Class 12 Economics Chapter 1 জাতীয় আয় আৰু সম্পর্কিত সমষ্টিবোৰ Question Answer in Assamese Medium to each chapter is provided in the list so that you can easily browse throughout different chapter AHSEC Class 12 Economics Chapter 1 জাতীয় আয় আৰু সম্পর্কিত সমষ্টিবোৰ Notes and select needs one.
Class 12 Economics Chapter 1 জাতীয় আয় আৰু সম্পর্কিত সমষ্টিবোৰ
Also, you can read the SCERT book online in these sections Solutions by Expert Teachers as per SCERT (CBSE) Book guidelines. These solutions are part of SCERT All Subject Solutions. Here we have given Assamese Medium Class 12 Economics Chapter 1 জাতীয় আয় আৰু সম্পর্কিত সমষ্টিবোৰ Solutions for All Subject, You can practice these here.
জাতীয় আয় আৰু সম্পর্কিত সমষ্টিবোৰ
Chapter: 1
প্রথম খণ্ড: সমষ্টিবাদী অর্থবিজ্ঞান পৰিচয়
(ক) অতিচমু প্রশ্নোৰঃ
প্রশ্ন ১। কোন চনত বৃহৎ মন্দাবস্থা হৈছিল?
উত্তৰঃ 1929 চনত।
প্রশ্ন ২। অৰ্থনীতিৰ পিতৃ বুলি কাক স্বীকৃতি দিয়া হৈছে?
উত্তৰঃ আদাম স্মিথক।
প্রশ্ন ৩। অর্থনীতি এখনৰ চাৰিটা ক্ষেত্ৰৰ যিকোনো এটাৰ নাম লিখা।
উত্তৰঃ চৰকাৰী খণ্ড।
প্রশ্ন ৪। অর্থনীতি এখনত পৰিয়াল খণ্ডই কিদৰে প্রভাৱ পেলায় লিখা।
উত্তৰঃ পৰিয়াল খণ্ডই ব্যক্তিগত প্ৰতিষ্ঠানৰ লগতে চৰকাৰী খণ্ডলৈ শ্ৰমৰ যোগান ধৰে আৰু চৰকাৰক যথেষ্ট পৰিমাণৰ কৰ-কাটল পৰিশোধ কৰে।
প্রশ্ন ৫। উন্নয়নশীল দেশ এখনত চৰকাৰৰ ভূমিকা ব্যাখ্যা কৰা।
উত্তৰঃ এখন উন্নয়নশীল দেশত চৰকাৰে অর্থনৈতিক কার্যকলাপ সম্পাদন; আইন প্রণয়ন আৰু কল্যাণকামী কার্য সমাধা কৰে।
প্রশ্ন ৬। ব্যক্তিবাদী অর্থনীতি আৰু সমষ্টিবাদী অর্থনীতিৰ সম্পৰ্ক ব্যাখ্যা কৰা।
উত্তৰঃ ব্যষ্টিবাদী অর্থনীতি সমষ্টিবাদী অর্থনীতি নিকট সম্পর্ক স্থাপিত হয় যেতিয়া ব্যষ্টিবাদী অর্থনীতিৰ সাধাৰণ ভাৰসাম্যৰ বিষয়ে অধ্যয়ন কৰা হয়।
প্রশ্ন ৭। সাধাৰণ সঙ্কলন কি?
উত্তৰঃ যি অৱস্থাত অর্থনীতি এখনৰ বজাৰৰ চাৰ্বিদা আৰু যোগানৰ মাজত সমতা স্থাপন হয় তাকেই সাধাৰণ সঞ্চলন বুলি কোৱা হয়।
প্রশ্ন ৮। বৃহৎ অর্থনৈতিক সিদ্ধান্ত নিৰূপণকাৰী সকল কোন?
উত্তৰঃ বৃহৎ অর্থনৈতিক সিদ্ধান্ত গ্ৰহণকাৰীসকল হ’ল ভাৰত চৰকাৰৰ অনুমোদনকাৰী সংগঠন ভাৰতীয় ৰিজার্ভ বেংক, নিৰাপত্তা বিনিময় পৰিষদ আদি।
প্রশ্ন ৯। কাম কৰিবলৈ সাজু থকা সকলো শ্রমিকে নিযুক্তি পায় আৰু সকলো কাৰখানাই নিজৰ পূৰ্ণ সক্ষমতাৰে কাম কৰে বুলি বিশ্বাস কৰা চিন্তা কুলটোৰ নাম কি?
উত্তৰঃ পূৰ্বৱৰ্তী কালৰ সংস্থাপিত অর্থনীতিবিদসকল যেনে- আদাম স্মিথ, আলফ্রেড মাছলি, জন ষ্টুৱাৰ্ট মিল আদি সংস্থাপিত অৰ্থনীতিৰ কুল।
প্রশ্ন ১০। সমষ্টিবাদী অৰ্থনীতিৰ আন এটা নাম লিখা।
উত্তৰঃ সমষ্টিবাদী অৰ্থনীতিৰ আন এটা নাম হ’ল – সামগ্রিক অর্থনীতি।
প্রশ্ন ১১। সমষ্টিবাদী অৰ্থনীতিৰ দুটা চলকৰ নাম লিখা।
উত্তৰঃ ভোগবায় আৰু জাতীয় আয়।
প্রশ্ন ১২। ‘The General theory of Employment, Interest and Money” (নিয়োগ, সুত আৰু ধনৰ সাধাৰণ সূত্ৰ) নামৰ গ্ৰন্থখনৰ লিখক কোন?
উত্তৰঃ জন মেইনার্ড কেইল।
প্রশ্ন ১৩। ‘The General theory of Employment Interest and Money’ (নিয়োগ, সুত আৰু খনৰ সাধাৰণ সূত্ৰ) নামৰ গ্ৰন্থখন কোন চনত প্ৰকাশিত হৈছিল?
উত্তৰঃ ১৯৩৬ চনত।
প্রশ্ন ১৪। সঠিক উত্তৰটো বাছনি কৰা ‘The General theory of Employment, Interest and Money’ (নিয়োগ, সুত আৰু ধনৰ সাধাৰণ সূত্ৰ) নামৰ গ্ৰন্থখনৰ লিখকগৰাকী –
(ক) আদাম স্মিথ।
(খ) জে এম কেইনছ।
(গ) জে বি ছে।
(ঘ) ইয়াৰে এজনো নহয়।
উত্তৰঃ জন মেইনার্ড কেইন্স।
প্রশ্ন ১৫। সমষ্টিবাদী অর্থনীতিৰ বিষয়বস্তুত তলত দিয়াবোৰৰ কোনটো অন্তর্ভূক্ত নহয়—
(ক) পৰিশোধৰ।
(খ) ৰাষ্ট্ৰীয় আয়।
(গ) ধনৰ চাহিদা।
(ঘ) উপভোক্তাৰ উদ্বৃত্ত।
উত্তৰঃ উপভোক্তাৰ উদ্বৃত্ত।
প্রশ্ন ১৬। শুদ্ধ নে অশুদ্ধ লিখা:
সমষ্টিবাদী অর্থনীতি এটা অৰ্থনীতিৰ সমুদায় অর্থনৈতিক চলকৰ সৈতে জড়িত।
উত্তৰঃ শুদ্ধ।
প্রশ্ন ১৭। সমষ্টিবাদী অর্থবিজ্ঞান কি?
উত্তৰঃ সমষ্টিবাদী অর্থনীতি মানে হ’ল য’ত অর্থনীতি এখনৰ উপাদানসমূহক সামগ্রিক হিচাপে অধ্যয়ন কৰা হয়। যেনে— জাতীয় আয়, নিয়োগ মুদ্ৰা আদি।
প্রশ্ন ১৮। অর্থনৈতিক প্রতিনিধি বুলিলে কি বুজা?
উত্তৰঃ অর্থনৈতিক প্রতিনিধি বুলিলে সেইবোৰ ব্যক্তি বা অনুষ্ঠানক বুজায় যিবোৰে অর্থনৈতিক সিদ্ধান্ত গ্রহণ কৰে।
প্রশ্ন ১৯। খালী ঠাই পূৰ কৰা:
সমষ্টিবাদী অর্থনীতি এটা অৰ্থনীতিৰ অৰ্থনৈতিক চলকৰ সৈতি জড়িত।
উত্তৰঃ সামগ্রিক।
প্রশ্ন ২০। সমষ্টিবাদী অর্থবিজ্ঞানৰ দুটা বিষয়বস্তু উল্লেখ কৰা।
উত্তৰঃ সমষ্টিবাদী অর্থবিজ্ঞানৰ দুটা বিষয়বস্তু হ’ল – ৰাষ্ট্ৰীয় আয় আৰু ভোগ ব্যয়।
প্রশ্ন ২১। ‘An Enquiry into the Nature and cause of the wealth of Nations (ৰাষ্ট্ৰৰ সম্পদৰ প্ৰকৃতি আৰু কাৰণ সম্পৰ্কে এটি অনুসন্ধান) নমৰ গ্ৰন্থখন কোনে লিখিছিল?
উত্তৰঃ আদাম স্মিথ।
প্রশ্ন ২২। চূড়ান্ত দ্ৰব্যৰ সংজ্ঞা দিয়া।
উত্তৰঃ যিটো দ্ৰব্য আৰু কোনো ৰূপান্তৰৰ প্ৰক্ৰিয়াৰ মাজেৰে যাব নালাগে আৰু অন্তিম ব্যৱহাৰৰ উপযোগী হৈ উঠে তাকে চূড়ান্ত দ্ৰব্য বুলি কোৱা হয়।
প্রশ্ন ২৩। এটা অৰ্থনীতিৰ মুঠ বিনিয়োগৰ সংজ্ঞা দিয়া।
উত্তৰঃ অস্তিম দ্রব্যসমূহৰ অন্তৰ্ভুক্ত মূলধনী দ্রব্যসমূহকে অর্থনীতিখনৰ মুঠ বিনিয়োগ বোলে। যেনে — যন্ত্রপাতি, গৃহ, পথ ইত্যাদি।
প্রশ্ন ২৪। অৱক্ষয়ৰ সংজ্ঞা দিয়া।
উত্তৰঃ মুঠ বিনিয়োগৰ পৰা মূলধনৰ চলিত ক্ষয়-ক্ষতিৰ মূল্য বাদ দিলে যি অংশ থাকে তাকেই অবক্ষয় বোলে।
প্রশ্ন ২৫। মুঠ ঘৰুৱা উৎপাদনৰ সংজ্ঞা দিয়া।
উত্তৰঃ এখন দেশত এক বিত্তীয় বছৰত যি পৰিমাণৰ দ্ৰব্য সামগ্ৰী উৎপাদন হয় তাৰ মুদ্ৰাগত মূল্যই হৈছে মুঠ ঘৰুৱা উৎপাদন ।
প্রশ্ন ২৬। এবিধ মূলধনী দ্ৰব্যৰ দুৰ্ঘটনাজনিত লোকচানক অৱক্ষয়ে সামৰি লয়নে?
উত্তৰঃ মূলধনী দ্ৰব্যৰ আকস্মিক ক্ষয়-ক্ষতিৰ অন্তর্ভুক্ত নহয়। স্বাভাবিক হৰণ-ভগনহে অন্তর্ভুক্ত হয়।
প্রশ্ন ২৭। খালী ঠাই পূৰণ কৰা:
(ক) এটা বছৰত এটা অৰ্থনীতিৰ চূড়ান্ত দ্ৰব্যৰ মুঠ উৎপাদন উপভোগ বা – ৰূপত হ’ব পাৰে। –
উত্তৰঃ বিনিয়োগৰ ৰূপত।
(খ) অৱক্ষয় হ’ল স্থায়ী মূলধনৰ –
উত্তৰঃ উপভোক্তা।
(গ) GNP = GDP + (মুঠ জাতীয় উৎপাদন – মুঠ ঘৰুৱা উৎপাদন + -)
উত্তৰঃ GNP = GDP + উপাদানৰ বিদেশৰ পৰা পোৱা নিশুট আয়। (Net factor Income from abroad)
(ঘ) NNP = GNP – (শুদ্ধ জাতীয় উৎপাদন – মুঠ জাতীয় উৎপাদন — )
উত্তৰঃ NNP – GNP – মূলধনৰ ক্ষয়-ক্ষতি (Depreciation)
প্রশ্ন ২৮ ৷ বৃহৎ অর্থনৈতিক আৰ্হি কি?
উত্তৰঃ যি অৰ্থনৈতিক আৰ্হিয়ে প্রকৃত অর্থনীতিৰ বিশদ বিৱৰণ দাঙি নধৰে, মাথোঁ অৰ্থনৈতিক কাৰ্যকলাপৰ কেতবোৰ বৈশিষ্ট্যক লৈ কাল্পনিকভাৱে যি আৰ্হি প্রস্তুত কৰে সেয়ে বৃহৎ অর্থনৈতিক আৰ্হি।
প্রশ্ন ২৯। এটা ব্যৱসায়িক প্ৰতিষ্ঠানৰ সংযোজিত মূল্য কি?
উত্তৰঃ এটা ব্যৱসায়িক প্রতিষ্ঠানৰ মূল্য সংযোজন হ’ল প্ৰতিষ্ঠানৰ উপাদানৰ মূল্য-প্ৰতিষ্ঠানৰ ব্যৱহৃত মধ্যবর্তী দ্ৰব্যৰ মূল্য।
প্রশ্ন ৩০। কাৰ মাজত এটা ব্যৱসায়িক প্ৰতিষ্ঠানৰ সংযোজিত মূল্য বিতৰণ কৰা হয়?
উত্তৰঃএটা ব্যৱসায়িক প্ৰতিষ্ঠানৰ মূল্য সংযোজিত মূল্য উৎপাদনৰ উপাদানৰ মাজত বিতৰণ কৰা হয়। (ভূমি, মূলধন, শ্ৰম আৰু উদ্যোক্তা)।
প্রশ্ন ৩১। ৰাষ্ট্ৰীয় আয় জোখাৰ সময়ত আমি কিন্তু সংযোজিত মূল্য গণনা কৰা প্ৰয়োজন?
উত্তৰঃ দেশখনৰ মুঠ ঘৰুৱা উৎপাদন মূল্যক জাতীয় আয় জোখ লোৱাৰ সময়ত সংযোজিত মূল্য গণনা কৰাৰ প্ৰয়োজন। কাৰণ উৎপাদিত সামগ্ৰীৰ দ্বিগণনা হোৱাৰ সম্ভাৱনা নাথাকে।
প্রশ্ন ৩২। শুদ্ধ নে অশুদ্ধ লিখা:
এটা ব্যৱসায়িক প্ৰতিষ্ঠানৰ সংযোজিত মূল্য হ’ল এটা প্রবাহ চলক।
উত্তৰঃ সঁচা।
প্রশ্ন ৩৩। মুঠ সংযোজিত মূল্য কি?
উত্তৰঃ মুঠ সংযোজিত মূল্য হ’ল অর্থনীতি এখনত উৎপাদিত দ্রব্য আৰু সেৱাসমূহৰ মুদ্রাগত মূল্যৰ মুঠ পৰিমাণ। ইয়াক মুঠ ঘৰুৱা উৎপাদন (Gross Domestic Product) বুলি কোৱা হয়। (GDP + Depreciation)
প্রশ্ন ৩৪। সর্বমুঠ সংযোজিত মূল্য কি?
উত্তৰঃ সৰ্বমুঠ সংযোজিত বা নিওট মূল্য হ’ল মুঠ সংযোজিত মূল্যৰ পৰা ক্ষয়-ক্ষতির মূল্য বাদ দিলে থকা অংশটো অর্থাৎ NVA = GVA-D
প্রশ্ন ৩৫। সম্পদ তালিকা কি?
উত্তৰঃ সম্পদ তালিকা হ’ল এটা বছৰৰ পৰা আন এটা বছৰলৈ বিক্ৰী নোহোৱা সম্পূর্ণ বা অসম্পূর্ণ দ্রব্য।
প্রশ্ন ৩৬। শুদ্ধ নে অশুদ্ধ লিখা:
সম্পদ তালিকা হ’ল এক মজুত চলক, কিন্তু সম্পদ তালিকাৰ পৰিৱৰ্তন হ’ল এক প্রবাহ চলক।
উত্তৰঃ শুদ্ধ।
প্রশ্ন ৩৭। শুদ্ধ নে অশুদ্ধ লিখাঃ সম্পদ তালিকাক মূলধন হিচাপে ধৰা হয়।
উত্তৰঃ শুদ্ধ।
প্রশ্ন ৩৮। GDPৰ প্ৰাক্-কলনত কিয় মধ্যবর্তী ব্যয়ক অন্তৰ্ভূক্ত কৰা নহয়?
উত্তৰঃ GDP ৰ প্ৰাক কলনত অন্তিম বা চূড়ান্ত দ্ৰব্যৰ মূল্যহে অন্তৰ্ভুক্ত কৰা হয় আৰু ইয়াত মধ্যৱৰ্তী দ্ৰব্যৰ মূল্য সোমাই থাকে সেয়ে GDP গণনাত মধ্যবর্তী দ্ৰব্যৰ মূল্য বেলেগকৈ ধৰা নহয়।
প্রশ্ন ৩৯। তলত দিয়া সমীকৰণৰ কোনটো অংশই বাজেট ঘাটাক সূচায়?
(I – S) + (G – T) = M – X
উত্তৰঃ (G-T) সমীকৰণৰ সহায়ত চৰকাৰে লাভ কৰা ৰাজহতকৈ ব্যয় কিমান বেছি তাক নিৰ্ধাৰণ কৰা হয়। ইয়াক ঘাটী বাজেট বোলে।
প্রশ্ন 80। (I – S) + (G – T) = M – X এই সমীকৰণত M – X অংশটোৱে কি সুচায়?
উত্তৰঃ M-X টোৱে বাণিজ্যিক ঘাটি (Trade defiet) সুচায় য’ত (X) ৰপ্তানিৰ তুলনাত (M) আমদানিৰ ব্যয় অধিক।
প্রশ্ন ৪১। মুঠ ঘৰুৱা উৎপাদনৰ (GDP) সংকোচক কি?
উত্তৰঃ সাধাৰণ আৰু প্ৰকৃত GDP অনুপাতকেই GDPৰ সংকোচক বুলি কোৱা হয়।
প্রশ্ন ৪২। ধৰা হ’ল বজাত দামৰ এখন দেশৰ GDP হ’ল ৯৫০ কোটি টকা। যদিহে অৱক্ষণাৰ পৰিমাণ 100 কোটি টকা হয়, তেন্তে ৰজাৰ দামত NDP নিৰ্ণয় কৰা।
উত্তৰঃ NDP = GDP Depreciation (অৱক্ষয়)
NDP = (950-100) = 850 কোটি টকা।
প্রশ্ন ৪৩। আধুনিক অর্থবিজ্ঞানৰ প্ৰতিষ্ঠাপক পিতৃ কোন?
উত্তৰঃ এডাম স্মিথ।
প্রশ্ন ৪৪। জাতীয় আয় কি?
উত্তৰঃ জাতীয় আয় হ’ল এখন দেশত এটা বছৰত উৎপাদিত হোৱা দ্ৰব্য আৰু সেৱা সমূহৰ মুঠ বজাৰ মূল্য।
প্রশ্ন ৪.৫। জাতীয় আয় গণনাৰ প্ৰসংগ দ্বৈত গণনাৰ সমস্যা বুলিলে কি বুজা?
উত্তৰঃ আয় গণনাৰ ক্ষেত্ৰত কেতবোৰ মধ্যবর্তী সামগ্ৰী হিচাপত দুবাৰ বা ততোধিক ধৰা হয়। যেনে— কলাহ আৰু কাপোৰ। দ্বৈত হিচাপৰ ফলত মুঠ ঘৰুৱা উৎপাদন শুদ্ধকৈ পাব নোৱাৰি।
প্রশ্ন ৪৬। উপভোগ্য সামগ্রী কাক কয়?
উত্তৰঃ খাদ্য, বস্ত্ৰ আৰু বিনোদনৰ সেৱাসমূহ যিবোৰ চূড়ান্ত উপভোক্তাই উপভোগৰ বাবে ক্ৰয় কৰে, সেইসমূহ দ্ৰব্যক উপভোগ্য সামগ্রী বোলা হয়।
প্রশ্ন ৪৭। ভিত্তিবর্ষ কাক বোলে?
উত্তৰঃ যিটো বছৰৰ ওপৰত ভিত্তি কৰি চলিত বছৰৰ চলকসমূহৰ তুলনা হয়, তাকে ভিত্তিবর্ষ বোলে।
প্রশ্ন ৪৮। উপভোক্তাৰ ‘দৰ-সূচক’ কি?
উত্তৰঃ যি দৰ সূচকৰ সময়ত সামগ্ৰীৰ মুচুৰা মূল্যৰ পৰিৱৰ্তনৰ জোন লোৱা হয় তাক উপভোক্তাৰ দৰ-সুচক বোলা হয়।
প্রশ্ন ৪৯। ৰাষ্ট্ৰীয় আয় গণনাৰ প্ৰসংগত অবস্থাৰ ধাৰণাটো লিখা।
উত্তৰঃ ৰাষ্ট্ৰীয় আয় গণনা কৰোঁতে অৱক্ষাৰ মূল্য অন্তর্ভুক্ত কৰা নহয়। অৱক্ষয়ৰ অৰ্থ হ’ল উৎপাদন প্রক্রিয়াত নিয়োজিত মূলধনী দ্ৰব্যৰ হৰণ – ভগন বা অৱক্ষয়ত হোৱা ব্যয়। এই ব্যয়ক উৎপাদনৰ ব্যয়ত মুঠ ৰাষ্ট্ৰীয় উৎপাদনৰ পৰা বিয়োগ কৰি ৰাষ্ট্ৰীয় আয় পোৱা যায়।
প্রশ্ন ৫০। কি অৱস্থাত এখন দেশৰ GDP, GNP ৰ সমান হ’ব পাৰে?
উত্তরঃ যদি বিদেশৰ পৰা পোৱা উপাদানৰ নিগুট আয় (NTIA) শূণ্য হয়, তেতিয়া এখন দেশৰ GDP আৰু GNP পৰস্পৰ সমান হ’ব।
প্রশ্ন ৫১। হস্তান্তৰিত পৰিশোধ কি?
উত্তৰঃ উৎপাদনত অংশ নোলোৱাকৈ লাভ কৰা আয়কে হস্তান্তৰিত পৰিশোধ বোলা হয়। যেনে- চৰকাৰে দিয়া পেন্সন, নিবনুৱা ভাট্টা ইত্যাদি।
প্রশ্ন ৫২। আয়ৰ চক্ৰীয় প্রবাহত উদ্ভৱ হোৱা যিকোনো দুটা সুৰুঙাৰ বিষয়ে উল্লেখ কৰা।
উত্তৰঃ আয়ৰ চক্ৰীয় প্ৰবাহত উদ্ভৱ হোৱা যিকোনো দুটা সুৰুঙা হ’ল — সঞ্চয় আৰু কৰ।
প্রশ্ন ৫৩। GNP = GDP + ___________ (খালী ঠাঁই পূৰ কৰা)
উত্তৰঃ উপাদানৰ বিদেশৰ পৰা পোৱা নিগুট আয়।
প্রশ্ন ৫৪। নিগুট পৰোক্ষ কৰ হৈছে –
(a) পৰোক্ষ কৰ + সাহায্য।
(b) সাহায্য – পৰোক্ষ কৰ।
(c) পৰোক্ষ কৰ – সাহায্য।
(b) (b) আৰু (c) উভয়ে।
উত্তৰঃ (a) পৰোক্ষ কৰ + সাহায্য।
প্রশ্ন ৫৩। ব্যক্তিগত ব্যয়যোগ্য আয়ৰ সংজ্ঞা লিখা।
উত্তৰঃ ব্যক্তিগত আয়ৰ পৰা ব্যক্তিগত কৰ আৰু অন্য পৰিশোধ বিয়োগ কৰিলে ব্যক্তিগত ব্যয়যোগ্য আয় পোৱা যায়।
(খ) চমু প্ৰশ্ন উত্তৰঃ
প্রশ্ন ১। পুঁজিবাদী অর্থনীতিৰ বৈশিষ্ট্যসমূহ উল্লেখ কৰা।
উত্তৰঃ পুঁজিবাদী অর্থনীতিৰ বৈশিষ্ট্যসমূহ হ’ল—
১। কোনো ব্যক্তি তথা পুঁজিপতিয়ে অর্থনৈতিক উৎপাদানৰ উপায়সমূহৰ সিদ্ধান্ত গ্ৰহণ কৰে।
২। লাভ সৰ্বোচ্চকৰণৰ প্ৰধান উদ্দেশ্য।
৩। উৎপাদিত দ্রব্যসমূহ বিক্ৰীৰ বাবেহে, জনসাধাৰণৰ কল্যাণৰ বাবে নহয়।
৪। মূল্যৰ বিনিময়ত শ্ৰমৰ ক্রয়-বিক্রয় চলে, ইয়েই হৈছে মজুৰি।
প্রশ্ন ২। এখন ৰাষ্ট্ৰৰ অর্থনৈতিক কার্যসমূহ কি কি?
উত্তৰঃ এখন ৰাষ্ট্ৰৰ অৰ্থনৈতিক কাৰ্যসমূহ হ’ল—
