Class 12 Economics Chapter 4 চৰকাৰী বাজেট আৰু অৰ্থনীতি Question Answer in Assamese Medium to each chapter is provided in the list so that you can easily browse throughout different chapter AHSEC Class 12 Economics Chapter 4 চৰকাৰী বাজেট আৰু অৰ্থনীতি Notes and select needs one.
Class 12 Economics Chapter 4 চৰকাৰী বাজেট আৰু অৰ্থনীতি
Also, you can read the SCERT book online in these sections Solutions by Expert Teachers as per SCERT (CBSE) Book guidelines. These solutions are part of SCERT All Subject Solutions. Here we have given Assamese Medium Class 12 Economics Chapter 4 চৰকাৰী বাজেট আৰু অৰ্থনীতি Solutions for All Subject, You can practice these here.
চৰকাৰী বাজেট আৰু অৰ্থনীতি
Chapter: 4
প্রথম খণ্ড: সমষ্টিবাদী অর্থবিজ্ঞান পৰিচয়
(ক) অতিচমু প্রশ্নোৰঃ
প্রশ্ন ১। অনা-কৰ ৰাজহৰ এটা উদাহৰণ দিয়া।
উত্তৰঃ মাছুল বা অনুদান, জৰিমণা।
প্রশ্ন ২। মূলধনী ব্যয়ৰ এটা উদাহৰণ দিয়া।
উত্তৰঃ অংশ পত্র বিনিয়োগ।
প্রশ্ন ৩। এখন চৰকাৰে কেতিয়া বাজেট ঘাটিৰ সৃষ্টি কৰে?
উত্তৰঃ যেতিয়া আয়তকৈ ব্যয়ৰ পৰিমাণ বেছি হয় তেতিয়া ঘাটি বাজেট প্রস্তুত কৰে।
প্রশ্ন ৪। ৰাজহ ঘাটি কি?
উত্তৰঃ চৰকাৰৰ ৰাজহ প্ৰাপ্তিৰ অতিৰিক্ত ৰাজহ ব্যয়ক ৰাজহ ঘাটি বুলি কোৱা হয়।
ৰাজহ ঘাটি = ৰাজহ ব্যয় ৰাজহ প্রাপ্তি।
প্রশ্ন ৫। ৰাজস্ব ঘাটি কি?
উত্তৰঃ ৰাজস্ব ঘাটি হৈছে চৰকাৰৰ ঋণ আৰু অন্যান্য দেনাৰ সমষ্টি ৰাজস্ব ঘাটি = মুঠ ব্যয় – ঋণ আৰু অন্যান্য দেনাক বাদ দি মুঠ প্রাপ্তি।
প্রশ্ন ৬। প্রাথমিক ঘাটি কি?
উত্তৰঃ ৰাজকোষীয় ঘাটিৰ পৰা সুদ পৰিশোধ বাদ দিলে প্রাথমিক ঘাটি পোৱা যায়।
প্রশ্ন ৭। চৰকাৰী বাজেট কি?
উত্তৰঃ চৰকাৰী বাজেট হ’ল এটা বিত্তীয় বছৰৰ সাম্ভাব্য আয় আৰু ব্যয়ৰ ওপৰত যুগুত কৰা এক প্রতিবেদন।
প্রশ্ন ৮। ৰাজস্ব নীতি কি?
উত্তৰঃ ৰাজস্ব নীতি হ’ল চৰকাৰৰ ব্যয়, ৰাজহ আৰু ঋণ নিয়ন্ত্ৰণ ব্যৱস্থাৰ মাধ্যমত যেতিয়া সম্পদৰ নিয়োগ আৰু পুঁজিৰ প্ৰৱাহ ঘটাই দেশৰ উপাৰ্জন, মূল্যস্তৰ, নিয়োগ আৰু উৎপাদন স্তৰৰ ওপৰত প্ৰভাৱ বিস্তাৰ কৰা হয় তাকেই ৰাজস্ব বা ৰাজকোষীয় নীতি বোলে ৷
প্রশ্ন ৯। শুদ্ধ নে অশুদ্ধ লিখা:
আয় কৰ এবিধ পৰোক্ষ কৰ।
উত্তৰঃ অশুদ্ধ।
প্রশ্ন ১০। খালী ঠাই পূৰণ কৰা।
ৰাজহ প্ৰাপ্তিতকৈ অধিক ৰাজহ ব্যয়ক কোৱা হয় ৰাজহ –।
উত্তৰঃ ঘাটি।
প্রশ্ন ১১। কৰ ৰাজহৰ এটা উদাহৰণ উল্লেখ কৰা।
উত্তৰঃ প্ৰত্যক্ষ কৰ।
প্রশ্ন ১২। সত্য-অসত্য লিখা—
(ক) ‘বিক্ৰী কৰ এবিধ প্ৰত্যক্ষ কৰা।
উত্তৰঃ অসত্য (পৰোক্ষ কৰ)
(খ) ‘প্ৰৱেশ কৰ এবিধ পৰোক্ষ কৰ’।
উত্তৰঃ সত্য।
প্রশ্ন ১৩। ৰাজহুৱা দ্ৰব্যৰ এটা উদাহৰণ দিয়া।
উত্তৰঃ ৰাজহুৱা উদ্যান।
প্রশ্ন ১৪। ৰাজহুৱা দ্ৰব্য কি?
উত্তৰঃ যিবোৰ দ্ৰব্য সমাজৰ সকলো লোকে সমানে উপভোগ কৰিব পাৰে আৰু চৰকাৰে যোগান ধৰে, তাকে ৰাজহুৱা দ্ৰব্য বোলে।
প্রশ্ন ১৫। বাজেট ঘাটি আৰু বাণিজ্যিক ঘাটিৰ সংজ্ঞা দিয়া?
উত্তৰঃ বাজেট ঘাটি হ’ল এখন দেশৰ চৰকাৰৰ ৰাজহ প্ৰাপ্তিৰ পৰিমাণ চৰকাৰী ব্যয়তকৈ অধিক হোৱা। আনহাতে বাণিজ্যিক ঘাটি হ’ল এখন দেশৰ আমদানিৰ মূল্য ৰপ্তানিৰ মূল্যতকৈ অধিক হোৱা।
প্রশ্ন ১৬। পৰিকল্পনা বহির্ভূত ব্যয়ৰ এটা উদাহৰণ দিয়া।
উত্তৰঃ প্ৰশাসনিক ব্যয়।
প্রশ্ন ১৭। খালী ঠাঁই পূৰ্ণ কৰা:
ডাকঘৰ সঞ্চয় হিচাপে হৈছে — ৰ এটা উদাহৰণ। (মূলধন প্রাপ্তি / মূলধন ব্যয়
উত্তৰঃ মূলধন প্রাপ্তি।
প্রশ্ন ১৮। ৰাজহ প্ৰাপ্তি আৰু মূলধনী প্ৰাপ্তিৰ মাজৰ দুটা পার্থক্য লিখা।
উত্তৰঃ ৰাজহ প্ৰাপ্তি আৰু মূলধনী প্ৰাপ্তিৰ মাজৰ দুটা পার্থক্য—
(i) ৰাজহ প্রাপ্তি পুনঃ পুনঃ চৰকাৰে লাভ কৰে। কিন্তু মূলধনী প্রাপ্তি কেতিয়াও পুনঃ পুনঃ চৰকাৰে লাভ কৰিব নোৱাৰে।
(ii) ৰাজহ প্ৰাপ্তিৰ হ্ৰস্বকালীন ফল জড়িত হৈ থাকে, কিন্তু মূলধনী প্ৰাপ্তিৰ প্রভাৱ দীর্ঘকালিন হৈ থাকে, কিন্তু মূলধনী প্রাপ্তিৰ প্রভাৰ দীর্ঘকালিন হয়।
প্রশ্ন ১৯। ভাৰতবৰ্ষত কোন চনৰ পৰা GST বলবৎ হৈছে?
