৰত কৰা বায়ৰ পৰিমাণো স্বভাৱতে বাঢ়ে। আকৌ যেতিয়া আমদানি বৃদ্ধি হয়, তেতিয়া বৈদেশিক মুদ্ৰাৰ চাহিদাৰেখা সোঁফালে পৰিৱৰ্তন বা স্থানান্তৰ হয়। এনে অৱস্থাত ঘৰৱা মুদ্ৰাৰ বহির্মূল্য হ্রাস পায়। আকৌ, যদি কোনো কাৰণত বৈদেশিক আয় বাঢ়ে, তেন্তে ঘৰুৱা ৰপ্তানিৰ পৰিমাণ বৃদ্ধি হ’ব আৰু বৈদেশিক মুদ্ৰাৰ যোগানৰেখা সোঁহাতে পৰিৱৰ্তন হ’ব। উল্লেখযোগ্য যে ভাৰসাম্য অৱস্থাত ঘৰৱা মুদ্ৰাৰ বহির্মূল্য হ্রাস হ’বও পাৰে অথবা নহ’বও পাৰে। ঘৰুৱা মুদ্ৰাৰ বহিৰ্মূল্য হ্রাস হ’ব নে বৃদ্ধি হ’ব সেইটো আচলতে নিৰ্ভৰ কৰে আমদানিৰ পৰিমাণৰ তুলনাত ৰপ্তানিৰ পৰিমাণ দ্রুত হাৰত বৃদ্ধি হৈছে নে নাই তাৰ ওপৰতহে। সাধাৰণতে,আন সকলো বিষয় অপৰিবৰ্তিত অৱস্থাত থকা বুলি ধৰি ল’লে, এখন দেশ যাৰ সামগ্রিক চাহিদা বিশ্বৰ আন আন দেশতকৈ দ্রুত হয়, তেনে দেশৰ মুদ্ৰাৰ বহির্মূল্য হ্রাস পায়। কাৰণ এনে দেশৰ আমদানিৰ পৰিমাণ ৰপ্তানিৰ পৰিমাণতকৈ অধিক হাৰত বৃদ্ধি হয়। সেয়েহে এই দেশৰ বৈদেশিক মুদ্ৰাৰ চাহিদা ৰেখা ইয়াৰ যোগান ৰেখাতকৈ দ্রুত হাৰত পৰিবৰ্তন হয়।
প্রশ্ন ৯। পৰিবৰ্তনশীল বিনিময় হাৰ আৰু পৰিচালিত ভাসমান বিনিময় হাৰৰ ক্ষেত্ৰত কেন্দ্ৰীয় বেংকৰ ভূমিকা চমুকৈ বাখ্যা কৰা।
উত্তৰঃ পৰিৱৰ্তনশীল বিনিময় হাৰ ব্যৱস্থাত বিনিময় হাৰ বজাৰ চাহিদা আৰু বজাৰ যোগান শক্তিৰ দ্বাৰা নিৰ্ধাৰণ কৰা হয়। এটা সম্পূৰ্ণৰূপে পৰিৱৰ্তনশীল বিনিময় হাৰ ব্যৱস্থাত কেন্দ্রীয় বেংকবোৰে কিছুমান সৰল নিয়মাৱলী অনুসৰণ কৰে আৰু এই বেংকবোৰে বিনিময় হাৰৰ স্তৰক প্ৰত্যক্ষভাবে প্ৰভাৱান্বিত কৰিবলৈ কোনো ব্যৱস্থা গ্ৰহণ নকৰে। অৰ্থাৎ কেন্দ্ৰীয় বেংকৰ বৈদেশিক মুদ্ৰাৰ বজাৰত কোনো হস্তক্ষেপ নাথাকে আৰু সেই কাৰণে এই বেংকবোৰত কোনো জমা লেন-দেন নাথাকে।