১। ৰাজহ সংগ্ৰহ – য’ত কৰ-কাটল সংগ্ৰহ কৰি পোৱা ৰাজহেৰে জনসাধাৰণৰ কল্যাণৰ -বাবে কাম-কাজ কৰে।
২। শিক্ষাৰ সম্প্ৰসাৰণৰ জৰিয়তে অর্থনৈতিক উন্নয়ন সাধন কৰা।
৩। জনস্বাস্থ্যৰ সম্প্ৰসাৰণ কৰা।
৪। অর্থনৈতিক উন্নয়ন আৰু বিকাশৰ বাবে উপযুক্ত আন্তঃ গাঁথনি স্থাপন কৰা।
প্রশ্ন ৩। এটা অৰ্থনীতিৰ বহিঃখণ্ডৰ সৈতে জড়িত বাণিজ্যৰ প্ৰকাৰবোৰ লিখা।
উত্তৰঃ অৰ্থনীতিৰ বহিঃখণ্ডৰ সৈতে জড়িত মূল মাধ্যম হৈছে— দেশৰ উৎপাদিত দ্রব্যসামগ্ৰীসমূহ বহিঃদেশলৈ প্ৰেৰণ কৰা প্ৰক্ৰিয়া যাক ৰপ্তানি বোলে।
১। ৰপ্তানিকৃত বাণিজ্যৰ জৰিয়তে দেশৰ উৎপাদিত দ্রব্য অন্য দেশলৈ বিক্ৰী কৰা।
২। আমদানিকৃত বাণিজ্যৰ দ্বাৰা বিশ্বৰ অন্যান্য দেশৰ পৰা অত্যাৱশ্যকীয় সামগ্রী ক্রয় কৰা।
৩। বৈদেশিক মূলধন বিনিয়োগৰ দ্বাৰা ঘৰুৱা দেশলৈ মূলধন প্ৰবাহিত কৰা।
প্রশ্ন ৪। এখন ৰাষ্ট্ৰৰ যিকোনো তিনিটা অর্থনৈতিক কার্য উল্লেখ কৰা।
উত্তৰঃ এখন ৰাষ্ট্ৰৰ যিকোনো তিনিটা মূল অর্থনৈতিক কার্য হ’ল—
১। উৎপাদন কার্য: উৎপাদন কার্যৰ দ্বাৰা দ্রব্য সামগ্ৰী আৰু সেৱা যোগান ধৰে। এনে প্ৰক্ৰিয়াৰ মাজেদি উৎপাদনৰ উপাদানসমূহ প্ৰয়োগ কৰি দ্ৰব্য সামগ্ৰী যোগান ধৰে।
২। বিতৰণ: উৎপাদিত দ্রব্যসামগ্ৰীসমূহ বজাৰলৈ যোগান ধৰা আৰু সেইসমূহ সম বিতৰণ কৰি আৰ্থিক উন্নতি কৰা।
৩। উপভোগ কার্য: দ্রব্যসামগ্ৰী আৰু উপভোক্তাৰ মাজৰ সম্পৰ্কই হৈছে উপভোগ কার্য। য’ত দ্রব্যসামগ্রী উপভোক্তাই ক্রয় কৰে মূল্যৰ বিনিময়ত।
প্রশ্ন ৫। ১৯২৯ চনৰ মহা মন্দাৱস্থা আৰু সমষ্টিবাদী অর্থনীতিৰ মাজত তুমি কিবা সম্পর্ক দেখানে? চমুকৈ ব্যাখ্যা কৰা।
উত্তৰঃ দেখো। কিয়নো ১৯২৯ চনৰ মন্দাৱস্থাৰ ফলতেই সমষ্টিবাদী অর্থনীতিৰ সূচনা হয়। ১৯২৯ চনৰ মন্দাৱস্থাৰ প্ৰভাৱৰ সমগ্ৰ বিশ্বৰ লগতে আমেৰিকা আৰু ইউৰোপতো অর্থনৈতিক সংকটে দেখা দিয়ে, যাৰ ফলস্বৰূপে উৎপাদন আৰু নিয়োগ হ্রাস পাবলৈ ধৰে। আৰু লাহে লাহে অর্থনৈতিক সংকটে দেখা দিয়ে। এনে দীর্ঘকালীন অর্থনৈতিক সমস্যা সমাধানৰ উপায় হ’ল কেইন্সৰ দ্বাৰা প্ৰকাশিত গ্রন্থ The General Theory of Employment, Interest and Money যাৰ ফলস্বৰূপে অর্থনৈতিক কার্যক্রমণিকাৰ সম্পৰ্কে নতুন চিন্তাধাৰাৰ সূচনা হ’ল। এয়েই হ’ল সমষ্টিবাদী অর্থনীতিৰ জন্ম।
প্রশ্ন ৬। সমষ্টিবাদী অর্থনৈতিক সিদ্ধান্ত গ্ৰহণকাৰী প্ৰতিনিধি কেইটিমানৰ নাম উল্লেখ কৰা।
উত্তৰঃ সমষ্টিবাদী অর্থনৈতিক সিদ্ধান্ত গ্ৰহণকাৰী প্ৰতিনিধিৰ নামসমূহ হ’ল—
(১) চৰকাৰ অথবা সমাজৰ দ্বাৰা অৰ্থনৈতিক সিদ্ধান্ত গ্রহণ।
(২) বজাৰৰ চাহিদা আৰু যোগান ব্যৱস্থা।
(৩) কৰৰ্নীতি আৰু বাজেটনীতিৰ দ্বাৰা।
(৪) ৰিজাৰ্ভ বেংকৰ নীতি আৰু আদৰ্শৰ দ্বাৰা, অর্থনীতিত মুদ্ৰাৰ যোগানৰ সুস্থিৰতা অনা আদি।
(গ) চমু প্ৰশ্নৰ উত্তৰঃ
প্রশ্ন ১। বৃহৎ অর্থনীতিৰ জন্মৰ ইতিহাস চমুকৈ ব্যাখ্যা কৰা।
উত্তৰঃ বৃহৎ অথবা সমষ্টিবাদী অর্থনীতিৰ সূচনা হয় ১৯৩৬ চনত। কেইন্সৰ বিখ্যাত গ্রন্থ নিয়োগ, সুতৰ হাৰ আৰু মুদ্ৰাৰ সাধাৰণ তত্ত্বই অর্থনৈতিক সমস্যা সমাধানৰ নতুন প্রচেষ্টা। ১৯২৯ চনত সমগ্ৰ বিশ্বতে অর্থনৈতিক মন্দাৱস্থাই দেখা দিয়ে যাৰ প্ৰভাৱ আমেৰিকা আৰু ইউৰোপৰ দেশসমূহলৈ সম্প্ৰসাৰণ হ’ল। সংস্থাপিত অর্থনীতিবিদসকলৰ অর্থনীতি এখনত বাহাল থকা পূর্ণ নিয়োগ অৱস্থান পৰিবর্তন ঘটে। আমেৰিকা যুক্তৰাষ্ট্ৰটো উৎপাদন হ্রাস, নিয়োগৰ হ্ৰাস পাবলৈ ধৰিলে লগে লগে আয়ৰ পৰিমাণ নিম্নগামী হৈ আহিল ফলত অর্থনৈতিক সমস্যাই দীর্ঘকালীন অর্থনৈতিক সংকটৰ সন্মুখীন কৰিলে। তেনে সময়তেই বিখ্যাত অর্থনীতিবিদ। মেইনার্ড কেইন্সে আৰু আন আন অর্থনীতিবিদসকলৰ নতুন চিন্তাধাৰাই সমষ্টিবাদী বা বৃহৎ! অর্থনীতিৰ জন্ম দি মন্দাৱস্থাৰ পৰা ক্ৰমে অৱকাশ ঘটালে।
প্রশ্ন ২। ১৯২৯ চনৰ মহা মন্দাৱস্থাৰ বিষয়ে চমুকৈ ব্যাখ্যা কৰা।
উত্তৰঃ ১৯২৯ চনৰ অৰ্থনৈতিক মন্দাবস্থা বিশ্ব অর্থনীতিৰ এক উল্লেখযোগ্য অধ্যায় । সংস্থাপিত অর্থনীতিবিদসকলে বিশ্বাস কৰিছিল ‘চেৰব্ৰিধি নীতি’ য’ত যোগানে সদায় চাহিদাৰ দৃষ্টি কৰে সেয়েহে অর্থনীতি সদায় পূর্ণ নিযোগ অবস্থাত থাকে। কিন্তু ১৯২৯ চনত ইয়াৰ ব্যতিক্রম ঘটিল।
সমগ্ৰ বিশ্বতে অর্থনৈতিক সংকটে দেখা দিলে। ইয়াৰ প্রভাৱ আমেৰিকা আৰু ইউৰোপৰ দেশসমূহতো বিয়পি পৰে। আমেৰিকাৰ প্ৰায়বোৰ stock exchange বন্ধ হোৱাৰ পথত। নিবনুৱাৰ হাৰ ১৯২৯ চনৰ ৩.২% ৰ পৰা ১৯৩৩ চনত ২৫% লৈ বৃদ্ধি পাবলৈ ধৰে। উৎপাদনৰ হাসৰ লগে লগে সামগ্রীর চাহিদাও নিম্নগামী হৈ জাতীয় আয়ৰ পৰিমাণ ৩০% হ্রাস পায়। ১৯২৯ চনৰ পৰা প্ৰায় ১০ বছৰ ধৰি বৰ্তি থাকিল। ঠিক তেনেক্ষণতে লর্ড মেইনার্ড কেইন্সৰ দ্বাৰা প্ৰকাশিত গ্রন্থ ‘The General Theory of Employment, Interest and Moneyৰ দ্বাৰা অৰ্থনৈতিক সমস্যাসমূহৰ উপায় বিশ্লেষণ কৰিলে। যিয়ে সমষ্টিবাদী অর্থনীতিৰ সূচনা কৰে। ক্ৰমে মন্দাৱস্থাৰ অৱসান ঘটে।
প্রশ্ন ৩। সমষ্টিবাদী অর্থনৈতিক দৃষ্টিভংগীৰ পৰা এটা অৰ্থনীতিৰ চাৰিটা প্ৰধান খণ্ডৰ উল্লোখ আৰু ব্যাখ্যা কৰা।
উত্তৰঃ সমষ্টিবাদী অর্থনৈতিক দৃষ্টিভংগীত অর্থনীতি এখনৰ মূল চাৰিটা খণ্ড হ’ল–
(ক) পৰিয়াল খণ্ড (Household Sector): চৰকাৰে পৰিয়াল খণ্ডৰ পৰা বুজন পৰিমাণৰ কৰ ৰাজহ সংগ্ৰহ কৰে আৰু পৰিয়ালেই ব্যক্তিগত প্ৰতিষ্ঠানৰ বাবে বজাৰৰ সৃষ্টি কৰে। লগতে পৰিয়ালেই ব্যক্তিগত প্রতিষ্ঠান আৰু চৰকাৰী খণ্ডলৈ শ্ৰমৰ যোগান ধৰে।
(খ) ব্যৱসায়িক প্রতিষ্ঠান (Firms): ব্যবসায়িক প্রতিষ্ঠানসমূহে উৎপাদিত সামগ্রী বজাৰলৈ পঠায় আৰু লাভ অর্জন কৰে, পুনৰ উৎপাদনত ব্যয় কৰে।
(গ) চৰকাৰ (Government): চৰকাৰে দেশখনক ৰক্ষণাবেক্ষণৰ বাবে কিছুমান গুরুত্বপূৰ্ণ নীতি বলবৎ কৰে। শিক্ষা, স্বাস্থ্য, আন্তঃগাঁথনি উন্নয়নৰ বাবে ৰাজহ ব্যয় কৰে। এইক্ষেত্ৰত অৰ্থনীতিৰ কাৰ্যকলাপত হস্তক্ষেপ কৰে।
(ঘ) বাহ্যিক খণ্ড (External Sectors): বৈদেশিক বাণিজ্যৰ জৰিয়তে আমদানি আৰু ৰপ্তানিৰ ভূমিকা গ্ৰহণ কৰে। বৈদেশিক ঋণ, বৈদেশিক বাণিজ্যৰ লেনদেন, মূলধনৰ যোগান আদিয়ে সমগ্র অর্থনীতিৰ ওপৰত প্ৰভাৱ পেলায়।
প্রশ্ন ৪। সমষ্টিবাদী অর্থনীতি জড়িত থকা ক্ষেত্ৰসমূহ চমুকৈ ব্যাখ্যা কৰা।
উত্তৰঃ সমষ্টিবাদী অর্থনীতিত জড়িত থকা ক্ষেত্ৰ তথা বিষয়বস্তুবোৰ হ’ল—
(ক) ৰাষ্ট্ৰীয় আয় আৰু নিয়োজন (National Income and Employment): সমষ্টিগত অৰ্থবিজ্ঞানত দেশৰ জাতীয় উৎপাদন তথা আর কি কি উপাদানৰ ওপৰত নিৰ্ভৰ কৰে আৰু জাতীয় উৎপাদন আৰু আয়ৰ হ্রাস-বৃদ্ধি কি কি কাৰণত হয় সেইবোৰ ধাৰ্য কৰা হয়।
(খ) মুদ্রাস্ফীতি (Inflation): সমষ্টিগত অর্থবিজ্ঞানত অর্থনীতি এখনত মুদ্রাস্ফীতি হ্রাস-বৃদ্ধিৰ কাৰণ আৰু ফলাফলৰ বিষয়ে ইয়াত আলোচনা কৰা হয়। আৰু মুদ্রাস্ফীতিজনিত উপাদানসমূহৰ প্ৰভাৱে মুদ্ৰাৰ যোগানত কেনেদৰে প্ৰতিক্ৰিয়া কৰে তাৰ আলোচনা কৰে।
(গ) অর্থনৈতিক বিকাশ (Economic Growth): এখন দেশৰ অৰ্থনৈতিক বিকাশৰ অধ্যয়ন সমষ্টিগত অৰ্থবিজ্ঞানৰ এক বিশেষ বিষয়বস্তু। দেশখনত প্ৰকৃত জাতীয় আয়ৰ ধাৰাবাহিক বৃদ্ধিক অর্থনৈতিক বিকাশক বুজায়।
(ঘ) পৰিশোধৰ সমতা আৰু বিনিময় হাৰ (Balance of payment and Exchange rate): সমষ্টিগত অৰ্থবিজ্ঞানৰ আন এক ক্ষেত্ৰ হৈছে পৰিশোধৰ ক্ষমতা আৰু বৈদেশিক বিনিময় লেনদেন। পৰিশোধৰ ক্ষমতাই পৃথিৱীৰ অন্যান্য দেশৰ লগত হোৱা বাণিজ্যিক লেনেদেনৰ প্ৰণালীবদ্ধ হিচাবক বুজায়। বিনিময় হাৰে অন্যান্য দেশৰ লগত হোৱা মুদ্ৰাৰ বিনিময়ৰ হাৰক সুচায়। সমষ্টিগত অর্থবিজ্ঞানত পৰিশোধ আৰু বিনিময় হাৰৰ পৰস্পৰ সম্পৰ্ক বিশ্লেষণ কৰা হয়।
প্রশ্ন ৫। ব্যক্তিবাদী অর্থনীতি আৰু সমষ্টিবাদী অৰ্থনীতিৰ মাজৰ পাৰ্থক্য লিখা।
উত্তৰঃ সমষ্টিবাদী আৰু ব্যক্তিবাদী অৰ্থবিজ্ঞানৰ মাজৰ পাৰ্থক্যসমূহ হ’ল:
| ব্যক্তিবাদী অর্থবিজ্ঞান | সমষ্টিবাদী অর্থবিজ্ঞান | 
| (i) গ্রীক শব্দ Microsৰ পৰা Micro শব্দ আহিছে, যাৰ অর্থ ক্ষুদ্র। | (i) Macro শব্দটো গ্ৰীক শব্দ Mcrosৰ পৰা আহিছে, যাৰ অৰ্থ হ’ল বহল। | 
| (ii) ব্যক্তিগত অর্থবিজ্ঞানত অর্থনীতিখনৰ ক্ষুদ্রগোট বা প্ৰতিষ্ঠানৰ আলোচনা কৰে। | (ii) সমষ্টিগত অর্থবিজ্ঞানত সমগ্ৰ অৰ্থনীতিৰ বিষয়সমূহৰ ব্যাপক অধ্যয়ন কৰে। | 
| (iii) ইয়াৰ মূল বিষয়বন্ধসমূহ হ’ল যোগান আৰু চাহিদা তত্ত্ব, উৎপাদন তত্ত্ব, বিতৰণ তত্ত্ব আদি। | (iii) ইয়াৰ মূল বিষয়বস্তুসমূহ হ’ল সামগ্রিক যোগান আৰু চাহিদা, জাতীয় আয় আৰু নিয়োগ, মুদ্রা, বেংক আদি । | 
| (iv) ইয়াৰ পৰিসৰ ঠেক আৰু বিষয়বস্তুৰ সঠিক জ্ঞান পোৱা যায় । | (iv) ইয়াৰ পৰিসৰ ব্যাপক আৰু থূলমূলকৈ বিষয়-বস্তুৰ জ্ঞান পোৱা যায়। | 
প্রশ্ন ৬। “সমষ্টিবাদী অর্থনীতি এখন অৰ্থনীতিৰ সামগ্রিক চলকসমূহৰ লগত জড়িত হৈ থাকে।”— ব্যাখ্যা কৰা।
উত্তৰঃ সমষ্টিবাদী অর্থনীতিত এখন দেখৰ মুঠ উৎপাদন আৰু নিয়োগৰ স্তৰসমূহ কিদৰে বিভিন্ন উপাদান বা চলকৰ লগত সম্পর্কযুক্ত সেই বিষয়ে অধ্যয়ন কৰা হয়। এই অধ্যয়নত নিৰ্দিষ্ট এটা কাল্পনিক বস্তুৰ ওপৰত আলোকপাত কৰা হয় আৰু ইয়াৰ ক্ষেত্ৰত কি সংঘটিত হয় সেইটো লক্ষ্য কৰা হয়। অর্থাৎ সমষ্টিবাদী অর্থনীতিৰ অধ্যয়নত উল্লেখ কৰা ধৰণে সৰলীকৰণ ব্যৱস্থা সৃষ্টি কৰা হয় আৰু বজাৰত দৰাচলতে ক্রয়-বিক্রয় হোৱা বহুতো আচল দ্ৰব্যৰ ক্ষেত্ৰত প্রকৃততে কি ঘটিছে সেইটো অধ্যয়নৰ পৰা ব্যৱহাৰিকভাৱে বিৰত থকা হয়। সাধাৰণতে দাম, সুদ, মজুৰি আৰু লাভ আদিৰ ক্ষেত্ৰত কি সংঘটিত হয় সেইটোহে লক্ষ্য কৰা হয়, কাৰণ এটা চলকৰ ক্ষেত্ৰত যি ঘটে, কম/বেছি পৰিমাণে আনবোৰৰ ক্ষেত্ৰটো সেইটো সংঘটিত হয়। বিশেষকৈ যেতিয়া এই চলকবোৰ উচ্চ হাৰত পৰিবৰ্তন হ’বলৈ ধৰে, যেনে — যেতিয়া ‘মূল্যস্তৰ ঊৰ্ধ্বগামী হয়, (যাক মুদ্রাস্ফীতি বোলা হয়) অথবা নিয়োগৰ পৰিমাণ আৰু উৎপাদনৰ স্তৰ নিম্নগামী হয়, তেতিয়া এই চলকবোৰৰ পৰিৱৰ্তনে আন সকলো ধৰণৰ বস্তুৰ প্ৰত্যকৰে পৰিৱৰ্তন হোৱাৰ সাধাৰণ নিৰ্দেশ দিয়ে ৷ কাৰণ সামগ্রিক চলকবোৰৰ পৰিৱৰ্তন হ’লে গোটেই অর্থনীতিৰ পৰিৱৰ্তন হোৱা দেখা যায়।
প্রশ্ন ৭। পুঁজিবাদী অর্থনীতি কাক বোলে? পুঁজিবাদী অর্থনীতিৰ প্ৰধান বৈশিষ্ট্যবোৰ লিখা।
উত্তৰঃ পুঁজিবাদী দেশ এখনত উৎপাদন কার্যবোৰ মূলতঃ পুঁজিবাদী ব্যৱস্থাৰ দ্বাৰা পৰিচালিত হয়। অর্থাৎ অর্থনৈতিক ব্যৱস্থাত অর্থনৈতিক সিদ্ধান্তসমূহ ব্যক্তিগত স্বাৰ্থত গ্ৰহণ কৰা হয়, লগতে উৎপাদনৰ উপাদানসমূহ ব্যক্তিগত মালিকানাধীনত চলে সিয়ে পুঁজিবাদী অর্থনীতি।
পুঁজিবাদী অর্থনীতিৰ বৈশিষ্ট্য:
(ক) উৎপাদনৰ উপাদানসমূহ ব্যক্তিগত উদ্যোগ বা মালিকাধীন।
(খ) দ্রব্য সামগ্রীসমূহ কেৱল বিক্ৰীৰ উদ্দেশ্যে উৎপাদন কৰা হয়।
(গ) শ্ৰমৰ সেৱাসমূহ বজাৰত কিনা-বেচা কৰা হয় মজুৰি হাৰৰ বিনিময়ত।
প্রশ্ন ৮। পুঁজিবাদীৰ অধীনত অৰ্থনীতিত এখনে কিদৰে কাম কৰে ব্যাখ্যা কৰা।
উত্তৰঃ পুঁজিবাদী দেশ এখনত উৎপাদন কার্যবোৰ মুখ্যতঃ পুঁজিবাদী ব্যৱস্থাৰদ্বাৰা পৰিচালনা কৰা হয়। পুঁজিবাদী ব্যৱসায়ত এজন বা কেবাজনো উদ্যোগী থাকে, যিসকলে উদ্যোগ অথবা ব্যৱসায় প্ৰতিষ্ঠানৰ প্ৰধান সিদ্ধান্তসমূহৰ ওপৰত নিয়ন্ত্ৰণ ৰাখে আৰু ব্যৱসায় প্ৰতিষ্ঠানৰ লাভ- লোকচানৰ দায়িত্ব বহন কৰে। এই উদ্যোগীসকলে উদ্যোগ চলাবৰ বাবে প্ৰয়োজন হোৱা মূলধন নিজেই যোগান ধৰিব পাৰে অথবা ঋণ লৈ মূলধন সংগ্ৰহ কৰিব পাৰে। এওঁলোকে উৎপাদনৰ উপাদানসমূহৰ দ্বাৰা উৎপাদন কার্য সম্পন্ন কৰাৰ পিছত উদ্যোগীয়ে উৎপাদনবোৰ বজাৰত বিক্ৰী কৰে। বিক্ৰী কৰি যি পৰিমাণৰ অৰ্থ আহৰণ কৰে তাৰে এটা অংশ উৎপাদন কাৰ্যত ব্যৱহৃত ভূমিৰ বাবদ খাজনা হিচাপে এটা অংশ মূলধনৰ বাবদ সুদ হিচাপে আৰু এটা অংশ শ্ৰমৰ মজুৰি হিচাপে আদায় দিয়া হয়। ৰৈ যোৱা অংশ উদ্যোক্তাৰ লাভ হিচাপে ৰাখি তাক পুনৰ বিনিয়োগ ব্যয়ত ব্যৱহাৰ কৰে যাতে ভৱিষ্যতে উৎপাদন বৃদ্ধি কৰিব পাৰে।
প্রশ্ন ৯। ধৰা হ’ল বজাৰ দামৰ এখন দেশৰ GDP হ’ল 1100 কোটি টকা। তদুপৰি বিদেশৰ পৰা সৰ্বমুঠ কাৰক আয় হ’ল 150 কোটি টকা আৰু অৱক্ষয় 80 কোটি টকা। এতিয়া যদিহে ৰাজসাহায্যকৃত পৰোক্ষ কৰৰ মূল্য 120 কোটি টকা হয়, তেন্তে ৰাষ্ট্ৰীয় আয়ৰ মূল্য উলিওৱা।
উত্তৰঃ জাতীয় আয় (GDPMP) = GDP – D – নিগুট পৰোক্ষ কৰ (NIT) + বিদেশৰ পৰা পোৱা নিগুট আয় (NIFA)
= 1100 – 80 – 120 + 150 কোটি
= 1250 – 200 কোটি
= 1050 কোটি
গতিকে জাতীয় আয়ৰ মূল্য হ’ল 1050 কোটি।
প্রশ্ন ১০। ধৰাহ’ল বজাৰ দামত এখন দেশৰ সৰ্বমুঠ ৰাষ্ট্ৰীয় উৎপাদন (NNP) 1600 কোটি টকা। যদিহে মুঠ পৰোক্ষকৰ 100 কোটি টকা হয় আৰু চৰকাৰে আদায় দিয়া ৰাজসাহায্যৰ মুঠ পৰিমাণ হয় ৪০ কোটি টকা, তেন্তে দেশখনৰ ৰাষ্ট্ৰীয় আয়ৰ স্তৰ নিৰ্ণয় কৰা।
উত্তৰঃ জাতীয় আয় (NNPPC) = NNPMP – পৰোক্ষ কৰ (Direct Tax) – ৰেহাই (Subsidy)
= 1600 – (100 – 80)
= 1600 – 20 কোটি।
= 1580 কোটি।
দেশখনৰ ৰাষ্ট্ৰীয় আয়ৰ স্তৰ হ’ল 1580 কোটি।
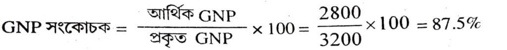
প্রশ্ন ১১। এটা নিৰ্দিষ্ট বছৰত এটা অৰ্থনীতিৰ সামান্য GNP মূল্য হ’ল 2,800 টকা। একেটা বছৰতে দেশখনৰ GNPৰ মূল্য ভিত্তি বৰ্ষৰ দামত মূল্যাংকণ কৰাত হ’লগৈ 3,200 কোটি টকা। শতাংশৰ হিচাপত বছৰটোৰ GNP হ্ৰাসকৰ মূল্য নির্ণয় কৰা। বিবেচনাধীন বছৰটো আৰু ভিত্তি বছৰৰ মাজত দামৰ স্তৰ বৃদ্ধি পাইছে নেকি?
উত্তৰঃ