উত্তৰঃ 1 জুলাই 2017 চনৰ পৰা।
প্রশ্ন ২০। ৰাজহ ব্যয় আৰু মূলধনী ব্যয়ৰ মাজৰ দুটা পার্থক্য লিখা।
উত্তৰঃ (ক) ৰাজহ ব্যয় হ’ল চৰকাৰৰ নিয়মীয়া বায়, আনহাতে মূলধনীজাতীয় প্ৰবাৰ ক্ষেত্ৰত হোৱা ব্যয়েই হ’ল মূলধনী ব্যয়।
(খ) ৰাজহ ব্যয় হ’ল হ্রস্বকালীন, কিন্তু মূলধনী ব্যয় হ’ল দীর্ঘকালীন।
প্রশ্ন ২১। পৰিমাণগত ঋণ নিয়ন্ত্রণ পদ্ধতিতকৈ নিৰ্বাচনমূলক ঋণ পদ্ধতিৰ দুটা শ্রেষ্ঠতাৰ দিশ উল্লেখ কৰা।
উত্তৰঃ (ক) নিৰ্বাচনমূলক ঋণ নিয়ন্ত্রণে অনুৎপাদনমূলক খণ্ডলৈ ঋণ নিদি পোনপটিয়াকৈ উৎপাদনমূলক খণ্ডলৈ ঋণ প্ৰদান কৰাত মুদ্রাস্ফীতি অথবা অৱস্ফীতিৰ সমস্যা সমাধানত অধিক সহায়ক হয়।
(খ) এই পদ্ধতিৰ জৰিয়তে প্ৰত্যক্ষভাৱে ভোক্তাৰ ঋণ নিয়ন্ত্ৰণ কৰি দেশৰ মুদ্রাস্ফীতি ৰোধ কৰাত সহায় কৰে।
প্রশ্ন ২২। FRBM Act ৰ সম্পূৰ্ণ নামটো লিখা।
উত্তৰঃ Fiscal Responsibility and Budget Management Act.
প্রশ্ন ২। ভাৰতবৰ্ষত কোন চনৰ পৰা FRBM Act বলৱৎ হৈছে?
উত্তৰঃ ২০০৩ চনৰ পৰা।
(খ) চমু প্রশ্নোত্তৰঃ
প্রশ্ন ১। ধৰাহলৈ মুঠ চৰকাৰী খৰচ G = 150 আৰু কৰ ৰাজহ T = 0.20Y । এতিয়া যদি ৰাষ্ট্ৰীয় আয়ৰ (y) স্তৰ 2000 হয়, তেন্তে চৰকাৰী বাজেটৰ চৰ্তটো কি?
উত্তৰঃ দিয়া আছে, y = 2000 G = 150 T= 0.20y
∴ কৰ ৰাজহ T = 0.20 (2000) = 400
গতিকে চৰকাৰী ব্যয় G = 150, T = 400 তকৈ সৰু সেয়েহে চৰকাৰী বাজেটখন ৰাহিবাজেট হ’ব।
প্রশ্ন ২। ৰাজহুৱা দ্ৰব্য আৰু ব্যক্তিগত দ্ৰব্যৰ মাজৰ পাৰ্থক্য নিৰূপণ কৰা।
উত্তৰঃ
| ৰাজহুৱা দ্ৰব্য | ব্যক্তিগত দ্রব্য | 
| (i) ৰাজহুৱা দ্ৰব্য চৰকাৰে নিয়ন্ত্ৰণ কৰে। | (i) ব্যক্তি বা কোনো ব্যক্তিগত প্রতিষ্ঠানেনিয়ন্ত্ৰণ কৰে। | 
| (ii) এনে দ্রব্যসমূহ সকলো লোকে উপভোগ কৰিব পাৰে। | (ii) কিন্তু ব্যক্তিগত উপভোগ কার্য উপভোক্তাৰ মাজত প্ৰতিদ্বন্দ্বিতা থাকে। | 
| (iii) সামাজিক কল্যাণৰ বাবে ৰাজহুৱা দ্রব্যসমূহ যোগান ধৰে। | (iii) ব্যক্তিগত লাভেই হ’ল মল উদ্দেশ্য। | 
প্রশ্ন ৩। চৰকাৰৰ আবণ্টন কার্য কি?
উত্তৰঃ আৱণ্টন কার্য মানে হ’ল – য’ত চৰকাৰে দেশৰ সম্পদসমূহ সঠিকভাৱে ব্যৱহাৰ কৰি অৰ্থনৈতিক আৰু সামাজিক উৎকৰ্ষ সাধন কৰে।
চৰকাৰৰ আৱণ্টন কাৰ্য্যসমূহ হ’ল – (ক) দেশৰ সামগ্ৰিক প্ৰতিৰক্ষা সুনিশ্চিত কৰা।
(খ) ৰাস্তা ঘাট নিৰ্ম্মাণ আৰু মেৰামতি।
(গ) চৰকাৰী প্ৰশাসনীয় কাম-কাজ আদি।
প্রশ্ন ৪। চৰকাৰৰ বিতৰণ কাৰ্য ব্যাখ্যা কৰা।
উত্তৰঃ চৰকাৰৰ বিতৰণ কাৰ্যসমূহ হ’ল —
(ক) চৰকাৰৰ আয়ৰ আৰু ব্যয়ৰ নীতিৰ দ্বাৰা আয়ৰ সম-বিতৰণ কৰা।
(খ) দেশৰ সম্পদৰ ব্যৱহাৰ কৰি অৰ্থনৈতিক সাধন কৰা।
(গ) কৰ সংগ্ৰহ আৰু হস্তান্তৰ পৰিশোধৰ জৰিয়তে চৰকাৰে পৰিয়ালৰ ব্যয়যোগ্য আয় প্রভাৱিত কৰা।
প্রশ্ন ৫। উদ্বৃত্ত বাজেট, ঘাটি বাজেট আৰু সুষম বাজেটৰ সংজ্ঞা দিয়া।
উত্তৰঃ উদ্বৃত্ত বাজেট (Surplus budget) হ’ল যত চৰকাৰী ৰাজহ ব্যয়তকৈ ৰাজহ প্রাপ্তি অধিক হয় তাকে উদ্বৃত্ত বা বাহি বাজেট বোলে।
R > E R হ’ল ৰাজহ E হ’ল ব্যয়।
ঘাটি বাজেটঃ (Deficit Budget): য’ত চৰকাৰী ৰাজহ প্ৰপ্তিতকৈ ৰাজহ ব্যয় অধিক হয় তাকে ঘাটি বাজেট বোলে।
অর্থাৎ R > E
সুষম বাজেট (Balanced Budget): য’ত চৰকাৰৰ ৰাজহ প্ৰাপ্তি আৰু চৰকাৰী ব্যয়ৰ পৰিমাণ সমান হয় তাক সুষম বা সম-বাজেট বোলে৷
অর্থাৎ R = E
প্রশ্ন ৬। চৰকাৰী বাজেটৰ উপাদানবোৰ কি কি?
উত্তৰঃ চৰকাৰী বাজেটৰ উপাদানসমূহ হ’ল –
(i) ৰাজহ বাজেট: (Revenue Budget) ৰাজহ বাজেটত চলিত আয় আৰু ব্যয়সমূহ অন্তৰ্ভুক্ত কৰা হয়। অর্থাৎ চৰকাৰৰ ৰাজহ প্ৰাপ্তি আৰু সেই ৰাজহেৰে কৰা চৰকাৰী ব্যয় ৰাজহ বাজেটৰ অন্তৰ্ভুক্ত হয়। যেনে কৰ ৰাজহ, অনাকৰ ৰাজহ আদি।
(ii) মূলধনী বাজেট: মূলধনী সা-সম্পত্তি সংগ্ৰহ আৰু বিক্ৰীৰ মাধ্যমত চৰকাৰে সংগ্ৰহ কৰা আয়-ব্যয়সমূহ মূলধনী বাজেটত অন্তর্ভুক্ত হয়। অর্থাৎ চৰকাৰৰ মূলধনী প্রাপ্তি আৰু ব্যয় মূলধনী বাজেটৰ অন্তৰ্ভুক্ত। যেনে: মূলধনী বিনিয়োগ ঋণৰ পুনৰ প্ৰাপ্তি অন্যান্য ঋণ দেনা প্রাপ্তি আদি।
প্রশ্ন ৭। চৰকাৰী বাজেটৰ মূলধন প্রাপ্তিৰ উপাদানবোৰ কি কি?