আনহাতে পৰিচালিত ভাসমান বিনিময় হাৰ ব্যৱস্থাত কেন্দ্ৰীয় বেংকবোৰে বৈদেশিক মুদ্ৰাৰ ক্ৰয় আৰু বিক্ৰীৰ ওপৰত হস্তক্ষেপ কৰে আৰু চলায়। অৱশ্যে হস্তক্ষেপ কৰাৰ যথোপযুক্ত কাৰণ থাকিলেহে কেন্দ্ৰীয় বেংকে তেনে পদক্ষেপ গ্ৰহণ কৰে। এনেবোৰ ব্যৱস্থাৰ বাবে চৰকাৰী জমা লেন-দেনবোৰ শূন্যৰ সমান নহয়।
প্রশ্ন ১০। এখন মুক্ত অর্থনীতিত ভাৰসাম্য আয় নিৰ্ধাৰণ ক্ষেত্ৰত আমদানি আৰু ৰপ্তানিৰ ভূমিকা ব্যাখ্যা কৰা।
উত্তৰঃ মুক্ত অৰ্থনীতিত আমদানি আৰু ৰপ্তানিৰ ব্যৱস্থা থাকে। আমদানি আৰু ৰপ্তানিৰ সম্পৰ্কটোক সমীকৰণটোৰে প্ৰকাশ কৰিলে হ’ব — Y = C + I + G + X – M, য’ত X হ’ল ৰপ্তানি আৰু M হ’ল আমদানি। আমদানিতকৈ ৰপ্তানিৰ পৰিমাণ বৃদ্ধি পালে যি পার্থক্য দেখা যায় সিয়ে প্ৰকৃত ৰপ্তানি। এনে অৱস্থাত আন্তর্জাতিক লেন-দেনৰ ক্ষেত্ৰত বাণিজ্যিক ৰাহিয়ে দেখা দিব। একেদৰে ৰপ্তানিৰ তুলনাত আমদানিৰ পৰিমাণ অধিক হ’লে আন্তর্জাতিক লেন- দেনৰ ক্ষেত্ৰত বাণিজ্যিক ঘাটিৰ সৃষ্টি হ’ব। মুক্ত অৰ্থনীতিত ভাৰসাম্য আয় নিৰ্ধাৰণত বিনিয়োগ আৰু চৰকাৰী ব্যয়ক স্বতন্ত্ৰ হিচাপে গণ্য কৰা হয়। আমদানিৰ চাহিদা ঘৰুৱা আয় আৰু প্ৰকৃত বিনিময় হাৰৰ ওপৰত ঋণাত্মকভাৱে নিৰ্ভৰ কৰে। আকৌ ৰপ্তানিৰ হাৰ নিৰ্ভৰ কৰে বৈদেশিক আয় আৰু প্ৰকৃত বিনিময় হাৰৰ ওপৰত ধনাত্মকভাৱে। মূল্যস্তৰ আৰু মুদ্ৰাগত বিনিময় হাৰ স্থিৰ বুলি ধৰিলে প্ৰকৃত বিনিময় হাৰ স্থিৰ হয়।
(ঘ) দীঘলীয়া প্ৰশ্নোত্তৰঃ
প্রশ্ন ১। নমনীয় বিনিময় হাৰ ব্যৱস্থাত বিনিময় হাৰ কিদৰে নিৰ্ধাৰণ কৰা হয়? ব্যাখ্যা কৰা।
উত্তৰঃ বিনিময় হাৰ নিৰ্ধাৰণ প্ৰধানকৈ দুটা ভাগত কৰা হয়।
(i) স্থিৰ বিনিময় হাৰ।
(ii) পৰিৱৰ্ত্তনশীল বিনিময় হাৰ।
বিনিময় হাৰ নির্ধাৰণ ব্যৱস্থাত আনখন দেশৰ মুদ্ৰাৰ মানত এখন দেশৰ মুদ্ৰাৰ মূল্যৰ মুকলি ভাৱে পৰিবৰ্ত্তন হ’ব পাৰে আৰু চাহিদা আৰু যোগানৰ ভাৰসাম্য হয়। তাতেই বিনিময় হাৰ নির্ধাৰণ হয়। তলত চিত্ৰৰ দ্বাৰা পৰিবর্তশীল বা নমনীয় বিনিময় হাৰ ব্যৱস্থাত বিনিময় হাৰ নিৰ্ধাৰণ দেখুওৱা হৈছে।