ভিত্তি বছৰ আৰু বিবেচনালৈ অনা বছৰৰ দৰৰ বৃদ্ধি হোৱা নাই। প্ৰকৃততে দৰ 100%ৰ পৰা 87.5% লৈ কমিছে।
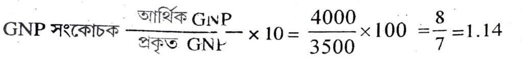
প্রশ্ন ১২। এটা নিৰ্দিষ্ট বছৰত এখন অৰ্থনীতিৰ সামান্য GNPৰ মূল্য 4,000 কোটি টকা। সুস্থিৰ দামত একেটা বছৰতে GNP গণনা কৰোঁতে হ’লগৈ 3500 কোটি টকা। শতাংশ হিচাপত বছৰটোৰ GNP হ্রাসকৰ মূল্য নিৰূপণ কৰা।
উত্তৰঃ

প্রশ্ন ১৩। এটা নিৰ্দিষ্ট বছৰত এখন দেশৰ সঞ্চয়ৰ তুলনাত ব্যক্তিগত বিনিয়োগৰ আধিক্য আছিল 3000 কোটি টকা। বাজেট ঘাটিৰ পৰিমাণ আছিল (-) 800 কোটি টকা। দেশখনৰ বাণিজ্য ঘাটিৰ পৰিমাণ কিমান আছিল?
উত্তৰঃ (I – S) (G – T) = M – X
⇒ M – X = (I – S) + (G – T)
= 3000 + (- 800)
= 3000 – 800
= 2200 কোটি।
বাণিজ্য ঘাটিৰ পৰিমাণ 2200 কোটি টকা।
প্রশ্ন ১৪। মধ্যবর্তী দ্ৰব্যৰ ধাৰণাটো ব্যাখ্যা কৰা। মধ্যবর্তী দ্রব্যসমূহ কিদৰে মূলধনী দ্ৰৱ্যৰ পৰা পৃথক?
উত্তৰঃ যিবোৰ দ্ৰব্য উৎপাদন কার্যত এবাৰ ব্যৱহাৰ কৰাৰ পিছত পুনৰ উৎপাদনত বাৰে বাৰে ব্যৱহাৰ কৰা হয় তেনেবোৰ দ্ৰব্যক মধ্যবর্তী দ্রব্য বোলে। এনেবোৰ দ্ৰব্য চূড়ান্ত দ্রব্য হিচাপে উৎপাদনত ব্যৱহাৰ নহয়। ইয়াৰ মূল্য চূড়ান্ত দ্রব্যত ইতিমধ্যে অন্তর্ভুক্ত হৈ থাকে। সেয়েহে মধ্যৱৰ্তী দ্রব্য মূল্য জাতীয় আয় গণনাত ধৰা নহয়। যেনে কেঁচা সামগ্ৰী তীখা আদি বিভিন্ন কামত ব্যৱহাৰ কৰি এক ৰূপান্তৰ প্ৰক্ৰিয়াৰ মাজেৰে পৰিৱৰ্তিত হৈ উৎপাদন কার্যত ব্যৱহাৰ কৰা হয়।
অর্থাৎ, মূলধনী দ্রব্য যেনে যন্ত্রপাতি আদিতকৈ মধ্যৱৰ্তী দ্রব্য পৃথক কাৰণ এনে দ্ৰব্যৰ মূল্য জাতীয় আয়ত অন্তর্ভুক্ত নহয়।
প্রশ্ন ১৫। মুঠ বিনিয়োগ আৰু সৰ্বমুঠ বিনিয়োগৰ মাজৰ পাৰ্থক্য নিৰূপণ কৰা।
উত্তৰঃ মুঠ বিনিয়োগ আৰু সৰ্বমুঠ বা নিওট বিনিয়োগৰ মাজৰ পাৰ্থক্যসমূহ হ’ল—
| মুঠ বিনিয়োগ | সৰ্বমুঠ বিনিয়োগ | 
| (১) অন্তিম ব্যৱহাৰ দ্ৰব্যৰ যিটো অংশ মূলধনজাত সামগ্ৰী সেই অংশটোৱেইমুঠ বিনিয়োগ। | (১) আকৌ মুঠ বিনিয়োগৰ পৰা ক্ষয়-ক্ষতিৰ বা হৰণ-ভগনৰ ব্যয় বাদ দিলে যিটো অংশ থাকে সেয়ে হ’ল শুদ্ধ বা সৰ্বমুঠ বিনিয়োগ | 
| (২) মুঠ বিনিয়োগৰ লগত শুদ্ধ বিনিয়োগ আৰু ক্ষয়-ক্ষতি অন্তর্ভুক্ত থাকে। | (২) কিন্তু সৰ্বমুঠ বিনিয়োগত ক্ষয়-ক্ষতি বাদ দিয়া হয় । | 
| (৩) ইয়াত মজুত মূলধন (stock of capital) শুদ্ধ বিনিয়োগ হিচাপে নাথাকে। | (৩) কিন্তু সর্বমুঠ বিনিয়োগত শুদ্ধ বিনিয়োগ মজুত মূলধন হিচাপে থাকে। | 
প্রশ্ন ১৬। এখন সৰল অৰ্থনীতিত উপভোগ আৰু উৎপাদন কার্যৰ মাজৰ বৃত্তীয় কাৰ্যকাৰণৰ ব্যাখ্যা আগবঢ়োৱা ৷
উত্তৰঃ এখন সৰল অৰ্থনীতিত উপভোগ আৰু উৎপাদনৰ মাজৰ বৃত্তীয় কার্যকলাপক আয়ৰ চক্ৰীয় প্রবাহ বুলি কোৱা হয়। এনে অর্থনীতিত উৎপাদন প্রতিষ্ঠান (firm) আৰু ঘৰুৱা খণ্ডৰ মাজত আয়ৰ প্ৰৱাহ বৃত্তীয়ভাৱে প্রবাহিত হয়। প্রতিষ্ঠানসমূহে উৎপাদনৰ উপাদানসমূহ ঘৰুৱা খণ্ডৰ পৰা আহৰণ কৰে আৰু তাৰ পাৰিশ্ৰমিক মূল্য ঘৰুৱা খণ্ডক দিয়ে। ঘৰুৱা খণ্ডই এই আয় প্রতিষ্ঠানসমূহে উৎপাদন কৰা দ্রব্য সামগ্ৰী আৰু সেৱাৰ বাবে উপভোগ ব্যয় হিচাপে কৰে। এনেদৰে এটা খণ্ডৰ পৰা আন এটা খণ্ডলৈ প্ৰবাহিত আয়ক আয়ৰ চক্ৰীয় প্রবাহ বোলে।
প্রশ্ন ১৭। সংযোজিত মূল্য, মুঠ সংযোজিত মূল্য আৰু সৰ্বমুঠ সংযোজিত মূল্যৰ ধাৰণাবোৰ বিশ্লেষণ কৰা।
উত্তৰঃ উৎপাদনৰ প্ৰতিটো স্তৰতে উৎপাদিত দ্ৰব্য আৰু উপাদানৰ মাজৰ পাৰ্থক্যই হৈছে মূল সংযোজন। ইয়াত উৎপাদন প্ৰতিষ্ঠানৰ উৎপাদন মূল্যৰ পৰা মধ্যবর্তী দ্ৰব্যৰ মূল্য বিয়োগ কৰা হয়।
মূল্য সংযোজন = উৎপাদন – মধ্যৱৰ্তী দ্রব্যমূল্য
(Value add = output – Intermediate value)
মুঠ মূল্য সংযোজনৰ লগত ক্ষয়-ক্ষতি যোগ কৰিলে মুঠ সংযোজন পোৱা যায়। আনহাতে মুঠ মূল্য সংযোজনৰ মূল্যৰ পৰা ক্ষয়-ক্ষতিৰ পৰিমাণ বাদ দিলে সর্বমুঠ বা নিগুট মূল্য সংযোজন পোৱা যায়। অর্থাৎ
Net value added = Gross value added – Depreciation
(নিগুট মূল্য সংযোজন = মুঠ মূল্য সংযোজন – ক্ষয়-ক্ষতি)
প্রশ্ন ১৮। সংযোজিত মুঠ মূল্য আৰু সংযোজিত সৰ্বমুঠ মূল্যৰ পাৰ্থক্য নিৰূপণ কৰা।
উত্তৰঃ (১) সংযোজিত মুঠ মূল্যত হৰণ-ভগন আৰু অন্যান্য খা-খরচ অন্তর্ভুক্ত থাকে।
কিন্তু সংযোজিত সৰ্বমুঠ মূল্যৰ পৰা হৰণ-ভগন বা ক্ষয়-ক্ষতি বাদ দিয়া হয়।
(২) সংযোজিত মুঠ মূল্য = উৎপাদন মূল্য – মধ্যবর্তী দ্ৰব্যৰ মূল্য
Gross value Added (GVA) = Output of ferms – Intermediate goods value
Net value Added (NVA) = Outpot – Entermediate value depreciation
সর্বমুঠ সংযোজিত মূল্য = প্ৰতিষ্ঠানৰ উৎপাদন মূল্য – মধ্যবর্তী দ্ৰব্যৰ মূল্য – অবক্ষয়
প্রশ্ন ১৯। এখন ব্যৱসায়িক প্রতিষ্ঠানে প্রতি বছৰে 500 টকাৰ দ্ৰব্য উৎপাদন কৰে আৰু প্ৰতিষ্ঠানখনে ব্যৱহাৰ কৰা মধ্যৱৰ্তী দ্ৰব্য হ’ল 250 টকা মূল্যৰ। প্ৰতি বছৰে মূলধন ব্যৱহাৰৰ ব্যয় 20 টকা। এতেকে প্রতিষ্ঠানখনৰ মুঠ সংযোজিত মূল্য আৰু সৰ্বমুঠ সংযোজিত মূল্য নিৰূপণ কৰা।
উত্তৰঃ মুঠ সংযোজন (GVA) = উৎপাদন প্রতিষ্ঠানৰ উৎপাদন মূল্য – মধ্যবর্তী দ্ৰব্যৰ মূল্য
= 500 – 250 = 250 টকা
নিওট মূল্য সংযোজন (NVA) = মুঠ মূল্য সংযোজন – অবক্ষয়
= GVA – D = 250 20 = 230 টকা
প্ৰতিষ্ঠানৰ ঋণৰ মুঠ মূল্য = 230 টকা।
প্রশ্ন ২০। সম্পদ তালিকাৰ ধাৰণাটো ব্যাখ্যা কৰা।
উত্তৰঃ অর্থনীতি এখনৰ প্রতিষ্ঠান এখনে বিক্ৰী নোযোৱা চূড়ান্ত দ্রব্য বা অর্ধচূড়ান্ত দ্রব বা কেঁচা সামগ্ৰীৰ যিটো অংশ দুটা বছৰৰ পৰা পিছৰ বছৰলৈ কঢ়িয়াই নিব লগা হয় সেই দ্রব্যসমূহক পূর্বৱর্তী বা সম্পদ তালিকাত অন্তৰ্ভুক্ত কৰা হয়। এই দ্রব্যসমূহ হ’ল মজুত চলক আৰু ইয়াক মূলধন হিচাপে গ্ৰহণ কৰা হয়। এনেধৰণৰ মজুত চলককেই বিনিয়োগ বোলে। অর্থনীতি এখনত এনে সম্পদৰ পৰিবৰ্তন পৰিকল্পিত বা অপৰিকল্পিতভাৱে হ’ব পাৰে। যদিহে উৎপাদিত দ্ৰব্যৰ বিক্রী হঠাতে হ্রাস পায় তেতিয়া পূর্বৱর্তী দ্ৰব্যৰ মজুতৰ পৰিমাণ বাঢ়ে। ইয়াৰ বিপৰীতে বিক্ৰীৰ পৰিমাণ বৃদ্ধি পায় তেতিয়া পূর্বৱৰ্তী দ্ৰব্যৰ পৰিমাণ হ্রাস পায়। গতিকে অর্থনীতি এখনৰ সম্পদ তালিকা বিক্ৰীৰ ওপৰত নিৰ্ভৰ কৰে।
প্রশ্ন ২১। বছৰটোৰ আৰম্ভণিতে এখন ব্যৱসায়িক প্ৰতিষ্ঠানৰ 80 টকাৰ এখন সম্পদ তালিকা আছিল। বছৰটোৰ ভিতৰত প্ৰতিষ্ঠানখনে 500 টকা মূল্যৰ দ্ৰব্য উৎপাদন কৰিলে। আৰু 400 টকা মূল্যৰ দ্ৰব্য বিক্ৰী কৰিলে। বছৰটোৰ সম্পদ তালিকাৰ পৰিবৰ্তন নিৰ্ণয় কৰা।
উত্তৰঃ
| বিক্ৰী নোহোৱা সম্পদৰ পৰিমাণ | 500 টকা | 
| বছৰটোৰ দ্ৰব্য মূল্যৰ পৰিমাণ হ’ল | 80 টকা | 
| বিক্ৰীৰ পৰিমাণ হ’ল | 400 টকা | 
| সম্পদৰ তালিকাৰ পৰিবৰ্তন | 500 – 400 = 100 টকা | 
| বছৰটোৰ শেষৰ সম্পদৰ পৰিমাণ | 100 + 80 = 180 | 
বছৰটোৰ সম্পদ তালিকাৰ পৰিৱৰ্তনৰ মান 180 টকা।
প্রশ্ন ২২। সম্পদ তালিকাৰ অপৰিকল্পিত পুঞ্জীকৰণৰ এটা কাল্পনিক উদাহৰণ দিয়া।
উত্তৰঃ সম্পদ তালিকাৰ পৰিবর্তন অপৰিকল্পিত বা অপ্রত্যাশিতভাবে হ্রাস বা বৃদ্ধি হ’ব পাৰে। উদাহৰণস্বৰূপে ধৰা হ’ল X দ্রব্য উৎপাদন প্রতিষ্ঠানটোৱে 200টা প্ৰাৰম্ভিক দ্ৰব্যৰে বছৰটো আৰম্ভ কৰি 10,000 টা গোট বিক্ৰী কৰিব বিচাৰে আৰু সেই 10,000 টা গোট উক্ত বছৰটোত উৎপাদন কৰিলে। কিন্তু বিক্ৰী কৰিব পাৰিলে মাত্র 8000টা গোটহে। গতিকে বছৰৰ শেষত উৎপাদন প্ৰতিষ্ঠানটোৰ সম্পদ তালিকা হ’ল = 200 +(10,000-8000) = 200+2000=2200 টা গোট
গতিকে দ্ৰব্যৰ ৰ অপৰিকল্পিত বৃদ্ধিৰ পৰিমাণ হ’ল 2200 টা গোট।
প্রশ্ন ২৩। তলত দিয়া ৰূপটোৰ ভিত্তিত মুঠ ঘৰুৱা উৎপাদনৰ ধাৰণাটো ব্যাখ্যা কৰা।