উত্তৰঃ চৰকাৰী বাজেটৰ মূলধন প্রাপ্তিৰ উপাদান সমূহ হ’ল—
(ক) ঋণৰ পুনৰ প্ৰাপ্তি: কেন্দ্ৰীয় চৰকাৰে ৰাজ্য আৰু কেন্দ্ৰীয় শাসিত অঞ্চলসমূহত দিয়া ঋণৰ পুনৰ প্ৰাপ্তিক অন্তর্ভুক্ত কৰা হয়।
(খ) ঋণ আৰু অন্যান্য দেনা: ঋণে দেনাৰ সৃষ্টি কৰে আৰু সেয়ে ঋণৰ জৰিয়তে সংগৃহীত পুঁজিক মূলধনী প্রাপ্তি হিচাবে গণ্য কৰা হয়৷
(গ) অন্যান্য প্রাপ্তি: ৰাজহুৱা খণ্ডৰ প্ৰতিষ্ঠানৰ নিৰ্বিয়োগকৰণ এনে ধৰণৰ প্ৰাপ্তি। ঋণ আৰু চৰকাৰী ঋণৰ পুনৰ প্ৰাপ্তিক বাদ দি অন্যান্য প্রাপ্তিসমূহ অন্যান্য প্রাপ্তিৰ অন্তৰ্গত।
প্রশ্ন ৮। চৰকাৰী বাজেটৰ পৰিকল্পনা বহির্ভূত তিনিটা প্ৰধান বিষয় উল্লেখ কৰা।
বা,
চৰকাৰী বাজেটৰ অপৰিকল্পিত ব্যয়ৰ দুটা মুখ্য বিষয় উল্লেখ কৰা।
উত্তৰঃ চৰকাৰী বাজেটৰ পৰিকল্পনা বর্হিভূত তিনিটা প্ৰধান বিষয় হ’ল—
১। প্রাকৃতিক দুৰ্যোগৰ বাবে কৰা ব্যয় যেনে: ভূমিকম্প, বানপানী আদি।
২। যুদ্ধ বিগ্ৰহৰ বাবে হোৱা ব্যয় আৰু ক্ষতিপূৰণৰ বাবে প্রতিৰক্ষা সেৱা।
৩। অন্যান্য অনুমোদিত ব্যয় আদি। যি পঞ্চবার্ষিক পৰিকল্পনাত অন্তর্ভুক্ত নহয়। যেনে — ৰাজকীয় সাহায্য।
প্রশ্ন ৯। চৰকাৰী বাজেটৰ ৰাজহ হিচাপত কি থাকে?
উত্তৰঃ চৰকাৰী বাজেটৰ ৰাজহ হিচাবত কৰ ৰাজহ আৰু অনাকৰ ৰাজহৰ প্ৰাপ্তি হিচাব অন্তৰ্ভুক্ত থাকে। কৰ ৰাজহৰ প্ৰত্যক্ষ কৰ আৰু পৰোক্ষ কৰৰ পৰা লাভ কৰা ৰাজহ আৰু ব্যয়ৰ হিচাব থাকে। অন্যহাতে অনাকৰ ৰাজহৰ পৰা সংগ্ৰহ কৰা মাচুল, বাণিজ্যিক ৰাজহ, জৰিমনা, চৰকাৰী সম্পত্তিৰ আয়, বিশেষ খাজনা, দান-অনুদান অন্যান্য প্ৰশাসনীয় ৰাজহৰ হিচাব থাকে।
প্রশ্ন ১০। চৰকাৰী কৰাৰোপণৰ পুনৰবিত্ৰৰণাত্মক উদ্দেশ্যটো স্পষ্ট কৰা।
উত্তৰঃ চৰকাৰী কৰৰ এটা উদ্দেশ্য হ’ল অৰ্থনীতিত আয়ৰ সমবিতৰণ নীতিৰ উৎকৰ্ষ সাধন কৰা। এটা উপযুক্ত কৰ নীতিয়ে সমাজৰ ধনী-দুখীয়াৰ মাজত বৈষম্য দূৰ কৰি আয়ৰ সমবিতৰণ কৰা। সমাজৰ সম বিতৰণ নীতিৰ উদ্দেশ্য হ’ল কৰৰ জৰিয়তে সংগৃহীত আয় দৰিদ্ৰতা দূৰীকৰণ কাৰ্যসূচীৰে নিৰ্মূল কৰা। এনেদৰে চৰকাৰী কৰ ব্যৱস্থাৰ উপযুক্ত নীতিৰ জৰিয়তে সমাজৰ আয়ৰ বিতৰণৰ ক্ষেত্ৰত অক্ষমতা দুৰ কৰাই হ’ল প্ৰধান উদ্দেশ্য।
প্রশ্ন ১১। ‘কাগজী কৰ’ বুলিলে কি বুজা? উদাহৰণ সহ উল্লেখ কৰা।
উত্তৰঃ যি কৰ পদ্ধতিত কৰ দাতাই ইলেক্ট্রনিক পদ্ধতিৰ পৰিবৰ্ত্তে কৰ পৰিশোধ পত্ৰৰ যোগেদি কৰে তেনেধৰণৰ পদ্ধতিক কাগজী কৰ বোলে। যেনে- আয়কৰ, সম্পত্তিৰ কৰ আদি। এনে কৰ ফ্ৰেব্ৰুৱাৰী আৰু মাৰ্চৰ ভিতৰত দাখিল কৰিব লাগে। ইয়াক White Tax বুলিও কোৱা হয়।
প্রশ্ন ১২। ২০০৫-০৬ বাজেট বৰ্ষত দুবিধ নতুন কৰৰ সূচনা কৰা হয়। কৰ দুবিধ কি কি?
উত্তৰঃ সেৱা কৰ আৰু Vat Tax ২০০৫-০৬ বৰ্ষত অন্তৰ্ভুক্ত কৰা হয়।
প্রশ্ন ১৩। চৰকাৰৰ ঘাটি কিদৰে হ্ৰাস কৰিব পাৰি?
উত্তৰঃ কৰৰ হাৰ বৃদ্ধি কৰি বা ব্যয় হ্ৰাস কৰি চৰকাৰী ঘাটি বিত্তৰ ৰাজহৰ পৰিমাণ বৃদ্ধি কৰাৰ চেষ্টা চলাব লাগিব। চৰকাৰী খণ্ডৰ উদ্যোগসমূহৰ অংশপত্র বিক্ৰী কৰি চৰকাৰী প্ৰাপ্তিৰ পৰিমাণ বৃদ্ধিৰ জৰিয়তেও বিত্তীয় ঘাটি হ্রাস কৰিব পাৰি। এই ক্ষেত্ৰত চৰকাৰী ব্যয় হ্ৰাস কৰি ঘাটি বিত্তৰ পৰিমাণ হ্ৰাস কৰাত গুৰুত্ব দিব লাগিব। সর্বশেষত চৰকাৰে শাসন ব্যৱস্থা পৰিকল্পনাৰ আঁচনিৰ জৰিয়তে ঘাটি হ্রাসকৰণত সফলতা লাভ কৰিব পাৰে।
প্রশ্ন ১৪। মূলধন ব্যয়াৰ অন্তৰ্ভুক্ত তিনিটা বিষয় উল্লেখ কৰা।
উত্তৰঃ মূলধন ব্যয় হিচাপে ভূমি অধিগ্রহণ, গৃহ নির্মাণ, যন্ত্রপাতি, অংশপত্ৰ বিনিয়োগ, ৰাজ্যিক চৰকাৰ আৰু কেন্দ্ৰীয় শাসিত অঞ্চলৰ লগতে ৰাজহুৱা খণ্ডৰ উদ্যোগ আৰু বিভিন্ন দল বা সংগঠনলৈ কেন্দ্ৰীয় চৰকাৰে প্ৰদান কৰা ঋণ আৰু আগধনসমূহ সামৰি লোৱা হয় ৷
প্রশ্ন ১৫। ৰাজহুৱা দ্ৰব্যৰ ক্ষেত্ৰত কিদৰে ‘মুক্ত বিচৰণ’ সমস্যা উদয় হয় ব্যাখ্যা কৰা।
উত্তৰঃ ৰাজহুৱা দ্ৰব্যবোৰৰ উপভোগ কার্য বিভাজ্য নহয় আৰু ইয়াৰ উপভোগৰ ক্ষেত্ৰত পৰিত্যাগৰ নীতি প্রযোজ্য নহয়। সেয়ে ভোক্তাই কোনো মূল্য প্ৰদান নকৰাকৈ ৰাজহুৱা দ্ৰব্যবোৰ ভোগ কৰিব পাৰে বাবেই ইয়াক ‘মুক্ত বিচৰণ’ৰ সমস্যা বুলি কোৱা হয়।
প্রশ্ন ১৬। এটি অর্থ ব্যৱস্থাত অতিৰিক্ত চাহিদাৰ সমস্যা দূৰ কৰিবলৈ ৰাজকোষীয় নীতিৰ যিকোনো দুটা ব্যৱস্থা লিখা।
উত্তৰঃ (ক) কৰৰ হাৰ বৃদ্ধি বা নতুন কৰ আৰোপ কৰি।
(খ) চৰকাৰী ব্যয় হ্ৰাস কৰি।
প্রশ্ন ১৭। এখন দেশৰ মুদ্ৰাৰ ঊর্ধ্বমূল্যায়ন কি?