চিত্ৰত DD₁ চাহিদা ৰেখা আৰু SS₁ হৈছে। যোগান ৰেখা ডলাৰৰ কাৰণে ব্যৱহাৰ কৰা হৈছে। DD₁ আৰু R₁ SS₁ ৰেখাই E বিন্দুত কটাকটি কৰিছে তাতেই বিনিময় হাৰ নিৰ্ধাৰণ কৰা হৈছে, যেতিয়া দৰ স্তৰ বৃদ্ধি হৈছে “R₁ ” ত চাহিদা হ্রাস পাইছে। আকৌ S₁ বৃদ্ধি পাইছে ঠিক তেনেদৰে R₂ যেতিয়া হ্ৰাস পাইছে তেতিয়া SS₁ কমি গৈছে D₁ বাঢ়ি গৈছে। গতিকে DD₁ আৰু SS₁ পৰিৱৰ্ত্তন হৈছে।
গতিকে E বিন্দুত SS আৰু DD₁ ৰেখাই কটা-কটি কৰিছে তাতেই বিনিময় হাৰ নিৰ্ধাৰণ হৈছে।
প্রশ্ন ২। নমনীয়া বিনিময় হাৰ ব্যৱস্থাৰ অধীনত বিনিময় হাৰৰ বিভিন্ন নিৰ্ধাৰকবোৰ চমুকৈ ব্যাখ্যা কৰা।
উত্তৰঃ নমনীয় পৰিৱৰ্তনশীল বিনিময় হাৰৰ বিভিন্ন নিৰ্ধাৰকসমূহ হ’ল:
1. চাহিদাজনিত বিনিময় হাৰৰ উপাদানসমূহ যেনে-
(a) আমদানিকৃত দ্ৰব্য আৰু সেৱা সমূহ যিবোৰ দ্ৰব্য আৰু সেৱাৰ আমদানিৰ বাবে আৱশ্যক তেনেবোৰে বৈদেশিক বিনিময়ৰ চাহিদাৰ সৃষ্টি কৰে।
(b) বৈদেশিক সম্পত্তি (Asset) ক্রয়ৰ বৈদেশিক বিনিময় অর্থাৎ ভাৰতে বিদেশত বিল্ডিং, চেয়াৰ, bond, ভূমি আদি সম্পত্তি যদি বৈদেশিক মুদ্ৰাৰে ক্ৰয় কৰিব বিচাৰে ই বৈদেশিক বিনিময়ৰ কাৰণে চাহিদাৰ সৃষ্টি কৰে।
(c) বিদেশলৈ কোনো উপহাৰ পঠিয়াই বৈদেশিক বিনিময় সঞ্চয় কৰে।
2. যোগানজনিত বৈদেশিক বিনিময়ৰ উপাদানসমূহ হ’ল :
(a) বিদেশলৈ ৰপ্তানি সামগ্রী যোগান।
(b) বৈদেশিক বিনিময়ৰ দ্বাৰা ঘৰুৱা দেশত বিনিয়োগ কৰা।
(c) বিদেশৰ পৰা পোৱা উপহাৰ আদিৰ বৈদেশিক মুদ্ৰাৰ যোগান।
(d) আন্তর্জাতিক লেনদেনৰ পৰা প্ৰাপ্তি লাভ।
এনেবোৰ উপাদানৰ পৰা নমনীয় বিনিময় হাৰ পদ্ধতিত বিনিময় হান নিৰ্ধাৰণ কৰা হয়।
প্রশ্ন ৩। বৈদেশিক বাণিজ্যৰ ক্ষেত্ৰত নমনীয় বৈদেশিক বিনিময় হাৰ আৰু স্থিৰ বৈদেশিক বিনিময় হাৰৰ পাৰ্থক্য নিৰূপণ কৰা।
উত্তৰঃ
| পৰিৱৰ্তনশীল বিনিময় হাৰ | স্থিৰ বিনিময় হাৰ | 
| (i) বিনিময় হার চাহিদা আৰু হাৰ নিৰ্ধাৰণ কৰা হয়। | (i) কেন্দ্রীয় বেংকে বৈদেশিক বিনিময়হাৰ নিৰ্ধাৰণ কৰে। | 