প্রশ্ন ২৪। তলত দিয়া ৰূপটোৰ ভিত্তিত সৰ্বমুঠ ঘৰুৱা উৎপাদনৰ ধাৰণাটো ব্যাখ্যা কৰা।

উত্তৰঃ সমীকৰণ মতে, নিগুট ঘৰুৱা উৎপাদন Net Domestic Product হ’ল সকলো প্ৰতিষ্ঠানৰ মুঠ উৎপাদনৰ পৰা ক্ষয়-ক্ষতি বাদ দি পোৱা নিগুট ঘৰুৱা উৎপাদন। তথ্য মতে

সংখ্যক প্ৰতিষ্ঠানৰ সৰ্বমুঠ বা নিগুট মূল্য সংযোজনৰ পৰিমাণ সূচাইছে।
প্রশ্ন ২৫। মুঠ ঘৰুৱা উৎপাদনৰ পৰা মুঠ ৰাষ্ট্ৰীয় উৎপাদন কিদৰে গণনা কৰা হয় ব্যাখ্যা কৰা।
উত্তৰঃ মুঠ ঘৰুৱা উৎপাদন হৈছে এটা বিত্তীয় বছৰত অর্থনীতি এখনত উৎপাদিত দ্রব্য সামগ্ৰী আৰু সেৱাৰ মূল্য। আনহাতেদি মুঠ ৰাষ্ট্ৰীয় উৎপাদন হ’ল মুঠ ঘৰুৱা উৎপাদন + বিদেশৰ পৰা পোৱা শুদ্ধ আয়। গতিকে
GNPMP = GDP + বিদেশৰ পৰা পোৱা নিগুট উপাদান আয়। (Net Factor Income from abroad) (NFIA )। গতিকে মুঠ ঘৰুৱা উৎপাদনৰ লগত বিদেশৰ পৰা পোৱা নিশুট উপাদান আয়ৰ যোগফলেই মুঠ ৰাষ্ট্ৰীয় আয়।
প্রশ্ন ২৬। ৰাষ্ট্ৰীয় ব্যয়সাধ্য আয় কি?
উত্তৰঃ ৰাষ্ট্ৰীয় ব্যয় যোগ্য আয় হ’ল বজাৰ মূল্যত নিগুট জাতীয় আয় + বিদেশৰ পৰা প্ৰৱাহিত হোৱা হস্তান্তৰিত আয়। ৰাষ্ট্ৰীয় ব্যয় যোগ্য আয়ৰ ধাৰণাটোৱে অর্থনীতি এখনৰ সৰ্বোচ্চ ব্যৱহাৰ যোগ্য দ্ৰব্য আৰু সেৱাৰ পৰিমাণৰ বিষয়ে জানিবলৈ দিয়ে।
ৰাষ্ট্ৰীয় ব্যয় যোগ্য আয়ৰ দুটা ধাৰণা আছে –
(১) স্থূল জাতীয় বায় যোগ্য আয় – ই হ’ল বজাৰ দৰত স্থূল জাতীয় আয় আৰু পৃথিৱীৰ বাকী দেশৰ পৰা অহা নিগুট চলিত হস্তান্তৰ আয়ৰ সমষ্টি।
(২) নিগুট ৰাষ্ট্ৰীয় ব্যয় যোগ্য আয় – য’ত বজাৰ দৰত নিগুট জাতীয় আয় আৰু বাহিৰৰ দেশৰ পৰা অহা নিগুট চলিত হস্তান্তৰৰ যোগফল।
প্রশ্ন ২৭। কাৰক ব্যয়ত সৰ্বমুঠ ৰাষ্ট্ৰীয় উৎপাদন কি?
উত্তৰঃ কাৰক ব্যয়ত সৰ্বমুঠ ৰাষ্ট্ৰীয় উপাদান হ’ল — প্রতিষ্ঠানসমুহে দ্ৰব্য আৰু সেৱাৰ উৎপাদনত আগবঢ়োৱা অৱদানৰ বাবে উৎপাদনৰ উপাদানসমূহক যি পৰিশোধ ব্যয় কৰা হয় সেয়ে হ’ল উপাদান দৰত শুদ্ধ ৰাষ্ট্ৰীয় উৎপাদন। এনে পাৰিশ্রমিক উপাদান ব্যয় মূলাৰ দ্বাৰা আয় পদ্ধতিৰে ৰাষ্ট্ৰীয় আয় নির্ণয় কৰা হয়। অর্থাৎ
NNPPC = NNPMP + নিগুট পৰোক্ষ কৰ (Net Indirect Tax)
অর্থাৎ জাতীয় আয় = বেতন মজুৰি আৰু পৰিপূৰক উপাৰ্জন + নির্গম অনিগম আৰু চৰকাৰী ব্যৱসায় প্ৰতিষ্ঠানৰ লাভ + খাজনা + সুদ + বিদেশৰ পৰা হোৱা উপাদান পৰিশোধ হস্তান্তৰিত পৰিশোধ।
প্রশ্ন ২৮। প্রকৃত GDP আৰু সামান্য GDP ৰ মাজৰ পাৰ্থক্য নিৰূপণ কৰা।
উত্তৰঃ প্ৰকৃত মুঠ ঘৰুৱা উৎপাদন হ’ল স্থিৰ মূল্যত এখন দেশে এক নির্দিষ্ট সময়ত আভ্যন্তৰীণ উৎসৰ পৰা যি দ্ৰব্য আৰু সেৱা উৎপাদন কৰে তাৰ বজাৰৰ মূল্য। জাতীয় আয় গণনা কৰোতে প্রকৃত মুঠ জাতীয় আয় = প্রকৃত মুঠ উৎপাদনৰ মূল্যৰ ওপৰত নিৰ্ভৰ কৰে। এনে দৰসমূহ স্থিৰে থাকে। সেয়েহে জাতীয় আয় পৰিবৰ্তন হ’লে মুঠ উৎপাদনৰ পৰিৱৰ্তন হয়।
আনহাতে সাধাৰণ মুঠ ঘৰুৱা উৎপাদন হৈছে প্ৰচলিত দৰত মুঠ জাতীয় উৎপানৰ মূল্য। ইয়াত দ্রব্য সামগ্ৰীৰ পৰিমাণ বৃদ্ধি নোপোৱাকৈয়ে কেবল দৰ বৃদ্ধিৰ বাবে জাতীয় আয় বৃদ্ধি পাব। আকৌ সামগ্রী নকমোৱাকৈয়ে কেৱল মূল্য স্তৰ হ্ৰাস হোৱাৰ লগে লগে জাতীয় আয় কমিব। গতিকে চলিত দৰত GDP মূল্য দুখন দেশৰ মাজত তুলনা কৰিব নোৱাৰি।
প্রশ্ন ২৯। মধ্যবর্তী দ্রব্য আৰু চূড়ান্ত দ্ৰব্যৰ মাজত পাৰ্থক্য কি?
উত্তৰঃ মধ্যৱৰ্তী দ্ৰব্য আৰু চূড়ান্ত দ্ৰব্যৰ মাজত পাৰ্থক্যসমূহ হ’ল—
| মধ্যবর্তী দ্রব্য | চূড়ান্ত দ্রব্য | 
| (i) মধ্যৱৰ্তী দ্রব্যসমূহৰ এক ৰূপান্তৰ প্ৰক্ৰিয়াৰে পুনৰ উৎপাদনত ব্যৱহাৰ কৰা হয়। | (i) চূড়ান্ত দ্রব্যসমূহ উৎপাদন কাৰ্য্ত এবাৰহে ব্যৱহাৰ কৰিব পাৰি। | 
| (ii) মধ্যবর্তী দ্ৰব্যৰ মূল্য জাতীয় আয় গণনা লোৱা নহয় কিয়নো ই চূড়ান্ত দ্ৰব্যত অন্তৰ্ভুক্ত হৈ থাকে। | (ii) ইয়াক জাতীয় আয় গণনাত অন্তর্ভুক্ত কৰে। | 
| (iii) এনেবোৰ দ্ৰব্য উৎপাদন কার্যত সীমাবদ্ধতা থাকে। | (iii) চূড়ান্ত দ্রব্যসমূহ সমগ্ৰ অৰ্থনীতিৰ লগত সম্পর্ক থাকে। | 
প্রশ্ন ৩০। ‘ক’ অংশৰ লগত ‘খ’ অংশ মিলোৱা।
| ‘ক’ অংশ | ‘খ’ অংশ | 
| (a) বার্ষিক লাভ বা উৎপাদন | (i) মজুতৰ ধাৰণা | 
| (b) কাৰখানা, ঘৰ বা যন্ত্রপাতি | (ii) মধ্যবর্তী দ্রব্য | 
| (c) অটামবাইল নিৰ্মাণত ব্যৱহৃত তীখাৰ পাট | (iii) প্ৰবাহৰ ধাৰণা | 
উত্তৰঃ
| ‘ক’ অংশ | ‘খ’ অংশ | 
| (a) বার্ষিক লাভ বা উৎপাদন | (iii) প্ৰবাহৰ ধাৰণা | 
| (b) কাৰখানা, ঘৰ বা যন্ত্রপাতি | (i) মজুতৰ ধাৰণা | 
| (c) অটামবাইল নিৰ্মাণত ব্যৱহৃত তীখাৰ পাট | (ii) মধ্যবর্তী দ্রব্য | 
প্রশ্ন ৩১। উৎপাদনৰ উপাদান চাৰিটা কি কি? সিহঁতৰ পাৰিশ্ৰমিকৰ নাম লিখা।
উত্তৰঃ উপাদান চাৰিটা হ’ল — ভূমি, শ্রম, মূলধন আৰু সংগঠক।
ভূমিৰ পাৰিশ্ৰমিকৰ নাম খাজনা, শ্ৰমৰ পাৰিশ্ৰমিকৰ নাম মজুৰি, মূলধনৰ পাৰিশ্ৰমিকৰ নাম সুদ আৰু সংগঠকৰ পাৰিশ্ৰমিকৰ নাম লাভ।
প্রশ্ন ৩২। মধ্যৱৰ্তী আৰু মূলধনী দ্ৰব্যৰ পাৰ্থক্য লিখা।
উত্তৰঃ দুয়োৰে মাজৰ পাৰ্থক্য —
(ক) মধ্যৱৰ্তী দ্ৰব্যৰ মূল্য জাতীয় আয় গণনা লোৱা নহয়। কিয়নো ই চূড়ান্ত দ্রব্যত অন্তৰ্ভুক্ত হৈ থাকে। কিন্তু মূলধনী দ্রব্যই পৰোক্ষভাৱে উপভোক্তাৰ অভাৱ পূৰণ কৰে।
(খ) মধ্যৱৰ্তী দ্রব্য উৎপাদন কার্যত সীমাবদ্ধতা থাকে। কিন্তু মূলধনী দ্রব্যসমূহ উৎপাদনকাৰীয়ে উৎপাদন কার্যত ব্যৱহাৰ কৰে।
প্রশ্ন ৩০। মূলধনৰ ক্ষতি বুলিলে কি বুজা?
উত্তৰঃ মুঠ জাতীয় উৎপাদন কৰিবলৈ যাওঁতে যন্ত্ৰপাতিৰ দৰে কেতবোৰ মূলধনী দ্রব্য ব্যৱহাৰ কৰা হয়। কিন্তু উৎপাদন কালত কিছুমান মূলধনী দ্ৰব্যৰ ক্ষয়ক্ষতি নাইবা অৱক্ষয় হয়। এই ক্ষয়ক্ষতিৰ পৰিমাণ মুঠ জাতীয় উৎপাদনৰ পৰা বাদ দিলেই বজাৰ মূল্যত নিগুট জাতীয় উৎপাদন পোৱা যায়৷
প্রশ্ন ৩৪। উপভোক্তাৰ দ্ৰব্য আৰু মূলধনী দ্ৰব্যৰ মাজৰ পাৰ্থক্য নিৰূপণ কৰা।
উত্তৰঃ তলত উপভোক্তাৰ দ্ৰব্য আৰু মূলধনী দ্ৰব্যৰ পাৰ্থক্য নিৰূপণ কৰা হৈছে:
| উপভোক্তাৰ দ্ৰব্য | মূলধনী দ্রব্য | 
| (i) উপভোক্তাৰ প্ৰবাসমূহ উপভোক্তাই প্রত্যক্ষভাৱে উপভোগ কার্যত ব্যৱহাৰ কৰে। | (i) মূলধনী দ্রব্যসমূহ উৎপাদনকাৰীয়ে উৎপাদন কার্যত ব্যৱহাৰ কৰে। | 
| (ii) এইবোৰে অভাৱ পূৰণ কৰিব পৰা ক্ষমতা আছে। | (ii) ই পৰোক্ষভাৱে উপভোক্তাৰ অভাৱ পূৰণ কৰে। | 
| (iii) এইবোৰ এবাৰ বা বহুবাৰ উপভোগ কৰিব পাৰে। | (iii) এনেবোৰ দ্ৰব্য বহুবাৰ দীৰ্ঘদিনৰ বাবে উৎপাদনকাৰীয়ে ব্যৱহাৰ কৰিব পাৰে। | 
| (iv) জাতীয় আয় গণনাত লোৱা নহয়। | (iv) জাতীয় আয় গণনাত মূলধনী দ্ৰব্যৰ ক্ষয় ক্ষতি বাদ দি নিগুট জাতীয় আয় ধৰা হয়। | 
প্রশ্ন ৩৫। জাতীয় আয়ৰ প্ৰসংগত মজুত আৰু প্ৰবাহৰ মাজৰ পাৰ্থক্য নিৰূপণ কৰা।
উত্তৰঃ জাতীয় আয়ৰ প্ৰসংগত মজুত আৰু প্ৰৱাহৰ পাৰ্থক্য নিৰূপণ তলত ধৰা হৈছে:
| মজুত | প্ৰবাহি | 
| (i) মজুত হ’ল এক নিৰ্দিষ্ট সময়ৰ বিন্দুত লোৱা জোখৰ পৰিমাণ। | (i) প্রবাহত এক নির্দিষ্ট সময়ৰ বাবে জোখ লোৱা হয়। | 
| (ii) মজুত কোনো নির্দিষ্ট সময়-সীমা নাথাকে। | (ii) প্রবাহত নির্দিষ্ট সময়সীমা থাকে। | 
| (iii) মজুতে প্ৰৱাহৰ ওপৰত প্ৰভাৱ পেলায়। যেনে — মজুত মূলধনে দ্ৰব্য আৰু সেৱাৰ প্ৰবাহ আনে। | (iii) প্ৰৱাহে মজুতৰ ওপৰত প্ৰভাৱ পেলায়।এই মজুতৰ পৰিৱৰ্তনেই প্রবাহ। যেনে — মাহিলি উপার্জন। | 
| (iv) মজুতৰ উদাহৰণ হ’ল যন্ত্ৰপাতিৰ পৰিমাণ আচবাব আদি। | (iv) প্রবাহ হ’ল আয়, উৎপাদন, লাভ আদি। | 
প্রশ্ন ৩৬। উৎপাদনৰ চাৰিটা কাৰকৰ নাম আৰু তাৰ বৈশিষ্ট্যসমূহ লিখা।
উত্তৰঃ উৎপাদনৰ উপাদান চাৰিটা। উপাদান হ’ল ভূমি, শ্রম, মূলধন আৰু সংগঠন।
তলত উপাদানসমূহৰ বৈশিষ্ট্য উল্লেখ কৰা হ’ল:
ভূমি: ভূমি হ’ল প্ৰকৃতিৰ মুক্তদান। পৃথিৱীৰ উপৰিভাগৰ খাজনা প্ৰদান কৰিব লগা উপাদানসমূহেই হ’ল ভূমি। ইয়াৰ যোগান অস্থিতিস্থাপক। উৎপাদন কার্যত ভূমি ব্যৱহাৰ কৰাৰ বাবে খাজনা লাভ কৰে।
শ্ৰমিক: উৎপাদন কার্যত শ্রমিকে যি শাৰীৰিক শ্ৰম প্ৰদান কৰে সেয়েই শ্রম। শ্রম শ্রমিকৰ পৰা পৃথক কৰিব নোৱাৰি। কামৰ প্ৰকৃতি, পৰিৱেশ, সময় আদিৰ ওপৰত শ্রমে প্রভাৱ পেলায়। শ্রমিকে শ্ৰমৰ বাবে মজুৰি পায়।
মূলধন: মূলধন মানৱসৃষ্ট উপাদান। সকলো মূলধনেই সম্পদ আৰু উৎপাদনমূলক। ইয়াৰ যোগান বৃদ্ধি কৰিব পাৰি। সঞ্চয়ৰ পৰাই মূলধনৰ সৃষ্টি হয়। ইয়াৰ ব্যৱহাৰৰ বিনিময়ত সুদ লাভ কৰে।
সংগঠন: সংগঠন হ’ল উপাদানৰ উপাদানসমূহক পৰিচালনা কৰা ব্যক্তি। সংগঠকে উৎপাদনত অনিশ্চয়তা বহন কৰি সম্ভাব্য লাভৰ বাবে বিভিন্ন গুৰুত্বপূর্ণ সিদ্ধান্ত লাভ কৰে।