উত্তৰঃ মুদ্ৰাৰ উর্ধ্বমূল্যায়নে এখন দেশৰ মুদ্ৰাৰ মূল্য অন্য এখন দেশৰ মুদ্ৰাৰ মূল্যত বৃদ্ধি হোৱা বুজায়।
প্রশ্ন ১৮। চৰাকৰী বাজেটৰ অপৰিকল্পিত ব্যয়ৰ যিকোনো দুটা বিষয় উল্লেখ কৰা।
উত্তৰঃ পৰিকল্পনা বহির্ভূত বা অপৰিকল্পিত ব্যয় হ’ল চলিত পঞ্চবার্ষিক পৰিকল্পনাৰ লগত সম্পর্কহীন ব্যয়। যেনে : প্রাকৃতিক দুর্যোগ, দুর্ঘটনা, যুদ্ধ-বিগ্ৰহ আদিৰ বাবে চৰকাৰে কৰা সাহায্য আৰু প্ৰতিৰক্ষামূলক ব্যয় আদি অপৰিকল্পিত ব্যয়।
এই ব্যয়ৰ বাবে আগতীয়াকৈ অনুমান কৰা নহয়।
প্রশ্ন ১৯। চৰকাৰী বাজেটৰ মূলধনী ব্যয়ৰ দুটা উদাহৰণ দিয়া।
উত্তৰঃ (i) চৰকাৰী স্কুল, কলেজ প্রতিষ্ঠা কৰাৰ ব্যয়।
(ii) ৰাস্তা বনোৱাৰ নামত ব্যয়।
(গ) চমু প্রশ্নোত্তৰঃ
প্রশ্ন ১। পৰিকল্পনা আৰু পৰিকল্পনা-বহির্ভূত ব্যয়ৰ মাজৰ পাৰ্থক্য লিখা।
উত্তৰঃ পৰিকল্পিত আৰু পৰিকল্পনা বহির্ভূত ব্যয়ৰ মাজত পাৰ্থক্যসমূহ হ’ল- পৰিকল্পিত ব্যয় বুলিলে চৰকাৰে বছৰটোত চলিত পঞ্চবার্ষিক পৰিকল্পনাৰ অধীনৰ কাৰ্যসূচীত কৰিবলগীয়া ব্যয়ক বুজায়। ই অর্থনীতিৰ বিভিন্ন খণ্ডৰ লগত জড়িত কেন্দ্ৰীয় পৰিকল্পনাৰ কাৰ্যসূচী ৰূপায়ণত কৰা ব্যয়। উদাহৰণস্বৰূপে ৰাজ্যিক পৰিকল্পনালৈ চৰকাৰে দিয়া ব্যয় ইয়াৰ অন্তৰ্গত।
পৰিকল্পনা বহির্ভূত ব্যয় হ’ল চলিত পঞ্চবার্ষিক পৰিকল্পনাৰ লগত সম্পর্কহীন ব্যয়সমূহক পৰিকল্পনা বহির্ভূত ব্যয় বোলা হয়। যেনেঃ প্রাকৃতিক দুর্যোগ, দুর্ঘটনা, যুদ্ধ-বিগ্রহ আদিৰ বাবে চৰকাৰে কৰা সাহায্য আৰু প্ৰতিৰক্ষামূলক ব্যয় আদি পৰিকল্পনা বহির্ভূত ব্যয়।
এনেবোৰ ব্যয়ৰ বাবে আগতীয়াকৈ অনুমান কৰা নহয়।
প্রশ্ন ২। (ক) চৰকাৰী ৰাজহৰ উৎসবোৰ কি কি? চমুকৈ উল্লেখ কৰা ।
উত্তৰঃ চৰকাৰী ৰাজহৰ উৎসসমূহ হ’ল—
(১) কৰ ৰাজহ। আৰু
(২) অনাকৰ ৰাজহ।
কৰ ৰাজহ হৈছে এক বাধ্যতামূলক বৰঙণি যি জনসাধাৰণে নায্যমতে চৰকাৰক পৰিশোধ কৰিব লাগে। এই ৰাজহ দুই প্ৰকাৰৰ, যেনে— প্রত্যক্ষকৰ আৰু পৰোক্ষকৰ। প্ৰত্যক্ষ কৰ কৰদাতাই নিজৰ উপাৰ্জন আৰু সম্পত্তিৰ ওপৰত পৰিশোধ কৰিব লাগে, যেনে: আয়কৰ, সম্পত্তি কৰ, নিগম কৰ আদি। পৰোক্ষ কৰ হৈছে যি কৰ জনসাধাৰণে অন্য ব্যক্তি বা প্ৰতিষ্ঠানৰ জৰিয়তে পৰিশোধ কৰে তেনে কৰক বুজায়। যেনে: বিক্ৰী কৰ, আবকাৰী শুল্ক, আমদানি কৰ ইত্যাদি।
অনাকৰ ৰাজহ হ’ল কৰৰ বাহিৰে অন্যান্য উৎসৰ পৰা চৰকাৰে যি কৰ সংগ্ৰহ কৰে তাক অনাকৰ ৰাজহ বোলে। যেনেঃ ব্যৱসায়িক ৰাজহ, যেনে— ৰেল সেৱা, বিদ্যুৎ সেৱা আদি। সুত প্রাপ্তি যেনে Divident Fund, সুত আদি প্রশাসনিক ৰাজহ যেনে: অনুজ্ঞাপত্ৰ জৰিমনা, বিদ্যালয়ৰ মাচুল, আইন ভংগৰ মাচুল ইত্যাদি।
প্রশ্ন ২। (খ) ৰাজহ ঘাটি বুলিলে কি বুজা? ৰাজহ ঘাটিৰ ফলত উদ্ভৱ হোৱা তিনিটা পৰিস্থিতি ব্যাখ্যা কৰা।
উত্তৰঃ চৰকাৰৰ বাজেট ৰাজহ শিতানত অন্তৰ্ভুক্ত হোৱা মুঠ ৰাজহ ব্যয়তকৈ যদি উক্ত শিতানত অন্তৰ্ভুক্ত হোৱা ৰাজহ আয় বা ৰাজহ প্ৰাপ্তিৰ পৰিমাণ কম হয়, তেতিয়া তাক ৰাজহ ঘাটি হিচাপে আখ্যা দিয়া হয়।
ৰাজহ ঘাটিৰ ফলত উদ্ভৱ হোৱা তিনিটা পৰিস্থিতি হ’ল—
(ক) যেতিয়া চৰকাৰৰ ৰাজহ ঘাটি হয়, তেতিয়া চৰকাৰৰ সঞ্চয় আৰু বিনিয়োগ ক্ষমতা নাইকিয়া হয়।
(খ) এনে পৰিস্থিতিত চৰকাৰী বিনিয়োগ আৰু উপভোগ ব্যয়ৰ বাবে প্ৰয়োজন হোৱা বিত্ত সংগ্ৰহ কৰিবলৈ চৰকাৰে দেশীয় আৰু বিদেশী নাগৰিক আৰু বিতীয় অনুষ্ঠানৰ পৰা ঋণ ল’বলৈ বাধ্য হয়।
(গ) চৰকাৰে গ্ৰহণ কৰা ঋণ আৰু ঋণৰ বাবে দিব লগা সুদৰ পৰিমাণ বৃদ্ধি হোৱা ফলস্বৰূপে চৰকাৰে চৰকাৰী ব্যয় কৰ্তন কৰিবলৈও বাধ্য হয়। যিহেতু ৰাজহ ব্যয়ৰ এটা প্ৰধান অংশই হ’ল প্রতিশ্রুতিবদ্ধ ব্যয়, সেয়েহে এনেকুৱা ব্যয় কমাব নোৱাৰি। এনে ক্ষেত্ৰত চৰকাৰে প্ৰায়ে উৎপাদনশীল মূলধন ব্যয় বা কল্যাণকামী ব্যয় হ্ৰাস কৰাহে পৰিলক্ষিত হয়। ইয়াৰ ফলস্বৰূপে দেশৰ অৰ্থনৈতিক বুদ্ধিৰ হাৰ নিম্নগামী হয় আৰু ই কল্যাণ সাধনত প্রতিকূল অৱস্থাৰ সৃষ্টি কৰে।