| (ii) বৈদেশিক বিনিময় হাৰৰ পৰিৱৰ্তনৰ চাহিদা আৰু যোগান বৈদেশিক বজাৰে নিৰ্ধাৰণ কৰে। | (ii) ইয়াত বিনিময় হাৰ এক নির্দিষ্ট সময়ৰ বাবে স্থিৰ থাকে। | 
| (iii) কেন্দ্রীয় বেংকে পৰিবৰ্তনশীল বিনিময় হাৰত কোনো হস্তক্ষেপ কৰিব নোৱাৰে। | (iii) কেন্দ্রীয় বেংকে বা চৰকাৰে বিনিময় হাৰ নিৰ্ধাৰণ বা নিয়ন্ত্রণ নিয়ন্ত্ৰণ কৰে। | 
প্রশ্ন ৪। বৈদেশিক বিনিময় বজাৰত বৈদেশিক মুদ্ৰাৰ ভাৰসাম্য দাম কিদৰে নিৰ্ধাৰণ কৰা হয় ব্যাখ্যা কৰা।
উত্তৰঃ পৰিৱৰ্তনশীল বিনিময় হাৰ ব্যৱস্থাত বৈদেশিক মুদ্ৰাৰ দুই ধৰণৰ পৰিৱৰ্তন হ’ব পাৰে।
(i) মুদ্ৰাৰ বহির্মূল্য হ্রাস।
(ii) মুদ্ৰাৰ বহির্মূল্য বৃদ্ধি। বৈদেশিক মুদ্ৰাৰ বহির্মূল্য হ্রাস হোৱা অৱস্থাটোক মুদ্ৰাৰ সংকোচন বুলি কোৱা হয়।

চিত্ৰত DD ৰেখাই বৈদেশিক মুদ্ৰাৰ চাহিদা আৰু SS ৰেখাই সেই মুদ্ৰাৰ যোগান বুজাইছে। DD ৰেখাডাল বাঁওফালৰ পৰা সৌপিনে ঢাল খোৱা। ইয়াৰ কাৰণ হ’ল বৈদেশিক বিনিময়যোগ্য মুদ্ৰাৰ দাম বৃদ্ধি, হ’লে বিদেশত উৎপাদিত সামগ্রী ক্রয় কৰোঁতে অধিক পৰিমাণৰ দেশীয় মুদ্রা খৰচ কৰিব লাগিব। গতিকে আমদানি কমি মুদ্ৰাৰ চাহিদাও কমি যাব। মুদ্ৰাৰ যোগান বৃদ্ধি হ’ব লাগিলে দেশৰ ভিতৰত উৎপাদিত সামগ্ৰীৰ বৈদেশিক চাহিদা স্থিতিস্থাপকতা এককতকৈ অধিক হ’ব লাগিব। ৰপ্তানিৰ জৰিয়তে অৰ্জন কৰা বৈদেশিক মুদ্ৰাৰ পৰিমাণ বৃদ্ধি হ’ব। চিত্ৰত E বিন্দুত বৈদেশিক বিনিময়যোগ্য মুদ্ৰাৰ চাহিদা আৰু যোগান সমান হৈছে। গতিকে E ভাৰসাম্য বিন্দুত Or হ’ল ভাৰসাম্য বিনিময় হাৰ। মুদ্ৰাৰ চাহিদা বৃদ্ধি হোৱাত নতুন চাহিদা ৰেখা DD হ’ল।” অপৰিৱৰ্তিত যোগানৰ বাবে DD’ যে E বিন্দুত কটাকটি কৰে। নতুন ভাৰসাম্য বিনিময় হাৰ হ’ব। সেইদৰে বৈদেশিক বিনিময়যোগ্য মুদ্ৰাৰ চাহিদা হ্রাস পালে যোগান অপৰিৱৰ্তিত অৱস্থাত নতুন ভারসাম্য বিন্দু ‘E’ হ’ব আৰু ভাৰসাম্য বিনিময় হাৰ ‘r’ হ’ব।
এনেদৰে বৈদেশিক মুদ্ৰাৰ মূল্য হ্রাস-বৃদ্ধিৰ মূলতে হ’ল মুদ্ৰাৰ চাহিদাৰ পৰিৱৰ্তন। ফলত ভাৰসাম্য অৱস্থাৰো পৰিৱৰ্তন ঘটে।