প্রশ্ন ৩৭। বিনিয়োগ কাক বোলে ? বিনিয়োগৰ প্ৰধান ভাগবোৰ কি কি লিখা।
উত্তৰঃ বিনিয়োগ হ’ল মূলধন মজুতৰ পৰিমাণত নতুনকৈ যোগ কৰা অংশ।
বিনিয়োগৰ প্ৰধান ভাগবোৰ হ’ল—
(ক) মুঠ বিনিয়োগ।
(খ) নিগুট প্রকৃত বিনিয়োগ।
প্রশ্ন ৩৮। উপভোক্তাৰ দৰ সূচক আৰু মুঠ ঘৰুৱা উৎপাদনৰ সংকোচনৰ মাজৰ পার্থক্য লিখা।
উত্তৰঃ উপভোক্তাৰ দৰ সূচক আৰু মুঠ ঘৰুৱা উৎপাদন সংকোচনৰ মাজৰ পাৰ্থক্য —
(ক) পাইকাৰী দৰ সূচক গঠন কৰিবলৈ সামগ্ৰীৰ পাইকাৰী দৰ সংগ্ৰহ কৰা হয়, কিন্তু উপভোক্তাৰ দৰ সূচক সামগ্ৰীৰ খুচুৰা দৰৰ ভিত্তিত সংগ্ৰহ কৰা হয়।
(খ) দেশৰ মুদ্ৰা মূল্য নিৰূপণৰ বাবে পাইকাৰী দৰ সূচক ব্যৱহাৰ কৰা হয়। আনহাতে কোনো এক শ্ৰেণীৰ জীৱন মানদণ্ড জুখিবলৈ উপভোক্তাৰ দৰ সূচক ব্যৱহাৰ কৰা নহয়।
(গ) দৈনন্দিন জীৱনত পাইকাৰী দৰ সূচকতকৈ উপভোক্তা দৰ সূচকৰ গুৰুত্ব অধিক।
প্রশ্ন ৩৯। মুঠ ঘৰুৱা উৎপাদনৰ বৃদ্ধিয়ে দেশৰ কল্যাণ বৃদ্ধি পোৱাটো নুসূচাবও পাৰে বুলি কিয় কোৱা হয়?
উত্তৰঃ GDP অৰ্থাৎ মুঠ ঘৰুৱা উৎপাদন বাঢ়িলে দেশৰ কল্যাণ বৃদ্ধি নহ’বও পাৰে। তলত উল্লেখ কৰা তিনিটা কাৰণত GDP বৃদ্ধিয়ে কল্যাণ বৃদ্ধি নকৰিবও পাবে।
(ক) যদিহে বর্ধিত GDP এক সীমিত সংখ্যক ব্যক্তি বা প্রতিষ্ঠানৰ হাতত কেন্দ্ৰীভূত হয়। তেতিয়া সমাজৰ বুজন অংশৰ মানুহৰ আয়ৰ পৰিমাণ হ্রাস পাব পাৰে। এনে ক্ষেত্রত সমগ্ৰ দেশৰ জনসাধাৰণৰ কল্যাণৰ মাত্ৰা বৃদ্ধি হোৱা বুলিব নোৱাৰি।
(খ) যিহেতু অর্থনীতি এখনত বহু কার্যক মৌধিক পৰিমাপেৰে জোখা নহয়। যেনে উৎপাদন কার্যত ব্যৱহৃত ঘৰুৱা কাম-কাজৰ বিনিময়ত কোনো ধৰণৰ মজুৰি প্ৰদান কৰা নহয়। এনে ধৰণৰ কাৰ্য পঞ্জীয়নভুক্ত নোহোৱাৰ বাবে GDP গণনাত অন্তর্ভুক্ত কৰা নহয়। ফলত দেশৰ প্রকৃত উৎপাদন কার্য দেশৰ কল্যাণৰ মাপকাঠীৰে জুখিব পৰা নাযায়।
(গ) বাহ্যিকতাৰ ক্ষেত্ৰত কোনো বজাৰ ব্যৱস্থাৰ উপস্থিতি নাথাকে যাৰ জৰিয়তে ইয়াক ক্ৰয়-বিক্ৰয়ৰ অধীনলৈ আনিব পাৰি। বাহ্যিকতাৰ অৰ্থ হ’ল কোনো ব্যক্তি বা প্রতিষ্ঠানে অন্য প্রতিষ্ঠান বা ব্যক্তিৰ কাৰণে সৃষ্টি কৰা ভাল বা বেয়া প্রভাৱ, যাৰ বাবে ব্যক্তি বা প্রতিষ্ঠানক পুৰস্কাৰ বা শাস্তি প্ৰদান কৰা নহয়। এনে ক্ষেত্ৰত GDP ক জনকল্যাণৰ মাপকাঠী হিচাপে বিবেচনা কৰিলে উক্ত ঋণাত্মক বাহ্যিকতাৰ কথাও ভাবিব লাগিব। সেয়েহে প্রকৃতার্থত জাতীয় আয় বা জাতীয় উৎপাদন বৃদ্ধি পালেও মানুহৰ কল্যাণ বৃদ্ধি নাপাব পাৰে।
এনেবোৰ কাৰণত মুঠ ঘৰুৱা উৎপাদনৰ বৃদ্ধিয়ে দেশৰ কল্যাণ বৃদ্ধি পোৱাটো নুসূচাবও পাৰে।
প্রশ্ন ৪০। পূর্বৱর্তী দ্রব্য মানে কি? উদাহৰণ সহকাৰে পূৰ্বৱৰ্তী দ্ৰব্যৰ অপৰিকল্পিত মজুত বৃদ্ধি আৰু অপৰিকল্পিত মজুত হ্ৰাসৰ ধাৰণা দুটা ব্যাখ্যা কৰা।
উত্তৰঃ পূর্বৱর্তী দ্রব্য মানে অর্থনীতি এখনে বিক্রী নোহোৱাকৈ থকা চূড়ান্ত দ্রব্য বা অর্ধচূড়ান্ত বা কেঁচা সামগ্ৰীৰ যিটো অংশ প্রতি বছৰে বোজা বৈ থাকিব লগা হয় সিয়ে পূর্ববর্তী দ্রব্য।
পূর্বৱর্তী দ্ৰব্যৰ পৰিৱর্তন পৰিকল্পিত বা অপৰিকল্পিত দুই ধৰণৰ হ’ব পাৰে। বিক্ৰী অনাকাংক্ষিতভাবে হ্রাস পালে প্রতিষ্ঠানখনৰ বিক্ৰী নোহোৱা দ্ৰব্যৰ পৰিমাণ বহির্ভূতভাবে বাঢ়ি যায়। আৰু এইদৰেই অপৰিকল্পিত পূর্বৱর্তী দ্ৰব্যৰ মজুত বাঢ়ে। ইয়াৰ বিপৰীতে বিক্ৰীৰ পৰিমাণ আশাতীতভাবে বৃদ্ধি পালে পূর্বৱর্তী দ্ৰব্যৰ মজুত অপৰিকল্পিতভাবে হ্রাস পায়।
এই কথাখিনি নিম্নোক্ত উদাহৰণটোৰ সহায়ত ব্যাখ্যা কৰিব পাৰি। ধৰা হ’ল এখন প্রতিষ্ঠানে চার্ট উৎপাদন কৰে। প্রতিষ্ঠানখনে 100 টা পূর্বৱর্তী চাৰ্টৰ সৈতে বছৰটোৰ আৰম্ভ কৰিছে। আগন্তুক বৰ্ষটোত প্রতিষ্ঠানখনে 1,000 টা চার্ট বিক্ৰীৰ আশা ৰাখিছে। আৰু এনেদৰেই প্রতিষ্ঠানখনে 1,000 টা চাৰ্ট উৎপাদন কৰি বছৰৰ শেষত 100 টা চার্ট পূর্বৱৰ্তী দ্রব্য হিচাপে ৰখাৰ পৰিকল্পনা কৰিছে। কিন্তু অপ্রত্যাশিতভাৱে বছৰটোত চাৰ্টৰ বিক্ৰী যথেষ্ট কম হ’ল। প্রতিষ্ঠানখনে মাত্র 600 চাৰ্টহে বিক্ৰী কৰিবলৈ সক্ষম হ’ল। 400 চার্ট বিক্ৰী নোহোৱাকৈ থাকিল। প্রতিষ্ঠানখনে বছৰটোৰ শেষত 400 + 100 = 500টা চার্ট বিক্ৰী নোহোৱাকৈ ৰাখিব লাগিব। এনেধৰণৰ অপ্ৰত্যাশিত 400 পর্যন্ত পূৰ্বৱৰ্তী দ্ৰব্যৰ মজুতকে অপৰিকল্পিত পূর্বৱর্তী দ্ৰব্যৰ বৃদ্ধি বোলা হয়। আনহাতে যদি প্রতিষ্ঠানখনে 1050 টা চার্ট বিক্ৰী কৰিলেহেঁতেন তেনেহ’লে ই উৎপাদন কৰা 1000 চাৰ্টৰ উপৰি অতিৰিক্তভাৱে পূৰ্বৱৰ্তী চাৰ্টৰ 50 টা বিক্ৰী কৰিব লগা হ’লহেঁতেন৷ এনে ধৰণৰ পূৰ্বৱৰ্তী দ্ৰব্যৰ পৰা অপ্রত্যাশিতভাৱে 50 টা হ্ৰাস পোৱাৰ দৰে পৰিঘটনাক পূৰ্বৱৰ্তী দ্ৰব্যৰ অনাকাংক্ষিত হ্রাস হোৱা বুলিব পাৰি।
প্রশ্ন ৪১। দৰ সূচক কাক বোলে? দৰ-সূচকবোৰ কি কি ব্যাখ্যা কৰা।
উত্তৰঃ সামগ্ৰীৰ দৰৰ পৰিৱৰ্তনৰ জোখ ল’বলৈ অৱলম্বন কৰা উপায় হ’ল — দৰ সূচকাংক।
দৰ সূচকাংকবোৰ হ’ল—
(ক) পাইকাৰী সূচকাংক: কেতবোৰ গুৰুত্বপূৰ্ণ সামগ্ৰীৰ পাইকাৰী ভিত্তিত পাইকাৰী দৰ সূচকাংক প্ৰস্তুত কৰা হয়।
(খ) ব্যয় সূচকাংক: এই সূচকে নিৰ্দিষ্ট আয়ৰ স্তৰৰ অন্তৰ্ভুক্ত গ্রাহক শ্ৰেণীয়ে ভোগ কৰা সামগ্ৰীসমূহৰ নিৰ্দিষ্ট সময়ছোৱাৰ ভিতৰত হোৱা গড় দামৰ পৰিবৰ্তন সূচায়।
(গ) সাধাৰণ সূচকাংক: যি সূচকাংকত ওজন আৰোপ কৰা নহয়, সেই সূচকাংকই হ’ল সাধাৰণ সূচকাংক।
(ঘ) ভাৰ সমন্বিত সুচকাংক: এই সূচকাংকত নির্বাচিত সামগ্ৰীবোৰৰ গুৰুত্ব সাপেক্ষে ওজন আৰোপ কৰা হয়।
(ঙ) ঔদ্যোগিক উৎপাদন সূচকাংক: কৃষিজাত দামৰ জোখ লোৱা হয়।
প্রশ্ন ৪২। দেশৰ কল্যাণৰ সূচক হিচাপে মুঠ ঘৰুৱা উৎপানৰ কেতবোৰ সীমাৱদ্ধতা আছে। বাহ্যিকতা ভিত্তিত সেইবোৰৰ ব্যাখ্যা আগবঢ়োৱা।
উত্তৰঃ GDP অৰ্থাৎ মুঠ ঘৰুৱা উৎপাদন বাঢ়িলে দেশৰ কল্যাণ বৃদ্ধি নহ’বও পাৰে। তলত উল্লেখ কৰা তিনিটা কাৰণত GDP বৃদ্ধিয়ে কল্যাণ বৃদ্ধি নকৰিবও পাবে।
(ক) যদিহে বর্ধিত GDP এক সীমিত সংখ্যক ব্যক্তি বা প্রতিষ্ঠানৰ হাতত কেন্দ্ৰীভূত হয়। তেতিয়া সমাজৰ বুজন অংশৰ মানুহৰ আয়ৰ পৰিমাণ হ্রাস পাব পাৰে। এনে ক্ষেত্রত সমগ্ৰ দেশৰ জনসাধাৰণৰ কল্যাণৰ মাত্ৰা বৃদ্ধি হোৱা বুলিব নোৱাৰি।
(খ) যিহেতু অর্থনীতি এখনত বহু কার্যক মৌধিক পৰিমাপেৰে জোখা নহয়। যেনে উৎপাদন কার্যত ব্যৱহৃত ঘৰুৱা কাম-কাজৰ বিনিময়ত কোনো ধৰণৰ মজুৰি প্ৰদান কৰা নহয়। এনে ধৰণৰ কাৰ্য পঞ্জীয়নভুক্ত নোহোৱাৰ বাবে GDP গণনাত অন্তর্ভুক্ত কৰা নহয়। ফলত দেশৰ প্রকৃত উৎপাদন কার্য দেশৰ কল্যাণৰ মাপকাঠীৰে জুখিব পৰা নাযায়।
(গ) বাহ্যিকতাৰ ক্ষেত্ৰত কোনো বজাৰ ব্যৱস্থাৰ উপস্থিতি নাথাকে যাৰ জৰিয়তে ইয়াক ক্ৰয়-বিক্ৰয়ৰ অধীনলৈ আনিব পাৰি। বাহ্যিকতাৰ অৰ্থ হ’ল কোনো ব্যক্তি বা প্রতিষ্ঠানে অন্য প্রতিষ্ঠান বা ব্যক্তিৰ কাৰণে সৃষ্টি কৰা ভাল বা বেয়া প্রভাৱ, যাৰ বাবে ব্যক্তি বা প্রতিষ্ঠানক পুৰস্কাৰ বা শাস্তি প্ৰদান কৰা নহয়। এনে ক্ষেত্ৰত GDP ক জনকল্যাণৰ মাপকাঠী হিচাপে বিবেচনা কৰিলে উক্ত ঋণাত্মক বাহ্যিকতাৰ কথাও ভাবিব লাগিব। সেয়েহে প্রকৃতার্থত জাতীয় আয় বা জাতীয় উৎপাদন বৃদ্ধি পালেও মানুহৰ কল্যাণ বৃদ্ধি নাপাব পাৰে।
এনেবোৰ কাৰণত মুঠ ঘৰুৱা উৎপাদনৰ বৃদ্ধিয়ে দেশৰ কল্যাণ বৃদ্ধি পোৱাটো নুসূচাবও পাৰে।
প্রশ্ন ৪৩। সম্পদ তালিকাৰ অপৰিকল্পিত পুঞ্জীকৰণ কি ? সম্পদ তালিকাৰ অপৰিকল্পিত অপুঞ্জীকৰণৰ পৰা ই কিদৰে পৃথক ব্যাখ্যা কৰা।
উত্তৰঃ সম্পদ তালিকাক মূলধনী দ্রব্য হিচাপে গণনা কৰা হয়। এনেবোৰ দ্ৰব্য অর্থনীতি এখনত বিনিয়োগ হিচাপে ব্যৱহাৰ কৰা হয়। এনে সম্পদসমূহৰ বিক্ৰীৰ হাৰ যেতিয়া অপ্রত্যাশিত হিচাপে হ্রাস পায় তেতিয়া উৎপাদন প্ৰতিষ্ঠানৰ বিক্ৰী নোহোৱা দ্ৰব্যৰ পৰিমাণ অপ্রত্যাশিতভাৱে বৃদ্ধি পায় তাকেই সম্পদ তালিকাৰ অপৰিকল্পিত পুঞ্জীকৰণ বোলা হয়। এটা উদাহৰণেৰে অপৰিকল্পিত পুঞ্জীকৰণৰ পৰা অপৰিকল্পিত অপুঞ্জীকৰাৰ কেনেদৰে পৃথক কৰিব পাৰি দেখুওৱা হৈছে। ধৰা হ’ল এটা প্ৰতিষ্ঠানে 100 টা চার্ট পূর্বৱৰ্তী বছৰৰ পৰা আৰম্ভ কৰিছে আৰু আগন্তুক বছৰটোত 1000 টা চার্ট বিক্ৰীৰ আশা কৰিছে। কিন্তু 600 টা চাৰ্টহে বিক্ৰী কৰিলে। বাকী 400 টা চার্ট থাকিল অপৰিকল্পিত পুঞ্জীকৰণ দ্ৰব্য হিচাপে। আনহাতে যেতিয়া বিক্ৰীৰ পৰিমাণ অপ্রত্যাশিতভাবে বৃদ্ধি পালে য’ত 1000 তকৈ অধিক চার্ট বিক্ৰী হোৱাত বাকী অতিৰিক্ত চার্ট পূর্ববর্তী দ্ৰব্যৰ অর্থাৎ মজুত সম্পদৰ পৰা পূৰাব লাগিব। এয়াই হ’ল সম্পদ তালিকাৰ অপৰিকল্পিত অপুঞ্জীকৃত দ্রব্য।