প্রশ্ন ৩। কৰ-ৰাজহ আৰু অনা-কৰ ৰাজহৰ মাজৰ পাৰ্থক্য দেখুওৱা।
উত্তৰঃ কৰ ৰাজহ: কৰ ৰাজহ হ’ল যি কৰ চৰকাৰে বিভিন্ন ৰাজহৰ জৰিয়তে সংগ্ৰহ কৰে তেনে কৰক কৰ ৰাজহ বুলি কোৱা হয়। যেনেঃ প্রত্যক্ষ কৰ আৰু পৰোক্ষ কৰ।
অনাকৰ ৰাজহ: অনাকৰ ৰাজহ হ’ল যি কৰ চৰকাৰে কৰৰ উপৰিও অন্যান্য উৎসৰ পৰা সংগ্ৰহ কৰে তাক অনাকৰ ৰাজহ বুলি কোৱা হয়, অনাকৰ ৰাজহৰ মূল উৎস হ’ল
(i) ব্যৱসায়িক ৰাজহ (Commercial Reviewed), যেনে: ৰেল সেৱা, বিদ্যুৎ সেৱা আদি।
(ii) সুত প্রাপ্তি যেনে: divident, লাভ, সুত আদি।
(iii) প্রশাসনিক ৰাজহ যেনে: অনুজ্ঞা পত্র, জৰিমনা, বিদ্যালয় মহাবিদ্যালয়ৰ মাচুল, আইন ভংগৰ মাচুল আদি।
প্রশ্ন ৪। চৰকাৰী ঘাটি আৰু চৰকাৰী ঋণৰ মাজৰ সম্পৰ্ক উলিওৱা।
উত্তৰঃ চৰকাৰী ঘাটি হ’ল যেতিয়া চৰকাৰৰ ৰাজহ প্রাপ্তিতকৈ ৰাজহ ব্যয় অধিক হয় সেয়ে চৰকাৰী ঘাটি।
চৰকাৰী ঋণ হ’ল চৰকাৰে দেশৰ বিভিন্ন কাম-কাজৰ বাবে অন্যান্য দেশীয় বা আন্তৰাষ্ট্ৰীয় বিত্তীয় প্ৰতিষ্ঠানৰ পৰা যি ঋণ লয় সেয়ে হ’ল চৰকাৰী ঋণ।
চৰকাৰী ঘাটিসমূহ হ’ল ৰাজহ ঘাটি, ৰাজকোষীয় ঘাটি আদি। অন্যহাতে চৰকাৰী ঋণসমূহ হ’ল অন্তঃদেশীয় ঋণ, আৰু আন্তঃৰাষ্ট্ৰীয় আদি।
চৰকাৰী ঘাটিয়ে ঘাটি বাজেটৰ সৃষ্টি কৰে আৰু চৰকাৰী ঋণে ঋণৰ বোজাৰ সৃষ্টি কৰে।
গতিকে চৰকাৰী ঘাটি আৰু ঋণৰ সম্পৰ্ক আছে। এখন দেশত চৰকাৰী ৰাজহ ঘাটিয়ে চৰকাৰী ঋণৰ সৃষ্টি কৰে। যেতিয়া ঘাটি বাজেটৰ সম্মুখীন হয় তেতিয়া বিনিয়োগৰ পৰিমাণ কমি যায় আৰু উৎপাদন হ্রাস হয়, খণ্ড জাতীয় আয়ৰ পৰিমাণ কমি যায়; সেয়ে চৰকাৰী ঋণৰ সহায়ত ঘাটি পূৰণ কৰিবলগীয়া হয়।
প্রশ্ন ৫। চৰকাৰী বাজেটৰ মূল উদ্দেশ্যবোৰ কি কি? চমুকৈ ব্যাখ্যা কৰা।
উত্তৰঃ চৰকাৰী বাজেটৰ মূল উদ্দেশ্যসমূহ হ’ল —
১। অর্থনৈতিক বিকাশ সাধন: ইয়াত বছৰটোৰ বাবে দেশৰ অৰ্থনৈতিক উন্নয়নৰ বাবে কিছুমান কাৰ্যাৱলী হাতত লোৱা হয়৷
২। আয়ৰ অসমতা: আয়ৰ অসমতা হ্ৰাস কৰিবৰ বাবে এখন দেশত বাজেট প্রস্তুত কৰা। যিয়ে নেকি সমাজৰ ধনী আৰু দুখীয়াসকলৰ মাজত সমতা স্থাপনৰ বাবে আঁচনি গ্ৰহণ কৰে।
৩। দৰৰ স্থিৰতা: দৰৰ স্থিৰতাৰ বাবে বিশেষকৈ সামগ্ৰী আৰু সেৱাৰ উপযুক্ত মজুতৰ বাবে বাজেট গঠন কৰা হয়।
৪। ৰাজহুৱা প্ৰতিষ্ঠানসমূহ সঠিকভাৱে পৰিচালনা কৰি ৰাজহ সংগ্ৰহৰ উপযোগী কৰি তুলিব পাৰে। ই এক চৰকাৰী বাজেটৰ উদ্দেশ্য।
প্রশ্ন ৬। এখন অৰ্থনীতিৰ সুস্থিৰ নিয়ন্ত্ৰকৰ গুৰুত্ব ব্যাখ্যা কৰা।
উত্তৰঃ সমানুপাতিক আয় কৰে এখন অর্থনীতিক ঊর্ধ্বমুখী বা নিম্নমুখী গতিৰ পৰা সুস্থিৰ অৱস্থালৈ আনিব পাৰে। আকৌ কল্যাণ হস্তান্তৰকৰণেও দেশৰ আয় সুস্থিৰে ৰখাত সহায় কৰে। এখন অৰ্থনীতিয়ে অভিবৃত্তি বা মুদ্রাস্ফীতিৰ সন্মুখীন হোৱাৰ সময়ত যেতিয়া নিয়োগৰ হাৰ অধিক হয় তেতিয়া উচ্চ উপভোগ ব্যয়ৰ পৰিমাণ হ্ৰাস কৰিবলৈ চৰকাৰে কৰৰ সহায়ত ব্যয়যোগ্য আয়ৰ পৰিমাণ হ্ৰাস কৰি অৰ্থনৈতিক সুস্থিৰতা ৰক্ষা কৰাৰ চেষ্টা কৰে। এইদৰে অৰ্থনৈতিক সুস্থিৰতা ৰক্ষাৰ্থে চৰকাৰে গ্ৰহণ কৰা ৰাজকোষীয় পদ্ধতিত কিছুমান। স্বয়ংক্রিয় নিয়ন্ত্ৰৰ ভূমিকা অন্তর্ভুক্ত হৈ থাকে।
প্রশ্ন ৭। ঋণৰ ক্ষেত্ৰত ৰিকাৰ্ডোৰ সমতাৰ ধাৰণাটো ব্যাখ্যা কৰা।
উত্তৰঃ এজন মহান অর্থনীতিবিদ ডেভিদ ৰিকার্ডোৱে যুক্তি আগবঢ়াইছে যে বেছি ঘাটিৰ সময়ত মানুহে বেছি সঞ্চয় কৰে। ইয়াক সমতা বুলি কোৱা হয়, কাৰণ কৰ আৰু চৰকাৰী ঘাটি বিত্ত যোগানৰ দুটা সমতুল্য উপায়। বৰ্তমান চৰকাৰে ঋণ গ্ৰহণ কৰি ইয়াৰ বৰ্ধিত ব্যয়ৰ চাহিদা পৰিপূৰ্ণৰ ব্যৱস্থা গ্ৰহণ কৰে আৰু এই ঋণ ভবিষ্যতে জনসাধাৰণৰ ওপৰত ধাৰ্য কৰি পৰিশোধ কৰিবলগীয়া হয়। তেতিয়া অৰ্থনীতিত ইয়াৰ যি প্ৰভাৱ পৰিব ঠিক একেই প্রভাৱ বা সংঘাত অৰ্থনীতিত পৰিব যদিহে চৰকাৰে ইয়াৰ বৰ্ধিত ব্যয়ৰ চাহিদা বর্তমানে অধিক কৰ বৃদ্ধি কৰি সংগ্ৰহ কৰে।