প্রশ্ন ৫। ধৰা হ’ল এখন অর্থনীতিত প্রদত্ত উপভোগ কার্য হ’ল C = 60 + 0.7y; চৰকাৰী ব্যয় (G) = 50; ৰপ্তানি (x) = 80; চৰকাৰী কৰ ৰাজহ (T) = 60 আৰু আমদানি (M) = 50 + 0.10y, , এতিয়া
(ক) সেই অৰ্থনীতিৰ আয়ৰ ভাৰসাম্য স্তৰ নিৰূপণ কৰা।
উত্তৰঃ দিয়া আছে, C = 60 + 0.7y;
G = 50;
x = 80;
T = 60
M = 50 + 0.10y
ভাৰসাম্য আয় = y = C + G + (x – M )
⇒ 60 + 0.7y + 50 + 80 – 50 – 0.10y
⇒ y = 140 + 0.60y
⇒ y – 0.60y – 140
⇒ 0.404 = 140
⇒ y = 140/0.40
= 350
∴ T = 60
∴ Y = 350 + 60
= 410
(খ) ভাৰসাম্য আয়ত সৰ্বমুঠ ৰপ্তানি নিৰ্ণয় কৰা।
উত্তৰঃ দিয়া আছে, C = 60 + 0.7y
G = 50
x = 80
T = 60
M = 50 + 0.10y
নিগুট ৰপ্তানি Nx = X – M = 80 ( 50 + 0.10y)
= 80 – 50 – 0.10 + 410
( Y = 410 বহুৱাই)
= 80 – 50 – 41
= – 11
∴ বাণিজ্য ঘাটিৰ সৃষ্টি হৈছে।
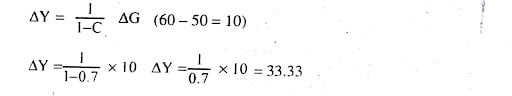
(গ) চৰকাৰী ক্ৰয় 50ৰ পৰা 60 লৈ বৃদ্ধি হোৱাৰ সময়ত ভাৰসাম্য আয় আৰু সৰ্বমুঠ ৰপ্তানি সমতাত কি হ’ব নিৰ্ণয় কৰা।
উত্তৰঃ দিয়া আছে, C = 60 + 0.7y
G = 50
x = 80
T = 60
M = 50 + 0.10y
যদি চৰকাৰী ব্যয় 50 ৰ 50 লৈ বৃদ্ধি হয়।

∴ মুঠ ভাৰসাম্য আয় হ’ল = 410 + 33.33
= 443.33
প্রশ্ন ৬। ধৰাহ’ল এখন অর্থনীতিত প্রদত্ত উপভোগ কার্য হ’ল C = 200 + 0.7y, বিনিয়োগ (I) = 600, চৰকাৰী ব্যয় (G) = 700, ৰপ্তানি (x) = 120 আৰু আমদানি (M) = 80 + 025y, আকৌ চৰকাৰে আয়ৰ ওপৰত 20% কৰ আৰোপ কৰিলে। এতিয়া
(ক) আয়ৰ ভাৰসাম্য স্তৰ নিৰূপণ কৰা।
উত্তৰঃ দিয়া আছে, C = 200 + 0.7y
I = 600
G = 700
T = 20% or 0.20y
X = 120
M = 80 + 025y
∴ y = C + I + G + X – Y
⇒ y = 200 + 0.7y + 600 + 700 + 120 80 – 0.25y
⇒ y = 1620 – 80 + 0.7y – 0.25y
⇒ y = 1580 + 0.45y
⇒ y – 0.45y – 1580
⇒ y = 1580/0.55