উত্তৰঃ দিয়া আছে —

GDP হ’ল অৰ্থনীতি এখনত উৎপাদিত সকলো প্ৰতিষ্ঠানৰ স্থল মূল সযোজন (GVA)

or NDP₁ = NVA₁
NVA₁ = GVA₁ – D
or. GVA₁ = NVA + D
প্রশ্ন ৪৫। ঘৰুৱা আয়ৰ পৰা ব্যক্তিগত আয়ৰ পাৰ্থক্য দেখুওৱা আৰু সংজ্ঞা দিয়া। অথবা, ব্যক্তিগত আয় আৰু বেচৰকাৰী আয়ৰ সংজ্ঞা দিয়া আৰু সিহঁতৰ পাৰ্থক্য দেখুওৱা।
উত্তৰঃ ঘৰুৱা আয় হ’ল অৰ্থনীতি এখনত এখন দেশৰ ঘৰুৱা খণ্ড আৰু ব্যক্তিগত প্রতিষ্ঠানে ঘৰুৱা আৰু বিদেশৰ পৰা লাভ কৰা আয় আৰু চৰকাৰ আৰু বিদেশৰ পৰা লাভ কৰা হস্তান্তৰিত পৰিশোধৰ সমষ্টিয়েই হ’ল ব্যক্তিগত খণ্ডৰ আয় (Private Income)
অন্যহাতে পৰিয়াল আৰু ব্যৱসায় প্রতিষ্ঠানসমূহে যি আয় উপার্জন কৰে সেই আয়েই হ’ল ব্যক্তিগত আয় (Personal Income)
ব্যক্তিগত খণ্ডৰ আয়ৰ ধাৰণা ব্যক্তিগত আয়তকৈ অধিক বহল। ব্যক্তিগত খণ্ডৰ আয়ৰ পৰা কোম্পানী বা নিগমৰ নিগুট সঞ্চয় আৰু নিগম কৰ বাদ দিলে ব্যক্তিগত আয় পোৱা যায় ৷
গতিকে
ব্যক্তিগত আয় = ব্যক্তিগত খণ্ডৰ আয় – কোম্পানী বা নিগমৰ নিগুট সঞ্চয় নিগম কৰা।
প্রশ্ন ৪৬। উপভোক্তাৰ দাম সূচকাংক আৰু পাইকাৰী দাম সূচকাংকৰ সংজ্ঞা দিয়া আৰু পার্থক্য দেখুওৱা।
উত্তৰঃ উপভোক্তাৰ দৰ সূচক হ’ল উপভোক্তাৰ দ্বাৰা ক্ৰয় কৰা নিৰ্দিষ্ট পৰিমাণৰ দ্ৰব্য সামগ্ৰীৰ দৰ সূচক। আকৌ পাইকাৰী দৰ সূচক হ’ল যিবোৰ দ্ৰব্য সামগ্ৰীৰ পাইকাৰী দাম সংগ্ৰহ কৰা হয় আৰু তাৰ দ্বাৰা পাইকাৰী দৰ সূচক প্ৰস্তুত কৰা হয়।
পার্থক্য: (i) পাইকাৰী দৰ বজাৰত পাইকাৰী দাম লোৱা হয়। কিন্তু উপভোক্তাৰ দৰ সূচকত সামগ্ৰীৰ খুচুৰা দৰ মূল্য লোৱা হয়।
(ii) পাইকাৰী দৰ সূচক দেশৰ মুদ্রা মূল্য নিৰূপণ কৰিবলৈ ব্যৱহাৰ কৰা হয়।
কিন্তু উপভোক্তাৰ দৰ সূচক জীৱন ধাৰণৰ মানদণ্ড জুখিবলৈ লোৱা হয়।
(iii) পাইকাৰী দৰ সূচকৰ মূল্য সকলোৰে বাবে প্রযোজ্য নহয়। কিন্তু উপভোক্তাৰ দৰ সূচক গুৰুত্ব অধিক।
প্রশ্ন ৪৭। মুঠ ৰাষ্ট্ৰীয় উৎপাদন আৰু মুঠ ঘৰুৱা উৎপাদনৰ মাজৰ পাৰ্থক্য নিৰূপণ কৰা।
উত্তৰঃ
| মুঠ জাতীয় উৎপাদন (GNP) | স্থূল ঘৰুৱা উৎপাদন (GDP) | 
| (i) কোনে এখন দেশত এটা বছৰৰভিতৰত যি পৰিমাণৰ দ্ৰব্য সামগ্ৰীউৎপাদন হয় তাৰ মুঠ মূল্যই হ’ল মুঠ জাতীয় বা ৰাষ্ট্রীয় উৎপাদন। | (i) স্থূল ঘৰুৱা উৎপাদন হ’ল এখন দেশত বিভিন্ন উৎসসমূহৰ পৰা বছৰত উৎপাদিত দ্ৰব্য আৰু সেৱাৰ বজাৰ মূল্য। | 
| (ii) মুঠ জাতীয় উৎপাদন GNP = স্থুল ঘৰুৱা উৎপাদন + বিদেশৰ পৰা পোৱা নিগুট উপাদান আয় (NFIA) | (ii) অন্য হাতে স্থূল স্থুল ঘৰুৱা উৎপাদন GDP = C + I + G + Xn = Xn = X – M নিশুট ৰপ্তানি। | 
| (iii) মুঠ জাতীয় উৎপাদনৰ পৰা অৱক্ষয় বা দিলে নিগুট জাতীয় আয় পোৱা যায়। | (iii) মুঠ ঘৰুৱা উৎপাদনৰ পৰা অৱক্ষয় বাদ দিলে নিগুট ঘৰুৱা উৎপাদন পোৱা যায়। (NDP) | 
প্রশ্ন ৪৮। উৎপাদন আয় আৰু হস্তান্তৰিত আয়ৰ পাৰ্থক্য লিখা।
উত্তৰঃ উৎপাদনৰ আয় আৰু হস্তান্তৰিত আয়ৰ পাৰ্থক্য হ’ল —
(i) উৎপাদনৰ উপাদান সমূহে সেৱাৰ বিনিময়ত লাভ কৰা আয়েই হ’ল উৎপাদন আয়। কিন্তু উৎপাদনত অংশ নোলোৱাকৈয়ে হস্তান্তৰিত আয় লাভ কৰে।
(ii) উৎপাদনৰ আয় জাতীয় আয়ৰ এটা অংশ, কিন্তু হস্তান্তরিত আয় জাতীয় আয়ত অন্তর্ভুক্ত নহয়।
(iii) উৎপাদনৰ আয়ৰ অন্যতম হ’ল শ্ৰমিকৰ মজুৰি, ভূমিৰ খাজনা, মূলধনৰ সুদ তথা সংগঠনৰ আয়। কিন্তু হস্তান্তৰিত আয়ত নিবনুৱা ভাট্টা, পেন্সন ইত্যাদি অন্তর্ভুক্ত হৈ থাকে।
প্রশ্ন ৪৯। এটা বিশেষ বছৰত এখন দেশৰ কাৰক ব্যয়ত সৰ্বমুঠ ৰাষ্ট্ৰীয় উৎপাদন হ’ল 2,100 কোটি টকা। পৰিয়ালৰ ব্যক্তিগত ব্যয়সাধ্য আয় হ’ল 1500 কোটি টকা। তেওঁলোকে পৰিশোধ কৰা ব্যক্তিগত আয় কৰৰ পৰিমাণ হ’ল 500 কোটি টকা আৰু ব্যৱসায়িক প্রতিষ্ঠান তথা চৰকাৰৰ সংৰক্ষিত আয়ৰ মূল্য 300 কোটি টকাত মূল্যায়িত হৈছে। এই ক্ষেত্ৰত পৰিয়ালৰ দ্বাৰা ব্যৱসায়িক প্ৰতিষ্ঠান/ চৰকাৰ বা ব্যবসায়িক প্রতিষ্ঠান/ চৰকাৰৰ দ্বাৰা পৰিয়ালক কোনো সুত পৰিশোধ কৰা নাই। পৰিয়াললৈ চৰকাৰ আৰু ব্যবসায়িক প্ৰতিষ্ঠানৰ দ্বাৰা কৰা হস্তান্তৰ পৰিশোধৰ মূল্য নিৰূপণ কৰা।
উত্তৰঃ ব্যক্তিগত আয় = ব্যক্তিগত ব্যৱহাৰপোযোগী আয় + ব্যক্তিগত আয় কৰ
= 1500 + 500 কোটি টকা
= 2000 কোটি টকা।
ব্যক্তিগত ব্যৱহাৰপোযোগী আয় = উপাদান ব্যয় ভিত্তিত নিগুট জাতীয় উৎপাদন – প্রতিষ্ঠান আৰু চৰকাৰে ঘূৰাই পোৱা আয়ৰ পৰিমাণ + হস্তান্তৰ যোগ্য দেনা — ব্যক্তিগত আয় কৰ।
1500 = 2100 – 300+ হস্তান্তৰযোগ্য দেনা – 500
Transfer payments = 2100 – 300 – 1500 – 500
(হস্তান্তৰ যোগ্য দেনা) = 2100 – 2300
T.P = – 200
∴ Transfer Payment = 200 কোটি টাকা
প্রশ্ন ৫০। প্রতিবছৰে এটা ব্যৱসায়িক প্রতিষ্ঠানে উৎপাদন কৰে 1200 টকাৰ দ্ৰব্য। প্রতিষ্ঠানখনে ব্যৱহাৰ কৰা মধ্যবর্তী দ্ৰব্য হ’ল 750 টকা মূল্যৰ। যদিহে প্রতিষ্ঠানখনৰ দ্বাৰা সর্বমুঠ সংযোজিত মূল্য 400 টকা হয়। তেন্তে মুঠ সংযোজিত মূল্য আৰু স্থায়ী মূলধনৰ ব্যৱহাৰ (অৱক্ষয়) নিৰূপণ কৰা।
উত্তৰঃ স্থল মূল্য সংযোজন
GVAi = উৎপাদন প্ৰতিষ্ঠানৰ মূল্য – মধ্যৱতী দ্ৰব্যৰ মূল্য
= Output – Intermediate value = 1200 – 750
= 450 টকা
(NVA)
সর্বমুঠ সংযোজিত মূল্য = 400
∴ GVA (মুঠ মূল্য সংযোজন) 450 টকা
(NVA = GVA-D) = GVA-NVA
অৱক্ষয় হ’ল = 450 – 400
D = 50 টকা
প্রশ্ন ৫১। ধৰা হ’ল এটা নিৰ্দিষ্ট বছৰত এখন দেশৰ বজাৰ দৰত GDPMP ৰ পৰিমাণ ₹1100 কোটি। বিদেশৰ পৰা হোৱা উপাদানৰ প্ৰকৃত আয় (NFIA) ₹100 কোটি, শুদ্ধ পৰোক্ষ কৰৰ পৰিমাণ ₹150 কোটি আৰু জাতীয় আয়ৰ পৰিমাণ ₹850 কোটি হ’লে ক্ষয় ক্ষতিৰ সৰ্বমুঠ মূল্য কিমান হ’ব গণনা কৰা।
উত্তৰঃ দিয়া আছে,
GDPMP = ₹ 1100 কোটি টকা
NFIA = ₹ 100 কোটি টকা
শুদ্ধ পৰোক্ষ কৰ (NIT) = ₹ 150 কোটি টকা
জাতীয় আয় (NNPFC) = ₹ 850 কোটি টকা
অৱক্ষয়ৰ মান = ?
আমি জানো,
GDPMP = (NNPFC + অৱক্ষয়ৰ মান) – NFIA + শুদ্ধ পৰোক্ষ কৰ (NIT)
⇒ 1100 = 850 + অৱক্ষয়ৰ মান 100 + 150
= 1000 – 100 + অৱক্ষয়ৰ মান
= 900 + অৱক্ষয়ৰ মান
∴ অৱক্ষয়ৰ মান = 1100 – 900
= 200 কোটি টকা।
প্রশ্ন ৫২। মধ্যবিত্ত সামগ্রী, অন্তিম সামগ্রী, ভোগ্য সামগ্ৰী আৰু বিনিয়োগ সামগ্রীৰ সংজ্ঞা দিয়া।
উত্তৰঃ মধ্যবর্তী সামগ্ৰী: যিবোৰ দ্রব্য এক ৰূপান্তৰৰ প্ৰক্ৰিয়াৰে পুনৰ উৎপাদনত ব্যৱহাৰ কৰা হয়, তেনেবোৰ দ্ৰব্যকে মধ্যৱর্তী দ্ৰব্য বোলে। এনে দ্ৰব্যৰ মূল্য জাতীয় আয়ত গণনা কৰা নহয়, কাৰণ চূড়ান্ত দ্ৰব্য উৎপাদনত মধ্যবর্তী দ্রব্য ব্যবহৃত হয়।
চূড়ান্ত দ্রব্য: যিবোৰ দ্ৰব্য আৰু কোনো ৰূপান্তৰৰ প্ৰক্ৰিয়াৰ মাজেৰে যাব নালাগে আৰু অন্তিম ব্যৱহাৰৰ উপযোগী হৈ উঠে, তাকে চূড়ান্ত দ্রব্য বুলি কোৱা হয়। এনে দ্ৰব্যৰ মূল্য জাতীয় আয়ত অন্তভুক্ত হয়।
ভোগ্য দ্রব্য: উপভোক্তাৰ দ্ৰব্যসমূহ উপভোক্তাই প্রত্যক্ষভাৱে উপভোগ কার্যত ব্যৱহাৰ কৰে। এইবোৰে অভাৱ পূৰণ কৰিব পৰা ক্ষমতা আছে। এইবোৰ এবাৰ বা বহুবাৰ উপভোগ কৰিব পাৰে।
মূলধনী (বিনিয়োগ) দ্রব্য: মূলধনী দ্রব্যসমূহ উৎপাদনকাৰীয়ে উৎপাদন কার্যত ব্যৱহাৰ কৰে। ই পৰোক্ষভাৱে উপভোক্তাৰ অভাৱ পূৰণ কৰে। এনেবোৰ দ্ৰব্য বহুবাৰ দীৰ্ঘদিনৰ বাবে উৎপাদনকাৰীয়ে ব্যৱহাৰ কৰিব পাৰে।
(ঘ) দীঘলীয়া প্ৰশ্নত্তৰঃ
প্রশ্ন ১। তলত দিয়া তথ্যৰ পৰা ব্যক্তিগত আয় আৰু ব্যক্তিগত ব্যয়যোগ্য আয় উলিওৱা।
| (ক) বজাৰ দামত GDP | 9000 | 
| (খ) অবক্ষয় | 500 | 
| (গ) বিদেশৰ পৰা সৰ্বমুঠ কাৰক আয় | 200 | 
| (ঘ) (পৰোক্ষ কৰ ভর্তুকী) সৰ্বমুঠ পৰোক্ষ কৰ | 100 | 
| (ঙ) বিতৰণ নোহোৱা লাভ | 1500 | 
| (চ) কৰ্প’ৰেট কৰ | 1000 | 
| (ছ) পৰিয়ালে গ্ৰহণ কৰা সুত | 1200 | 
| (জ) পৰিয়ালে পৰিশোধ কৰা সুত | 1000 | 
| (ঝ) হস্তান্তৰ আয় | 800 | 
| (ঞ) প্রত্যক্ষ কৰ | 600 | 
উত্তৰঃ নিগুট ঘৰুৱা উৎপাদন উপাদান ব্যয়
NDPFC = GDPMP – অৱক্ষয় – নিগুট পৰোক্ষ কৰ (Net – Indirect Tax)
= 9000 – 500 – 100
= 8400 কোটি।
∴ ব্যক্তিগত খণ্ডৰ আয় (P1) = NDPFC + NIFA + সুদ + হস্তান্তৰ আয় (Private Income)
= 8400 + 200 + 1200 + 800
= 10,600 কোটি।
∴ ব্যক্তিগত আয় = ব্যক্তিগত খণ্ড আয় – নিগম কৰ (Personal Income) – বিতৰণ নোহোৱা লাভ
= 10,600 – 1000 1500
= 8100 কোটি।
ব্যক্তিগত ব্যয়যোগ্য আয় = ব্যক্তিগত আয় – পৰিয়ালে পৰিশোধ কৰা সুদ – প্রত্যক্ষ কৰ(Personal Diposal Income)
= 8100 – 1000 – 600
= 6500 কোটি।
গতিকে ব্যক্তি আয় = 8100, ব্যক্তিগত ব্যয়যোগ্য আয় = 6500 কোটি।
প্রশ্ন ২। এটা নিৰ্দিষ্ট বছৰত এগৰাকী ব্যৱসায়ীয়ে তেওঁৰ উৎপাদিত সামগ্ৰী বিক্ৰী কৰি পায় 8000 টকা। তেওঁৰ সা-সৰঞ্জামৰ অবক্ষয় মূল্য হ’ল 500 টকা। বাকী থকা 7500 টকাৰ নতুন সা-সৰঞ্জাম কিনি 800 টকা বিক্ৰী কৰ আদায় দিয়ে। আৰু অৱশেষত তেওঁৰ আয়ৰ 10 শতাংশ আয় কৰ হিচাপে পৰিশোধ কৰে। ওপৰৰ তথ্যৰ ভিত্তিত তলত দিয়া আয়ৰ লেখ সমূহলৈ তেওঁৰ বৰঙণি নিৰূপণ কৰা।
(ক) বজাৰ দামত GDP
উত্তৰঃ GDPMP বজাৰ দৰত মুঠ ঘৰুৱা উৎপাদন
GDPMP = 8000
(খ) বজাৰ দামত NNP
উত্তৰঃ NNPMP = বজাৰ দৰত নিগুট ঘৰুৱা উৎপাদন
= GDPMP – অৱক্ষয় (D)
= 8000 – 500
= 7500 টকা।
(গ) কাৰক ব্যয়ত NNP
উত্তৰঃ NNPFC = উৎপাদন ব্যয়ত নিগুট জাতীয় আয়
= NNPFC – নিগুট পৰোক্ষ কৰ (Net Indirect Tax)
= 7500 – 800
= 6700 টকা
(ঘ) ব্যক্তিগত আয়।
উত্তৰঃ ব্যক্তিগত আয় (Personal Income) = 6700
(ঙ) ব্যক্তিগত ব্যয়সাধ্য আয়।
উত্তৰঃ ব্যক্তিগত ব্যয় যোগ্য আয় = ব্যক্তিগত আয় – পৰিশোধিত সুদ
= 6700 – 10% of 6700
= 6700 – 670
= 6030 টকা
প্ৰশ্ন ৩। তলত দিয়া তথ্যৰ পৰা ব্যক্তিগত আয় আৰু ব্যক্তিগত ব্যয়সাধ্য আয় নিৰ্ণয় কৰা।
| (ক) কাৰক ব্যয়ত NDP | 9000 | 
| (খ) বিদেশৰ পৰা সৰ্বমুঠ কাৰক আয় | 150 | 
| (গ) বিতৰণ নোহোৱা লাভ | 500 | 
| (ঘ) কৰ্প’ৰেট কৰ | 600 | 
| (ঙ) পৰিয়ালে গ্ৰহণ কৰা সুত | 1200 | 
| (চ) পৰিয়ালে পৰিশোধ কৰা সুত | 1000 | 
| (ছ) হস্তান্তৰ আয় | 400 | 
| (জ) ব্যক্তিগত কৰ | 600 | 
উত্তৰঃ ব্যক্তিগত আয় = NDPFC + বিদেশৰ পৰা পোৱা নিগুট আয় (NFIA) + পৰিয়ালে গ্ৰহণ কৰা সুদ + হস্তান্তৰ আয়
= 9000+ 150+ 1200 + 400
= 10,750 কোটি।
ব্যক্তিগত আয় = ব্যক্তিগত আয় – বিতৰণ নোহোৱা লাভ – নিগম কৰ
= 10,750 – 500 – 600
= 9650 কোটি
ব্যক্তিগত ব্যয় যোগ্য আয় (Personal Disposal Income)
= ব্যক্তিগত খণ্ডৰ আয় – প্রত্যক্ষ কৰ
= 9650 – 600
= 9050 কোটি।
প্রশ্ন ৪। পৰিয়াল আৰু ব্যৱসায়িক প্ৰতিষ্ঠান এই দুই খণ্ডৰে সৰলীকৃত অৰ্থনীতিত আয়ৰ বৃত্তীয় প্রবাহ সম্পর্কে ব্যাখ্যা আগবঢ়োৱা।
অথবা,
গৃহস্থী আৰু ব্যবসায় প্রতিষ্ঠান — এই দ্বি-খণ্ডযুক্ত এটা সৰল অৰ্থব্যৱস্থাত আয়ৰ চক্রীয় প্রবাহ ব্যাখ্যা কৰা।
উত্তৰঃ সমষ্টিবাদী অৰ্থনীতিত আয়ৰ প্ৰবাহ মানে হ’ল এটা খণ্ডৰ পৰা আন এটা খণ্ডলৈ প্ৰৱাহিত হোৱা আয়ক আয় প্ৰৱাহ বোলে। এখন অৰ্থনীতিত এই আয়ৰ প্ৰৱাহ প্ৰধানকৈ চাৰিটা খণ্ডৰ ভিতৰত দেখা যায়। যেনে প্রতিষ্ঠান (firms), পৰিয়াল খণ্ড (household), চৰকাৰী খণ্ড (Government) আৰু বহিঃখণ্ড (External)। গতিকে এই আটাইকেইটা খণ্ডৰ মাজত দৰাচলতে তিনিটা প্ৰবাহক প্রতিনিধিত্ব কৰে। যেনে—
(a) মুঠ উৎপাদন মুখ্য প্ৰৱাহ।
(c) মুঠ আয় প্রবাহ।
(d) মুঠ ব্যয় প্রবাহ।
এখন সৰল অৰ্থনীতিত মুঠ দুটা খণ্ডৰ মাজত আয় প্ৰৱাহ হৈ থাকে। যেনে প্রতিষ্ঠান আৰু পৰিয়াল খণ্ডৰ মাজত, উদ্যোগ প্রতিষ্ঠানে দ্রব্য উৎপাদন কৰে আকৌ সেই দ্রব্যসমূহ ঘৰুৱা খণ্ডৰ উৎপাদনৰ উপাদান যেনে ভূমি, শ্রম, মূলধন সংগঠন আদিক ব্যৱহাৰ কৰা হয়। যাৰ বিনিময়ত উপাদান পৰিশোধ বা পাৰিশ্ৰমিক হিচাপে খাজনা, মজুৰি, সুদ, লাভ প্ৰদান কৰা হয়। যাক উপাদান আয় হিচাপে অৰ্জন কৰে। ওপৰোক্ত আয় আকৌ পৰিয়াল খণ্ডই প্রতিষ্ঠানে উৎপাদন কৰা দ্রব্য সামগ্ৰী ক্ৰয়ত ব্যয় কৰে। গতিকে উপাদানসমূহে পাৰিশ্ৰমিক হিচাপে গ্ৰহণ কৰা আয় এনেদৰে প্ৰতিষ্ঠানে অৰ্জন কৰে। পুনৰ প্রতিষ্ঠানে উৎপাদনত ব্যয় কৰে। গতিকে জাতীয় আয় ক্ৰোকাৰ হিচাপে উদ্যোগ প্ৰতিষ্ঠান আৰু ঘৰুৱা খণ্ডৰ মাজত প্ৰৱাহিত হোৱাকে জাতীয় আয়ৰ বৃত্তীয় প্রবাহ বুলি কোৱা হয়।
ইয়াক চিত্ৰৰ সহায়ত দেখুওৱা হৈছে।