প্রশ্ন ৮। আনুপাতিক আয় কৰে কিদৰে স্বয়ংক্রিয় নিয়ন্ত্ৰকৰ কাম কৰে ব্যাখ্যা কৰা।
উত্তৰঃ সমানুপাতিক আয় কৰে এখন অর্থনীতিক ঊর্ধ্বমুখী বা নিম্নমুখী গতিৰ পৰা সুস্থিৰ অৱস্থালৈ আনিব পাৰে। আকৌ কল্যাণ হস্তান্তৰকৰণেও দেশৰ আয় সুস্থিৰে ৰখাত সহায় কৰে। এখন অৰ্থনীতিয়ে অভিবৃত্তি বা মুদ্রাস্ফীতিৰ সন্মুখীন হোৱাৰ সময়ত যেতিয়া নিয়োগৰ হাৰ অধিক হয় তেতিয়া উচ্চ উপভোগ ব্যয়ৰ পৰিমাণ হ্ৰাস কৰিবলৈ চৰকাৰে কৰৰ সহায়ত ব্যয়যোগ্য আয়ৰ পৰিমাণ হ্ৰাস কৰি অৰ্থনৈতিক সুস্থিৰতা ৰক্ষা কৰাৰ চেষ্টা কৰে। এইদৰে অৰ্থনৈতিক সুস্থিৰতা ৰক্ষাৰ্থে চৰকাৰে গ্ৰহণ কৰা ৰাজকোষীয় পদ্ধতিত কিছুমান। স্বয়ংক্রিয় নিয়ন্ত্ৰৰ ভূমিকা অন্তর্ভুক্ত হৈ থাকে।
প্রশ্ন ৯। সংজ্ঞা লিখা —
পৰিকল্পিত চৰকাৰী ব্যয়।
উত্তৰঃ পৰিকল্পিত ব্যয় বুলিলে চৰকাৰে বছৰটোত চলিত পঞ্চবার্ষিক পৰিকল্পনাৰ অধীনৰ কাৰ্যসূচীত কৰিবলগীয়া ব্যয়ক বুজায়। ই অর্থনীতিৰ বিভিন্ন খণ্ডৰ লগত জড়িত কেন্দ্রীয়া পৰিকল্পনাৰ কাৰ্যসূচী ৰূপায়নত কৰা ব্যয়। উদাহৰণস্বৰূপে ৰাজ্যিক পৰিকল্পনালৈ চৰকাৰে দিয়া ব্যয় ইয়াৰ অন্তৰ্গত।
(ঘ) দীঘলীয়া প্রশ্নোত্তৰঃ
প্রশ্ন ১। চৰকাৰী বাজেটৰ উপাদানবোৰ চমুকৈ ব্যাখ্যা কৰা।
উত্তৰঃ চৰকাৰী বাজেটৰ উপাদানসমূহ হ’ল –
(i) ৰাজহ বাজেট: (Revenue Budget) ৰাজহ বাজেটত চলিত আয় আৰু ব্যয়সমূহ অন্তৰ্ভুক্ত কৰা হয়। অর্থাৎ চৰকাৰৰ ৰাজহ প্ৰাপ্তি আৰু সেই ৰাজহেৰে কৰা চৰকাৰী ব্যয় ৰাজহ বাজেটৰ অন্তৰ্ভুক্ত হয়। যেনে কৰ ৰাজহ, অনাকৰ ৰাজহ আদি।
(ii) মূলধনী বাজেট: মূলধনী সা-সম্পত্তি সংগ্ৰহ আৰু বিক্ৰীৰ মাধ্যমত চৰকাৰে সংগ্ৰহ কৰা আয়-ব্যয়সমূহ মূলধনী বাজেটত অন্তর্ভুক্ত হয়। অর্থাৎ চৰকাৰৰ মূলধনী প্রাপ্তি আৰু ব্যয় মূলধনী বাজেটৰ অন্তৰ্ভুক্ত। যেনে: মূলধনী বিনিয়োগ ঋণৰ পুনৰ প্ৰাপ্তি অন্যান্য ঋণ দেনা প্রাপ্তি আদি।
প্রশ্ন ২। চৰকাৰী বাজেটৰ প্ৰসংগত ৰাজহ ঘাটি, ৰাজস্ব ঘাটি আৰু প্ৰাথমিক ঘাটিৰ ধাৰণাবোৰ ব্যাখ্যা কৰা।
উত্তৰঃ চৰকাৰী বাজেটৰ প্ৰসংগত ৰাজহ ঘাটি হ’ল চৰকাৰৰ ৰাজহ প্ৰাপ্তিৰ অতিৰিক্ত ৰাজহ ব্যয়ক ৰাজহ ঘাটি বোলা হয়।
ঘাটি = ৰাজহ ব্যয় – ৰাজহ প্রাপ্তি।
আকৌ ৰাজস্ব ঘাটি হ’ল চৰকাৰৰ ঋণ আৰু অন্যান্য দেনাক বাদ দি পোৱা মুঠ প্রাপ্তিক বুজায়।
প্রাথমিক ঘাটি হ’ল ৰাজকোষীয় ঘাটিৰ পৰা সুদ পৰিশোধ বাদ দিলে প্রাথমিক ঘাটি পোৱা যায়।
প্রাথমিক ঘাটি ৰাজ কোষীয় ঘাটি-সুদ পৰিশোধ।
প্রাথমিক ঘাটি ০ (শূণ্য) হ’লে চৰকাৰে কেৱল সুদ পৰিশোধ কৰিবলৈ ঋণৰ আশ্ৰয় লব লগা হয়। অর্থাৎ ০ = ৰাজকোষীয় ঘাটি সুদ পৰিশোধ।
প্রশ্ন ৩। চৰকাৰী ঋণ এটা বোজা নেকি? ব্যাখ্যা কৰা।
উত্তৰঃ চৰকাৰী ঋণ এটি বোজা নেকি’ এই সন্দৰ্ভত তলত আলোচনা কৰা হৈছে — চৰকাৰী ঋণে বোজা আৰোপ কৰেনে নকৰে সেয়া নিৰ্ভৰ কৰে চৰকাৰে ঋণসমূহ কেনেদৰে প্রয়োগ কৰিছে তাৰ ওপৰত। যদি চৰকাৰে ঋণ বিনিয়োগমূলক কামত প্রয়োগ কৰি তাৰ লাভৰ অংশৰে ঋণ পৰিশোধ কৰি যায় তেনে ঋণ উৎপাদনমূলক বা ফলপ্রসূ। কিন্তু যেতিয়া চৰকাৰী ঋণৰ পৰা উৎপাদন নহয় তেতিয়া দেশখনত এই ঋণ বোজাস্বৰূপ হৈ পৰে। গতিকে চৰকাৰী ঋণে তলত দিয়া কাৰ্যসমূহত বোজা আৰোপ কৰে।
সেইবোৰ হ’ল—
(a) দীর্ঘকালীন ঋণৰ বোজা অধিক হ’লে,
(b) যেতিয়া ঋণ পৰিশোধ কৰিব নোৱাৰে এই ঋণ নতুন প্ৰজন্মৰ বাবে বোজা হ’ব পাৰে।
(c) অতিৰিক্ত ঋণৰ ফলত এখন দেশে ব্যৱসায় বাণিজ্য ৰপ্তানি জাতীয় দ্রব্য সামগ্রী হেৰুৱাব পাৰে।
(d) উন্নয়নশীল দেশসমূহত বাবে ঋণৰ অত্যাধিক হেঁচাই ঋণ (Debt Trap) ৰ সৃষ্টি কৰে।
প্রশ্ন ৪। এখন অৰ্থনীতিৰ উপভোগ কার্য এনে ধৰণৰ C = 300 + 0.75y, বিনিয়োগ ব্যয় (I) 250 আৰু চৰকাৰী খৰচ 200, এতেকে নিৰ্ণয় কৰা:
(ক) আয়ৰ ভাৰসাম্য স্তৰ কি?