= 2872.73
(খ) বাজেট ঘাটি উদ্বৃত্ত উলিওৱা আৰু ব্যাখ্যা কৰা।
উত্তৰঃ দিয়া আছে, C = 200 + 0.7y
I = 600
G = 700
T = 20% or 0.20y
X = 120
M = 80 + 025y
এতিয়া
T = 0.20y
⇒ T = 0.20 x 2872.73
= 574.55
∴ Y̅ = y + T
= 2872.73 + 574.55
বাজেট ঘাটি = G – T
= 700 – 574.55
= 125.45
প্রশ্ন ৭। লেন-দেনৰ সমতাৰ ভাৰসাম্যহীনতাৰ 4 টা কাৰণ লিখা।
উত্তৰঃ (i) উচ্চ উন্নয়নমূলক ব্যয়: উন্নয়নশীল দেশবোৰত বিকাশ প্ৰক্ৰিয়াটো আৰম্ভ কৰোঁতে নানান যন্ত্রপাতি, কেঁচাসামগ্ৰী আদি আমদানি কৰিবলগীয়া হয়। ফলত আমদানিৰ খৰচ বৃদ্ধি আৰু লেনদেনৰ সমতাৰ ভাৰসাম্যহীনতাই দেখা দিয়ে।
(ii) জনসংখ্যা বৃদ্ধি: অত্যধিক জনসংখ্যা বৃদ্ধিও এখন দেশৰ লেন-দেনৰ সমতাৰ ভাৰসাম্যহীনতাই দেখা দিয়ে।
(iii) ৰুচি পৰিৱৰ্তনৰ বাবে হোৱা ৰপ্তানি হ্ৰাস: ৰপ্তানি ঘাইকৈ নিৰ্ভৰ কৰে বিদেশৰ বজাৰত থকা দ্রব্য চাহিদাৰ ওপৰত। কেতিয়াবা বিদেশী বজাৰত দ্ৰব্যৰ চাহিদা হ্রাস হয়। ফলত আমদানি অপৰিৱৰ্তনীয় হৈ থাকিলে লেন-দেনৰ সমতাৰ ভাৰসাম্যহীনতাই দেখা দিয়ে ৷
(iv) ঋণৰ বোজা বৃদ্ধি: উন্নয়নশীল দেশবোৰত ঋণৰ বোজা অধিক। এনেবোৰ দেশে ঋণ পৰিশোধৰ বাবে অধিক মাত্ৰাত উন্নত দেশবোৰলৈ পুঁজি হস্তান্তৰ কৰিবলগীয়া হয়। ফলত লেন-দেনৰ সমতাত ভাৰসাম্যহীনতাৰ সৃষ্টি হয়।

Hi! my Name is Parimal Roy. I have completed my Bachelor’s degree in Philosophy (B.A.) from Silapathar General College. Currently, I am working as an HR Manager at Dev Library. It is a website that provides study materials for students from Class 3 to 12, including SCERT and NCERT notes. It also offers resources for BA, B.Com, B.Sc, and Computer Science, along with postgraduate notes. Besides study materials, the website has novels, eBooks, health and finance articles, biographies, quotes, and more.