চিত্ৰত প্ৰতিষ্ঠান আৰু ঘৰুৱা খণ্ডৰ মাজত আয়ৰ প্ৰবাহ দেখুওৱা হৈছে।
প্রশ্ন ৫। GDP গণনাৰ মূল্য সংযোজিত পদ্ধতিটো ব্যাখ্যা কৰা।
উত্তৰঃ জাতীয় আয় গণনাৰ মূল্য সংযোজন পদ্ধতি অনুসৰি এখন দেশৰ উৎপাদন প্ৰতিষ্ঠানৰ উৎপাদিত দ্রব্য সামগ্ৰী আৰু সেৱাৰ মূল্য নির্ণয় কৰি জাতীয় আয় গণনা কৰা হয়। ইয়াক উৎপাদন পদ্ধতি বুলিও কোৱা হয়। এটা বছৰত সকলো উৎপাদন প্ৰতিষ্ঠানৰ মূল্য সংযোজনৰ সমষ্টি ল’লেই মুঠ ঘৰুৱা উৎপাদনৰ মূল্য পোৱা যায়। প্ৰতিটো সামগ্ৰী আৰু সেৱা কাৰ্যৰ উৎপাদন প্ৰক্ৰিয়া কেবাটাও স্তৰৰ মাজেদি অতিক্ৰম কৰিব লগীয়া হয়। গতিকে প্ৰতিষ্ঠান এটাৰ মূল্য সংযোজন হ’ল উৎপাদন প্ৰতিষ্ঠানৰ উৎপাদন মূল্য — উৎপাদন প্রতিষ্ঠানে ব্যৱহাৰ কৰা মধ্যৱৰ্তী দ্ৰব্যৰ মূল্য। প্রতিষ্ঠানটোৰ সংযোজিত মূল্য উৎপাদনৰ উপাদানৰ মাজত ভগাই দিয়া হয়। গতিকে খাজানা + সুদ + মজুৰি + লাভ হ’ল মুঠ মূল্য সংযোজন। সেয়ে উৎপাদন প্ৰতিষ্ঠানৰ মুঠ সংযোজিত মূল্য (GVA) আৰু দেশখনৰ উৎপাদিত সেৱা আৰু দ্ৰব্যৰ মূল্যৰ মুঠ পৰিমাণ। ইয়েই ঘৰুৱা উৎপাদন (GDP) তলত অর্থনীতি এখনৰ nটা প্ৰতিষ্ঠানৰ মুঠ ঘৰুৱা উৎপাদন মূল্য দেখুওৱা হৈছে।


অর্থাৎ অর্থনীতি এখনৰ মুঠ ঘৰুৱা উৎপাদন হ’ল সমগ্র অর্থনীতিখনৰ সকলো উৎপাদন প্ৰতিষ্ঠানৰ নিগুট সংযোজিত মূল্য (NVA) আৰু ক্ষয়-ক্ষতিৰ পৰিমাণৰ সৰ্বমুঠ যোগফল।

অথবা,
মুঠ ঘৰুৱা উৎপাদন গণনাৰ পদ্ধতিটো ব্যাখ্যা কৰা।
উত্তৰঃ GDP হ’ল অর্থনীতি এখনৰ সকলো উৎপাদন প্রতিষ্ঠানে গ্ৰহণ কৰা চূড়ান্ত ব্যয়ৰ যোগফল।

ইয়াত C হ’ল সমগ্ৰ অৰ্থনীতিৰ মুঠ সামগ্ৰীৰ চূড়ান্ত উপভোগ বায়ৰ পৰিমাণ। I হ’ল মূলধনজাত সামগ্ৰীৰ বাবদ হোৱা ব্যয়, G হ’ল চৰকাৰী ব্যয়। কেন্দ্ৰীয়, ৰাজ্যিক আৰু স্থানীয় এই তিনিও পর্যায়ৰ বাবে চৰকাৰে কৰা ব্যয়।
X – M হৈছে ৰপ্তানিকৃত আৰু আমদানিকৃত দ্ৰব্যৰ মূল্যৰ মাজত পাৰ্থক্য। যদিহে M আমদানিৰ পৰিমাণ হয় তেতিয়া C-Cm হ’ব ভোগ্য সামগ্ৰীৰ শিতানত হোৱা ব্যয়। I – Im হ’ল মূলধনজাত সামগ্ৰীত হোৱা যায়। G – Gm হ’ল চৰকাৰী উৎপাদিত সামগ্ৰীৰ ওপৰত কৰা ব্যয়। গতিকে m = Cm + Im Gm । এতিয়া সমীকৰণটো হ’ব C + I + G + X – M আকৌ RV₁ = C₁ + I₁ = G₁ + X₁ যদি N সংখ্যক প্রতিষ্ঠান থাকে N সংখ্যক প্রতিষ্ঠান যোগ কৰি

এই ব্যয় পদ্ধতিৰে স্থল ঘৰুৱা উৎপাদন নির্ণয় কৰা হয়।
প্রশ্ন ৭। GDP গণনাত আয় পদ্ধতিটো ব্যাখ্যা কৰা।
উত্তৰঃ অর্থনীতি এখনৰ সকলো উৎপাদন প্রতিষ্ঠানে উৎপাদিত দ্রব্য বিক্ৰী কৰি পোৱা আয় উৎপাদনৰ উপাদানৰ মাজত পাৰিশ্ৰমিক হিচাপে বিতৰণ কৰা হয়। গতিকে অর্থনীতি এখনৰ মুঠ চূড়ান্ত ব্যয় হ’ল উৎপাদনৰ আয়ৰ সৈতে সমান। আয় পদ্ধতিৰে এখন অৰ্থনীতিৰ জাতীয় আয় নিৰ্ণয় কৰা হয় য’ত উৎপাদনৰ উপাদানৰ সেৱাৰ বাবে যি পাৰিশ্রমিক পৰিশোধ কৰা হয় তাৰ চূড়ান্ত মূল্যৰ মানেই হ’ল অৰ্থনীতিখনৰ জাতীয় আয়। গতিকে আয় পদ্ধতিৰে GDP নির্ণয় কেনেকৈ কৰা হয় তাক তলত দিয়া পদ্ধতি আলোচনা কৰা হৈছে। ধৰি লোৱা হ’ল ‘n’ টা পৰিয়াল আছে। বছৰটোত ‘i’ নং পৰিয়ালটোৱে লাভ কৰা বেতন মজুৰি W₁লাভ P₁ In₁ সুদ R₁ য়ে খাজনাক সূচাইছে। গতিকে,

ৰাষ্ট্ৰীয় আয় গণনা পদ্ধতিত তলত উল্লেখ কৰা বিষয়সমূহ অন্তর্ভুক্ত কৰা হয় —
(১) প্ৰতিষ্ঠানৰ উপাদান নিয়োগৰ পৰিমাণ।
(২) পাৰিশ্ৰমিক হিচাপে উপাদান সেৱাৰ বাবে দিয়া পৰিমাণ।
(৩) নিয়োজিত লোকসকলৰ মিশ্ৰিত আয় আৰু কৰ্মচাৰীক দিয়া ক্ষতিপূৰণ।
(৪) বিদেশৰ পৰা পোৱা নিশুট আয়।
(৫) স্থিৰ মূলধনৰ উপভোগ।
সেয়েহে আয় পদ্ধতিত ৰাষ্ট্ৰীয় আয় উৎপাদনৰ উপাদান আয়ৰ যোগফল।
প্রশ্ন ৮। GDP হ’ল এখন দেশৰ জনসাধাৰণৰ কল্যাণ নিৰূপণৰ সূচকাংক বুলি কোৱাটো কিয় শুদ্ধ নহ’ব তাৰ কাৰণ সমূহ আলোচনা কৰা।
অথবা,
এখন দেশৰ কল্যাণৰ সূচক হিচাপে GDP ক ব্যৱহাৰ কৰাৰ কিছুমান সীমাবদ্ধতা লিখা।
উত্তৰঃ GDP বা মুঠ ঘৰুৱা উৎপাদন হ’ল এখন দেশৰ জনসাধাৰণৰ কল্যাণ নিৰূপণৰ এক সংকোচক। কিন্তু সকলো ক্ষেত্ৰতে এই উক্তিটো প্ৰযোজ্য নহয়। এখন দেশৰ জনসাধাৰণৰ আয় বৃদ্ধি পালেই কল্যাণ বৃদ্ধি পোৱাটো নুবুজায়। তলত উল্লেখ কৰা বিষয়কেইটা পৰ্যবেক্ষণৰ দ্বাৰা ইয়াৰ তাৎপৰ্য দেখুওৱা হৈছে।
(১) GDPৰ বিতৰণ ব্যৱস্থা: যদিহে GDP বৃদ্ধিয়ে দেশখনৰ কেইজনমান মুষ্টিমেয় লোকৰ হাতত কেন্দ্ৰীভূত হয় তেন্তে GDP বৃদ্ধিয়ে কল্যাণ বৃদ্ধি নকৰে। যদিহে GDPৰ দ্বাৰা উৎপাদিত আয় সমভাৱে বিতৰণ হয় আৰু সমাজৰ কল্যাণ বৃদ্ধি পায় তেহে প্রযোজ্য হ’ব।
(২) অমৌদ্রিক বিনিয়ম: অৰ্থনীতিত এনেবোৰ খণ্ড আছে যিবোৰ জাতীয় আয় গণনাত সন্নিবিষ্ট কৰা নহয় । এনে অমৌদ্রিক খণ্ডৰ আয় বৃদ্ধি পালেও GDP গণনাত নাথাকে। এনেধৰণৰ GDPয়ে দেশৰ উৎপাদনমূলক কাম-কাজ আৰু কল্যাণৰ প্ৰকৃত ছবিখন দাঙি ধৰিব নোৱাৰে।
(৩) বাহ্যিকতাৰ উপস্থিতি: বাহ্যিকতাৰ কোনো বজাৰ মূল্য নাই। কোনো বিশেষ অঞ্চলত স্থাপিত উদ্যোগ প্ৰতিষ্ঠানৰ সংযোগী মূল্য GDP অন্তর্ভুক্ত করা হয়। যদি সেই উদ্যোগ প্রতিষ্ঠানটোৰ ফলত বায়ুমণ্ডল প্ৰদূষিত হৈ জনসাধাৰণৰ জীৱন-যাপনত অসুবিধাৰ সৃষ্টি কৰিছে যাৰ ফলত স্বাস্থ্যজনিত কামত অর্থ ব্যয় কৰিব লগা হৈছে তেনে ক্ষেত্ৰত GDP বৃদ্ধিয়ে কল্যাণ বৃদ্ধিৰ সূচক হ’ব নোৱাৰে।
প্রশ্ন ৯। তলত দিয়া তথ্যসমূহৰ পৰা কাৰক ব্যয়ত শুদ্ধ ৰাষ্ট্ৰীয় উৎপাদন, ব্যক্তিগত আয় আৰু ব্যক্তিগত ব্যয়সাধ্য আয় নিৰূপণ কৰা।
| কোটি টকা | |
| (ক) বজাৰ দামত | 15000 | 
| (খ) অবক্ষয় | 1000 | 
| (গ) বিদেশৰ পৰা সৰ্বমুঠ কাৰক আয় | 800 | 
| (ঘ) (পৰোক্ষ কৰ ভর্তুকী), সৰ্বমুঠ পৰোক্ষ কৰ | 500 | 
| (ঙ) বিতৰণ নোহোৱা লাভ | 3000 | 
| (চ) কৰ্প’ৰেট ক’ৰ | 2500 | 
| (ছ) পৰিয়ালে গ্ৰহণ কৰা সুত | 2000 | 
| (জ) পৰিয়ালে পৰিশোধ কৰা সুত | 1500 | 
| (ঝ) হস্তান্তৰ আয় | 3000 | 
| (ঞ) প্রত্যক্ষ কৰ | 1000 | 
উত্তৰঃ উৎপাদিত ব্যয়ত নিগুট জাতীয় উৎপাদন (NDPFC)
= GDPMP – অৱক্ষয় (D) – নিগুট পৰোক্ষ কৰ (Net Indirect Tax)
= 15000 – 1000 – 500
= 15000 – 1500
= 13,500
ব্যক্তিগত আয় (Personal Income)
ব্যক্তিগত খণ্ড আয় (Private Income)
= NDPFC + বিদেশৰ পৰা পোৱা নিগুট উপাদান আয় (NIFA ) + পৰিয়ালে লাভ কৰা সুদৰ হাৰ + হস্তান্তৰ আয়।
= 19500 + 800 + 2000 + 3000
= 19,300 কোটি।
ব্যক্তিগত আয় = ব্যক্তিগত খণ্ডৰ আয় – নিগম কৰ – অবিতৰিত লাভ
= 19,300 – 2500 – 3000
= 13,800 কোটি
ব্যয় যোগ্য ব্যক্তিগত আয় (PDI) = পৰিয়ালে আদায় দিয়া সুদ – প্রত্যক্ষ কৰ।
= 13800 – 1500 – 1000
= 11,300 কোটি টকা।
প্রশ্ন ১০। এখন দেশৰ ৰাষ্ট্ৰীয় আয় গণনাৰ সৈতে জড়িত তথ্যসমূহ তলত দিয়া হৈছে:
| বিষয় | টকা (কোটি) | 
| (ক) কাৰক ব্যয়ত ৰাষ্ট্ৰীয় ঘৰুৱা উৎপাদন | 16,000 | 
| (খ) বিদেশৰ পৰা সৰ্বমুঠ কাৰক আয় | 1500 | 
| (গ) বিতৰণ নোহোৱা আয় | 2000 | 
| (ঘ) কৰ্প’ৰেট কৰ | 800 | 
| (ঙ) পৰিয়ালে গ্ৰহণ কৰা সুত | 1100 | 
| (চ) পৰিয়ালে পৰিশোধ কৰা সুত | 900 | 
| (ছ) হস্তান্তৰ আয় | 2000 | 
| (জ) প্রত্যক্ষ কৰ | 1500 | 
উত্তৰঃ NNPFC = ৰাষ্ট্ৰীয় উপাদান – (NIFA) বিদেশৰ পৰা পোৱা নিগুট আয়
= 16000 – 1500
= 17500 টকা
ব্যক্তিগত খণ্ডৰ আয় (Private Income ) = NNPFC + NIFA + পৰিয়ালে গ্ৰহণ কৰা সুদ + হস্তান্তৰ আয় (Transfer Income)
= 16000 + 1500 + 1.100 + 2000
= 20600 কোটি টকা।
ব্যক্তিগত আয় (Personal Income)
= ব্যক্তিগত খণ্ডৰ আয় – অতিৰিক্ত লাভ – নিগম কৰ।
= 20600 – 2000 – 800
= 117800 কোটি টকা।
ব্যক্তিগত ব্যয় যোগ্য আয় (Personal Disposel Income)
= প্ৰত্যক্ষ কৰ – পৰিয়ালে প্ৰদান কৰা সুদ
= 17800 – 1500 – 900
= 15400 কোটি টকা।
প্রশ্ন ১১। ব্যয় পদ্ধতিৰে জাতীয় আয় গণনা কৰোঁতে ল’ব লগা প্রয়োজনীয় সাৱধানতাসমূহ আলোচনা কৰা।
উত্তৰঃ (ক) প্ৰতিষ্ঠানৰ উৎপাদিত দ্ৰব্য আৰু সেৱাত হোৱা চূড়ান্ত উপভোগ ব্যয়। আমি ইয়াক সাধাৰণতে Ci ৰে বুজাওঁ। লক্ষ্যণীয় যে, সাধাৰণতে পৰিয়াল গোটসমূহে উপভোগ ব্যয় বহন কৰে। অৱশ্যে প্ৰতিষ্ঠানে তেওঁলোকৰ অতিথি শুশ্রূষা বা কৰ্মচাৰীৰ বাবে ক্ৰয় কৰা উপভোগ্য দ্রব্যসমূহ ইয়াৰ ব্যতিক্ৰম হয়।
(খ) চূড়ান্ত বিনিয়োগ ব্যয় li হ’ল ‘i’ প্রতিষ্ঠানে উৎপাদন কৰা মূলধনী সামগ্ৰীৰ ওপৰত আন প্রতিষ্ঠানে কৰা ব্যয়। মনকৰিবলগীয়া যে GDP ৰ গণনাত মধ্যৱৰ্তী দ্ৰব্যৰ ব্যয় অন্তৰ্ভুক্ত নহয় যদিও বিনিয়োগ ব্যয়ক কিন্তু অন্তৰ্ভুক্ত কৰা হয়। ইয়াৰ মূল কাৰণ হ’ল বিনিয়োগ দ্ৰব্যসমূহ প্ৰতিষ্ঠানৰ লগতে থাকি যায়। আনহাতে মধ্যবর্তী দ্রব্যসমূহ উৎপাদনী প্ৰক্ৰিয়াৰ মাধ্যমত উপভোগ কৰা হয়।
(গ) ‘i’ প্রতিষ্ঠানে উৎপাদন কৰা চূড়ান্ত দ্ৰব্য আৰু সেৱাসমূহৰ ওপৰত চৰকাৰে কৰা ব্যয়। আমি সাধাৰণতে ইয়াক Gi ৰে বুজাওঁ। চৰকাৰে বহন কৰা এনে চূড়ান্ত ব্যয়ে উপভোগ আৰু বিনিয়োগ এই দুয়োপ্ৰকাৰৰ ব্যয়কে সামৰি লয়।
প্রশ্ন ১২। এখন তিনিটা খণ্ডযুক্ত অৰ্থনীতিৰ আয়ৰ চক্ৰীয় প্ৰৱাহৰ বিৱৰণ দিয়া।
উত্তৰঃ এখন তিনিটা খণ্ডযুক্ত অৰ্থনীতিৰ আয়ৰ চক্ৰীয় প্ৰবাহৰ লগত তলত খণ্ডকেইটা জড়িত থাকে।
সেইকেইটা হ’ল—
(i) ঘৰুৱা খণ্ড।
(ii) প্রতিষ্ঠান। আৰু
(iii) চৰকাৰী খণ্ড।
ঘৰুৱা খণ্ড, প্রতিষ্ঠান আৰু চৰকাৰী খণ্ডৰ আয়ৰ চক্ৰীয় প্রবাহ।
তলৰ চিত্ৰৰ সহায়ত দেখুওৱা হ’ল—