উত্তৰঃ দিয়া আছে,
C = 300 + 0.75y
I₀ = 250
G₀ = 200
গতিকে ভাৰসাম্য আয় স্তৰ হ’ল – y = C + l₀ + G₀
⇒ y = 300 + 0.75y + 250 + 200
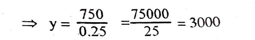
⇒ y – 0.75y = 300 + 250 + 200 ⇒ 0.25y = 750

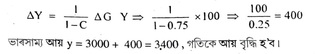
(খ) যদি চৰকাৰী ব্যয় 100 বৃদ্ধি পায়, ভাৰসাম্যত কি পৰিৱৰ্তন হ’ব?
উত্তৰঃ (খ) যদিহে চৰকাৰী ব্যয় বাঢ়ে 100 তেন্তে ভাৰসাম্য আয়স্তৰ হ’ব

প্রশ্ন ৫। ধৰা হ’ল এটা নিৰ্দিষ্ট অৰ্থনীতিৰ উপভোগ কার্য হ’ল C = 150 + 0.6y. বিনিয়োগ 150 ৰ সমান, চৰকাৰী ক্ৰয় 120 আৰু সৰ্বমুঠ কৰ (যেনে-মুঠমাঠ কৰ বিয়োগ হস্তান্তৰ) 100 এতিয়া,
(ক) আয়ৰ ভাৰসাম্য স্তৰটো কি?
উত্তৰঃ দিয়ামতে, C = 150 + 0.6y
I = 150
G = 120
T = 100
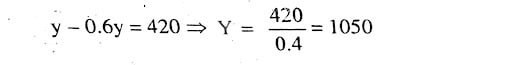
(ক) এতিয়া ভাৰসাম্য আয়স্তৰ y = C + I + G
⇒ y = 150 + 0.6y + 150 + 120

পুনৰ সৰ্বমুঠ কৰ নিয়োগ হস্তান্তৰ কৰি y̅ = y + T
= 1050 + 100
= 1150
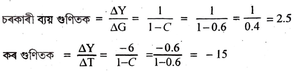
(খ) চৰকাৰী ব্যয় গুণিতক আৰু কৰ গুণিতকৰ মূল্য নিৰূপণ কৰা।
উত্তৰঃ

(গ) যদি চৰকাৰী ব্যয় 100 বৃদ্ধি হয়, ভাৰসাম্য আয়ৰ পৰিবৰ্তন দেখুওৱা।
উত্তৰঃ

প্রশ্ন ৬। ধৰা হ’ল উপভোগ কার্য C = 80 + 0.9y চৰকাৰী ব্যয় (a) = 120 আৰু মুঠ কৰ ৰাজহ কাৰ্য T = 0. 10y ওপৰৰ তথ্যৰ পৰা –
(ক) আয়ৰ ভাৰসাম্য স্তৰ নিৰ্ণয় কৰা?
উত্তৰঃ দিয়া আছে, C = 80 + 0.9y,
G = 120,
T = 0.10y
∴ ভাৰসাম্য আয় y = C + G
y ⇒ 80 + 0.9y + 120
⇒ y – 0.94 = 200

(খ) আয়ৰ ভাৰসাম্য স্তৰত কৰ ৰাজহ (T) কি?
উত্তৰঃ ∴ ভাৰসাম্য আয়ত কৰ ৰাজহ T = 200
(গ) চৰকাৰৰ সুষম বাজেট থাকেনে?
উত্তৰঃ যিহেতু চৰকাৰী ব্যয় (G) 120 আৰু কৰ ৰাজহ T = 200 অর্থাৎ G < T
∴ চৰকাৰী বাজেট ভাৰসাম্য বা Balance নহয় ই হ’ল ৰাহি বাজেট।
প্রশ্ন ৭। ধৰা হ’ল এখন অর্থনীতিত উপভোগ কার্য হ’ল C = 100 + 0.80y, বিনিয়োগ (I) হ’ল 50, চৰকাৰী ব্যয় (G) 100 ৰ সমান আৰু মুঠ ৰাজহ (TR) 150 এতিয়া,
(ক) আয়ৰ ভাৰসাম্য স্তৰ আৰু আয়ৰ গুণিতক উলিওৱা।
উত্তৰঃ দিয়া আছে, C = 100 + 0.80y
I₀ = 50
G₀ = 100
T₀ = 150
∴ ভাৰসাম্য আয় y = C + I₀ + G₀ -T
y ⇒ 100 + 0.80y + 50 + 100-150
⇒ y – 0.80y = 250 – 150
⇒ 0.20y = 100

(খ) যদি চৰকাৰী ব্যয় 50 বৃদ্ধি পায়, ভাৰসাম্য আয়ত তাৰ প্ৰভাৱ কি হ’ব?
উত্তৰঃ

∴ ভাৰসাম্য আয় (y) বৃদ্ধি হ’ব
∴ মুঠ ভাৰসাম্য আয় = 500 + 250
= 750
প্রশ্ন ৮। চৰকাৰী বাজেট কি? ৰাজহ বাজেট আৰু মূলধনী বাজেটৰ পাৰ্থক্য ব্যাখ্যা কৰা।
উত্তৰঃ চৰকাৰে প্ৰতিটো বিত্তীয় বছৰৰ বাবে চৰকাৰৰ প্ৰত্যাশিত আয় আৰু ব্যয়ৰ হিচাপৰ বিবৃতি উত্থাপন কৰে। চৰকাৰে এই প্ৰস্তাৱিত ব্যয় আৰু সম্ভাৱ্য আয়ৰ বছৰেকীয়া বিত্তীয় বিৱৰণক চৰকাৰী বাজেট বুলি কোৱা হয়। এই বাজেটে ৰাজহ হিচাপৰ ওপৰত হোৱা ব্যয়ক অন্য ব্যয়ৰ পৰা পৃথক কৰে। সেইবাবে চৰকাৰী বাজেটক দুটা ভাগত ভাগ কৰিব পাৰি। ইয়াৰে এটা ভাগ হৈছে ৰাজহ বাজেট আৰু আনটো মূলধনী বাজেট।
ৰাজহ বাজেট আৰু মূলধনী বাজেটৰ পাৰ্থক্য:
(ক) ৰাজহ বাজেটত চৰকাৰৰ চলিত প্রাপ্তি আৰু সেই প্ৰাপ্তিৰ পৰা কৰিব পৰা ব্যয়ৰ হিচাপ অন্তর্ভুক্ত হয়। আনহাতে মূলধনী বাজেটত চৰকাৰৰ মূলধনী প্ৰাপ্তি আৰু ব্যয় অন্তর্ভুক্ত হয়।
(খ) ৰাজহ বাজেটত চৰকাৰৰ চলিত আয়-ব্যয়সমূহ অন্তর্ভুক্ত হয়; আনহাতে মূলধনী বাজেটত মূলধনী সা-সম্পত্তি সংগ্ৰহ আৰু বিক্ৰীৰ মাধ্যমত চৰকাৰে সংগ্ৰহ কৰা আয়-ব্যয় অন্তর্ভুক্ত হয়।
(গ) ৰাজহ বাজেটত কৰ ৰাজহ আৰু অনাকৰ ৰাজহ অন্তর্ভুক্ত হয়; কিন্তু মূলধনী বাজেটত এইবোৰ নাথাকে।
(ঘ) ৰাজহ বাজেটৰ ৰাজহ ব্যয়ত পৰিকল্পনাৰ ৰাজহ ব্যয় থাকে, কিন্তু মূলধনী বাজেটৰ মূলধনী ব্যয়ত পৰিকল্পনাৰ মূলধনী ব্যয়ৰ লগতে পৰিকল্পনা বহির্ভূত ব্যয় থাকে।
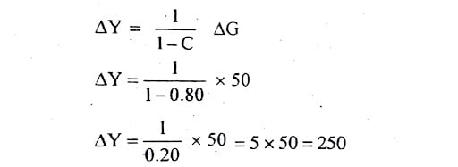
প্রশ্ন ৯। ৰাজকোষীয় নীতি কি? চৰকাৰী ব্যয়ৰ পৰিবৰ্তনে কিদৰে ভাৰসাম্য আয় স্তৰক প্ৰভাৱিত কৰে লিখা।
উত্তৰঃ চৰকাৰী ব্যয়, ৰাজহ আৰু ঋণ নিয়ন্ত্ৰণ ব্যৱস্থাৰ জৰিয়তে যেতিয়া সম্পদ নিয়োগ আৰু পুঁজিৰ প্ৰবাহ ঘটাই দেশৰ উপাৰ্জন, মূল্যস্তৰ, নিয়োগ আৰু উৎপাদনৰ স্তৰৰ ওপৰত প্ৰভাৱ বিস্তাৰ কৰা হয় তাকেই ৰাজকোষীয় নীতি বোলে।