এখন অর্থনীতিত ঘৰুৱা খণ্ডই উৎপাদনৰ উপাদান শ্রম, ভূমি, মূলধন আৰু সংগঠকৰ সেৱা প্ৰতিষ্ঠানলৈ আগবঢ়ায়। তলত প্রতিষ্ঠানে উপাদানক সেৱাৰ পুৰস্কাৰ যেনে – – শ্রমিকৰ মজুৰি, ভূমিক খাজানা, মূলধনক সুদ আৰু সংগঠকক লাভ প্রদান করে। অর্থাৎ উপাদানসমূহে আয় উপাৰ্জন কৰে। সেই আয়ৰ জৰিয়তে প্ৰতিষ্ঠানৰ পৰা দ্ৰব্য আৰু সেৱা ক্ৰয় কৰে। ঘৰুৱা খণ্ডই চৰকাৰী খণ্ডত সেৱা আগবঢ়োৱাৰ বাবে চৰকাৰৰ পৰা মজুৰি লাভ কৰে। ব্যক্তিয়ে আয়ৰ এটা অংশ চৰকাৰক কৰ প্ৰদান কৰে।
প্রতিষ্ঠানে উপার্জিত আয়ৰ এটা অংশ চৰকাৰক কৰ প্ৰদান কৰিবলগীয়া হয়। আনহাতে চৰকাৰী খণ্ডই প্ৰতিষ্ঠানৰ পৰা দ্ৰব্য আৰু সেৱা ক্ৰয় কৰে। এনেদৰে তিনিটা খণ্ডযুক্ত অর্থনীতিত আয়ৰ চক্ৰীয় প্ৰবাহৰ সৃষ্টি হয়।
প্রশ্ন ১৩। তলৰ তথ্যৰ পৰা
(i) উপাদান ব্যয়ত মুঠ/স্থুল ঘৰুৱা উৎপাদন (GDPFC)
(ii) বজাৰ দৰত মুঠ/স্থুল জাতীয় উৎপাদন (GNPMP)
| (a) উপভোগ ব্যয় | 2,000 কোটি টকা | 
| (b) বিনিয়োগ ব্যয় | 1.200 কোটি টকা | 
| (c) চৰকাৰী ব্যয় | 450 কোটি টকা | 
| (d) ৰপ্তানি | 80 কোটি টকা | 
| (e) আমদানি | 95 কোটি টকা | 
| (f) বিদেশৰ পৰা নিগুট উৎপাদন ব্যয় | 60 কোটি টকা | 
| (g) পৰোক্ষ কৰ | 90 কোটি টকা | 
| (h) ৰেহাই | 80 কোটি টকা | 
| (i) অবক্ষয় | 30 কোটি টকা | 
উত্তৰঃ দিয়া আছে,
ভোগ ব্যয় (C) = 2000 কোটি টকা
বিনিয়োগ ব্যয় (I) = 1200 কোটি টকা
চৰকাৰী ব্যয় (G) = 450 কোটি টাকা
ৰপ্তানি (X) = 80 কোটি টকা
আমদানি (M) = 95 কোটি টকা
বিদেশৰ পৰা নিওট উপাদান আয় (NFIA) = 60 কোটি টকা
পৰোক্ষ কৰ (IT) = 90 কোটি টকা
ৰেহাই (S) = 80 কোটি টকা
অৱক্ষয় (D) = 30 কোটি টকা
∴ GNPMP = C + I + G + (X – M) + NIFA + D
= 2000 + 1200 + 450 + (80 – 95) + 60 + 30
= 3650 – 15 + 90
= 3635 + 90
= 3725 কোটি টকা
NNPFC = GNPMP – D – (IT – S)
= 3725 – 30 – (90 – 80)
= 3725 – 30 -10
= 3725 – 40
= 3685 কোটি টকা
GDPFC = GNPMP – NFIA – (IT – S)
= 3725 – 60 (90 – 80)
= 3725 – 70
= 3655 কোটি টকা
প্রশ্ন ১৪। বজাৰ দৰত মুঠ ঘৰুৱা উৎপাদন (GDPMP) বুলিলে কি বুজা ? চমুকৈ লিখা।
উত্তৰঃ বজাৰ দৰত মুঠ ঘৰুৱা উৎপাদন হৈছে এবছৰত দেশ এখনৰ ঘৰুৱা প্ৰদেশত সকলো উদ্যোক্তাই উৎপাদন কৰা সকলো চূড়ান্ত দ্ৰব্য আৰু সেৱাৰ মুদ্রা মূল্য। দেশ এখনৰ ঘৰৱা প্ৰদেশটোৰ ভিতৰত দ্ৰব্য আৰু সেৱাবোৰ উৎপাদন কৰা অধিবাসী আৰু অনা-অধিবাসী উভয় উৎপাদনকাৰী থাকে। উদাহৰণস্বৰূপে, অধিবাসী উৎপাদনকাৰীৰ বাদেও ভাৰতত বহুতো বহু গোষ্ঠীয়/বহুজাতীয় কোম্পানী আৰু বৈদেশিক বেংকে কাৰ্য্য নিৰ্বাহ কৰি আছে। সিহঁতৰ চূড়ান্ত উৎপাদনত ভুক্ত কৰা হয়। GDPMP দেশখনৰ সেইসকল অধিবাসীয়ে আৰ্জন কৰা আয় বা উৎপাদনক বাদ দিয়ে, যিসকল ঘৰৱা প্ৰদেশটোৰ বাহিৰত থাকে। উদাহৰণস্বৰূপে, ভাৰতৰ অৱস্থিত আমেৰিকাৰ দূঅবাসত নিয়োজিত ভাৰতীয়সকলৰ আয়ক ভাৰতৰ ঘৰুৱা উৎপাদনত ভুক্ত কৰা নহয় কাৰণ আমেৰিকাৰ দূতাবাসটো আমেৰিকাৰ ঘৰুৱা প্ৰদেশৰ এটা অংশ। ই অধিবাসীসকলে বিদেশত আৰ্জন কৰা আয়কো লেখত নলয়।
সাংকেতিকভাৱে, GDPMP = PG + PS
য’ত P য়ে চলিত বৰ্ষৰ দৰক নিৰ্দেশ কৰে।
G য়ে দ্রব্যক নির্দেশ কৰে।
S য়ে সেৱাক নির্দেশ কৰে।
প্রশ্ন ১৫। বজাৰ দৰত মুঠ ৰাষ্ট্ৰীয় উৎপাদন (GNPMP) বুলিলে কি বুজা?
উত্তৰঃ বজাৰ দৰত মুঠ ৰাষ্ট্ৰীয় উৎপাদনে কেৱল দেশখনৰ ঘৰুৱা প্ৰদেশটোৰ ভিতৰত উৎপাদিত সকলো চূড়ান্ত দ্ৰব্য আৰু সেৱাৰ চলিত মুদ্রা মূল্যকে ভুক্ত নকৰে, ই বিদেশৰ পৰা আহৰণ কৰা নিগুটি উপাদান আয়কো (NFIA) ভুক্ত কৰে। সাংকেতিকভাৱে,
GNPMP = GDPMP + NFIA
GNPMP GDPMP ৰ সমান বা তাতকৈ বেছি বা তাতকৈ কমও হ’ব পাৰে। সেইটো নিৰ্ভৰ কৰিব বিদেশৰ পৰা আহৰণ কৰা নিশুটি উপাদান আয় ধনাত্মক নে ঋণাত্মক হয়। যদি বিদেশলৈ প্ৰদান কৰা উপাদানৰ পাৰিশ্ৰমিক তথা আয় বিদেশৰ পৰা আৰ্জন কৰা উপাদান আয়তকৈ অধিক হয়, তেন্তে বজাৰ দৰত মুঠ ৰাষ্ট্ৰীয় আয়, বজাৰ দৰত মুঠ ঘৰুৱা আয়তকৈ কম হ’ব। বিপৰীতক্রমে যদি পাওনাতকৈ দেনা কম হয়, তেন্তে GDPMP তকে GNPMP অধিক হ’ব।
প্রশ্ন ১৬। বজাৰ দৰত নিগুটি ঘৰুৱা উৎপাদনৰ বিষয়ে চমুকৈ লিখা।
উত্তৰঃ মুঠ ঘৰুৱা উৎপাদনৰ পৰা অৱক্ষয়নক বিয়োগ কৰি নিশুটি ঘৰৱা উৎপাদন (NDFMP) পোৱা যায়। নিশুটি ঘৰুৱা উৎপাদনক এবছৰত দেশ এখনৰ ঘৰুৱা প্ৰদেশটোৰ ভিতৰত ইয়াৰ অধিবাসী আৰু অনা-অধিবাসীসকলে উৎপাদন কৰা চূড়ান্ত দ্ৰব্য আৰু সেৱাবোৰ নিশুটি বজাৰ মূল্য হিচাবে ব্যাখ্যা কৰা হয়। চমুকৈ,
NDPMP = GDPMP – অৱক্ষয়ন
অৱক্ষয়নক স্থিৰ মূলধনৰ উপভোগ বুলিও কোৱা হয়, কাৰণ ই হৈছে স্থিৰ মূলধনৰ ব্যৱহাৰ যি অৱক্ষয়নৰ সৃষ্টি কৰে। গতিকে আমি উৎপাদনৰ মুঠ মূল্যৰ পৰা অৱক্ষয়নক বাদ দিওঁ, আমি উৎপাদনৰ নিগুটি মূল্য লাভ কৰো।
প্রশ্ন ১৭। বজাৰ দৰত নিগুটি / প্রকৃত জাতীয় উৎপাদনৰ ওপৰত এটা টোকা লিখা।
উত্তৰঃ বজাৰ দৰত নিগুটি জাতীয় উৎপাদন (NNPMP) হৈছে পৃথিৱীৰ যিকোনো অংশৰ দেশ এখনৰ সাধাৰণ অধিবাসীসকলে উৎপাদন কৰা সকলো দ্ৰব্য আৰু সেৱাৰ বজাৰ মূল্য। আনকথাত, নিগুটি জাতীয় উৎপাদন হৈছে মুঠ জাতীয় উৎপাদনৰ বিয়োগ অৱক্ষয়ন। NNPMP ৰ মূল্য, NDPMP ৰ লগত বিদেশৰ পৰা আহৰণ কৰা নিগুটি উপাদান আয়ক যোগ কৰিও লাভ কৰিব পাৰি।
সাংকেতিভাৱে, NNPMP = GNPMP – অৱক্ষয়ন
NNPP = NDPMP + NFIA
প্রশ্ন ১৮। বজাৰ দৰত নিণ্ডটি ঘৰুৱা উৎপাদন (NDPMP) আৰু নিওটি জাতীয় উৎপাদন (NNPMP)ৰ মাজত পাৰ্থক্য লিখা।
উত্তৰঃ
| ভিত্তি | NDPMP | NNPMP | 
| অর্থ | ই দেশ এখনৰ ঘৰুৱা প্ৰদেশটোৰ ভিতৰত উৎপাদিত সকলো চূড়ান্ত দ্ৰব্য আৰু সেৱাৰ বজাৰ মূল্যক নিৰ্দেশ কৰে। | ই দেশ এখনৰ সাধাৰণ অধিবাসীসকলে উৎপাদন কৰা চূড়ান্ত দ্ৰব্য আৰু সেৱাবোৰ বজাৰ মূল্যক নিৰ্দেশ কৰে। | 
| প্রকৃতি | ই হৈছে এটা ঘৰুৱা ধৰাণা, যিহেতু ই বিদেশৰ পৰা নিগুটি উপাদান আয়ক বাদ দিয়ে। | ই হৈছে এটা জাতীয় ধাৰণা যিহেতু ই বিদেশৰ পৰা নিশুটি উপাদান আয়ক ভুক্ত কৰে। | 
| সূত্র | NDPMP = GDPMP – অৱক্ষয়ন | NNPMP = GNPMP – অৱক্ষয়ন | 
প্রশ্ন ১৯। জাতীয় ব্যয়যোগ্য আয়ৰ ধাৰণাটো লিখা।
উত্তৰঃ জাতীয় ব্যয়যোগ্য আয় হৈছে ৰাষ্ট্ৰখনৰ হাতত থকা মুক্তভাৱে খৰছ কৰিব পৰা মুঠ আয়। আন কথাত, ই হৈছে দেশ এখনে ইচ্ছা আনুযায়ী খৰছ বা ব্যৱহাৰ কৰিব পৰা সৰ্বোচ্চ/গৰিষ্ঠ আয়ৰ স্তৰ। সেইবাবে, ব্যক্তিগত ব্যয়যোগ্য আয়ৰ দৰে ই ৰাষ্ট্ৰখনৰ উপাদান আয় আৰু হস্তান্তৰিত আয় উভয়কে ভুক্ত কৰে।
ঘৰুৱা আয়ৰ (NDPFC) লগত বিদেশৰ পৰা আৰ্জন কৰা নিশুটি উপাদান আয়ক যোগ কৰি জাতীয় আয়ক গণনা কৰা হয়। নিশুটি পৰোক্ষ কৰ হৈছে চৰকাৰৰ হস্তান্তৰিত আয় যিটো ই পৰিয়ালৰ পৰা লাভ কৰে আৰু ইয়াৰ আমাৰ জাতীয় আয়ৰ গণনাৰ পৰা বাদ দিয়া হয় যিহেতু নিশুটি পৰোক্ষ কৰ হৈছে হস্তান্তৰিত আয়। যিহেতু চৰকাৰে ভবা উপযুক্ত ধৰণৰ আনুসৰি ইয়াৰ নিওটি পৰোক্ষ কৰক মুক্তভাৱে ব্যৱহাৰ কৰিব পাৰে, গতিকে ইয়াক ৰাষ্ট্ৰীয় ব্যয়যোগ্য আয় নিৰ্ণয়ৰ বাবে যোগ কৰাটো প্ৰয়োজনীয় হ’ব। পৰোক্ষ কৰৰ বাদেও দেশখনে পৃথিৱীৰ বাকী অংশৰ পৰা লাভ কৰা নিগুটি চলিত দেনাকো ৰাষ্ট্ৰীয় ব্যয়যোগ্য আয়ৰ গণনাত ভুক্ত কৰা হয় । দেশখনৰ ঘৰুৱা প্ৰদেশটোৰ পৰা লাভ কৰা আন সকলো হস্তান্তৰিত দেনাই এটাই আনটোক লোপ কৰে আৰু সেইবাবে, ৰাষ্ট্ৰখনৰ ব্যয়যোগ্য আয়ক প্রভাৱিত নকৰে। এইদৰে, নিগুটি ৰাষ্ট্ৰীয় ব্যয়যোগ্য আয় = ৰাষ্ট্ৰীয় আয় (NNPFC) + পৰোক্ষ কৰ (চৰকাৰৰ হস্তান্তৰিত আয়) + পৃথিৱীৰ বাকী অংশৰ পৰা চলিত হস্তান্তৰিত আয়।
যদি আমি নিগুটি ৰাষ্ট্ৰীয় বায়যোগ্য আয়ৰ লগত স্থিৰ মূলধনৰ উপভোগক যোগ কৰো, তেন্তে আমি মুঠ ৰাষ্ট্ৰীয় ব্যয়যোগ্য আয় পাম।

Hi! my Name is Parimal Roy. I have completed my Bachelor’s degree in Philosophy (B.A.) from Silapathar General College. Currently, I am working as an HR Manager at Dev Library. It is a website that provides study materials for students from Class 3 to 12, including SCERT and NCERT notes. It also offers resources for BA, B.Com, B.Sc, and Computer Science, along with postgraduate notes. Besides study materials, the website has novels, eBooks, health and finance articles, biographies, quotes, and more.