চিত্ৰৰ সহায়ত চৰকাৰী ব্যয়ৰ পৰিৱৰ্তনে কিদৰে ভাৰসাম্য আয়ৰ স্তৰক প্রভাৱিত কৰে দেখুওৱা হ’ল:

প্রচলিত কৰৰ হাৰ অপৰিবৰ্তিত বুলি ধৰি লৈ চৰকাৰী ক্ৰয়ৰ (G) পৰিমাণবোৰ বিবেচনা কৰিব পাৰো। যেতিয়া G, T তকৈ অধিক হয়, তেতিয়া অর্থনীতিখনত (চৰকাৰৰ) ঘাটি বাজেটৰ উদ্ভৱ হয়। কিয়নো চৰকাৰী ক্রয় (G) ৰ বৃদ্ধি হ’ল সৰ্বমুঠ ব্যয়ৰ এটা উপাংশ আৰু সেয়েহে পৰিকল্পিত অর্থনীতিত Gৰ বৃদ্ধি হ’লে সৰ্বমুঠ ব্যয়ৰো বৃদ্ধি হ’ব। ইয়াৰ ফলস্বৰূপে সামগ্রিক চাহিদাসূচী AD লৈ স্থানান্তৰিত হয়। দ্রব্য সামগ্ৰীৰ উৎপাদনৰ প্ৰাৰম্ভিক স্তৰত, যোগানতকৈ চাহিদা অধিক হয় আৰু সেইবাবে ব্যৱসায় প্রতিষ্ঠানবোৰে উৎপাদনৰ পৰিমাণ সম্প্ৰসাৰণ কৰে। এই ক্ষেত্ৰত নতুন ভাৰসাম্য অৱস্থান হ’ব E/ ইয়াত গুণক কৌশলৰ প্ৰভাৱ পৰিলক্ষিত হয়। এই প্ৰক্ৰিয়াত চৰকাৰী ব্যয় গুণকৰ সমীকৰণটো তলত দিয়া ধৰণৰ হ’ব—

চিত্ৰত দেখুওৱাৰ দৰে চৰকাৰী ব্যয় G ৰ পৰা G/ লৈ বাঢ়ি যোৱাৰ ফলত ভাৰসাম্য আয় Y ৰ পৰা Y/ লৈ যায়।
প্রশ্ন ১০। বাজেট ঘাটি কি? বাজেট ঘাটিৰ তিনিটা প্ৰকাৰ কি কি?
উত্তৰঃ বাজেট ঘাটি হৈছে এনে এক অর্থনৈতিক অৱস্থা য’ত চৰকাৰী ব্যয়ৰ পৰিমাণ চৰকাৰী ৰাজহতকৈ অধিক হয়।
বাজেট ঘাটিৰ তিনিটা প্ৰকাৰ তলত উল্লেখ কৰা হ’ল—
(i) ৰাজহ ঘাটি: চৰকাৰৰ বাজেট ৰাজহ শিতানত অন্তৰ্ভূক্ত হোৱা মুঠ ৰাজহ ব্যয়তকৈ যদি উক্ত শিতানত অন্তৰ্ভুক্ত হোৱা ৰাজহ আয় বা ৰাজহ প্ৰাপ্তিৰ পৰিমাণ কম হয়, তাকে ৰাজহ ঘাটি বোলে।
(ii) প্রাথমিক ঘাটি: ৰাজকোষীয় ঘাটিৰ পৰা সুদ পৰিশোধৰ পৰিমাণ বাদ দিলে প্রাথমিক ঘাটি পোৱা যায়।
(iii) ৰাজকোষীয় ঘাটি: ৰাজকোষী ঘাটি হৈছে এনে এক অর্থনৈতিক অৱস্থা য’ত চৰকাৰী মুঠ ব্যয় চৰকাৰী আয়তকৈ অধিক হয়, য’ত চৰকাৰী আয়ত চলিত বিত্তীয় বৰ্ষৰ ঋণৰ পৰিমাণ অন্তর্ভুক্ত নহয়।
প্রশ্ন ১১। প্রত্যক্ষ কৰ আৰু পৰোক্ষ কৰৰ মাজৰ চাৰিটা পার্থক্য লিখা।
উত্তৰঃ প্ৰত্যক্ষ কৰ আৰু পৰোক্ষ কৰৰ মাজৰ চাৰিটা পাৰ্থক্য হ’ল—
(i) প্রত্যক্ষ কৰ আয় অথবা লাভৰ ওপৰত আৰোপ কৰে, কিন্তু পৰোক্ষ কৰ দ্ৰব্য আৰু সেৱাৰ ওপৰত আৰোপ কৰে।
(ii) প্ৰত্যক্ষ কৰৰ প্ৰথম ঠেকা আৰু কৰৰ শেষভাৰ একেজন ব্যক্তিৰ ওপৰত পৰে; কিন্তু পৰোক্ষ কৰৰ ক্ষেত্ৰত প্ৰথম ঠেকা যিজনৰ ওপৰত পৰে, কৰৰ শেষ বোজা অন্য এজন ব্যক্তিৰ ওপৰত পৰে।
(iii) প্রত্যক্ষ কৰে আয়ৰ অসমতা হ্ৰাস কৰে; কিন্তু পৰোক্ষ কৰে আয়ৰ অসমতা বৃদ্ধি কৰে।
(iv) প্ৰত্যক্ষ কৰে চাহিদা হ্রাস কৰি মুদ্রাস্ফীতি ৰোধ কৰাত সহায় কৰে; কিন্তু পৰোক্ষ কৰে দ্ৰব্যৰ দৰ বৃদ্ধি কৰি মুদ্রাস্ফীতি হোৱাত সহায় কৰে।
প্রশ্ন ১২। ঘাটি বাজেট কি? উন্নয়নশীল অর্থনীতিৰ ক্ষেত্ৰত ৰাহি বাজেটতকৈ ঘাটি বাজেটক কিয় উপযোগী হিচাপে বিবেচনা কৰা হয়?
উত্তৰঃ এখন দেশৰ চৰকাৰী ৰাজহ প্রাপ্তিতকৈ চৰকাৰী ব্যয় অধিক হয়, তাকে ঘাটি বাজেট বোলে।
উন্নয়নশীল দেশত চৰকাৰৰ কৰৰ জৰিয়তে ৰাহজ সংগ্রহ সীমিত। উন্নয়নশীল দেশৰ যেনে ভাৰতবৰ্ষৰ ক্ষেত্ৰত চৰকাৰে সাধাৰণ লোকৰ উন্নয়নৰ কাৰণে বিশেষভাৱে বিনিয়োগ কৰিব লগা হয়। যেনে — শিক্ষাত বিনিয়োগ, স্বাস্থ্যত, দৰিদ্ৰতা দূৰীকৰণত বিনিয়োগ। তাৰোপৰি উন্নয়নৰ কাৰণে আন্তঃগাঁথনিৰ বিশেষ প্রয়োজন। এই আন্তঃগাঁথনি যেনে — পৰিবহন আৰু যোগাযোগ, বেংক ব্যৱস্থা, জলসিঞ্চন ব্যৱস্থা আদিৰ ক্ষেত্ৰত বিশেষ ব্যয়ৰ প্ৰয়োজন হয়। সেয়েহে উন্নয়নৰ কাৰণে এনে দেশত ৰাজহ সংগ্ৰহতকৈ চৰকাৰী ব্যয় অধিক হয়। গতিকে ঘাটি বাজেটেহে এনে দেশৰ বিশেষ অর্থনৈতিক উন্নয়নৰ পথ মুকলি কৰে।

Hi! my Name is Parimal Roy. I have completed my Bachelor’s degree in Philosophy (B.A.) from Silapathar General College. Currently, I am working as an HR Manager at Dev Library. It is a website that provides study materials for students from Class 3 to 12, including SCERT and NCERT notes. It also offers resources for BA, B.Com, B.Sc, and Computer Science, along with postgraduate notes. Besides study materials, the website has novels, eBooks, health and finance articles, biographies, quotes, and more.



