NIOS Class 12 Economics Chapter 11 सूचकांक

NIOS Class 12 Economics Chapter 11 सूचकांक Solutions Hindi Medium As Per New Syllabus to each chapter is provided in the list so that you can easily browse throughout different chapters NIOS Class 12 Economics Chapter 11 सूचकांक Notes and select need one. NIOS Class 12 Economics Question Answers Download PDF. NIOS Study Material of Class 12 Economics Notes Paper 318.

NIOS Class 12 Economics Chapter 11 सूचकांक

Join Telegram channel
Follow us:
facebook sharing button
whatsappp sharing button
instagram sharing button

Also, you can read the NIOS book online in these sections Solutions by Expert Teachers as per National Institute of Open Schooling (NIOS) Book guidelines. These solutions are part of NIOS All Subject Solutions. Here we have given NIOS Class 12 Economics Hindi Medium Solutions, NIOS Senior Secondary Course Economics Notes in Hindi for All Chapter, You can practice these here.

Chapter: 11

पाठगत प्रश्न 11 .1

1. पाशे का सूचकांक आधारित है-

(i) आधार वर्ष की मात्रा पर।

(ii) चालू वर्ष की मात्रा पर।

(ii) आधार वर्ष और चालू वर्ष की मात्रा पर।

(iv) उपरोक्त में कोई नहीं।

उत्तर: (ख) चालू वर्ष की मात्रा पर।

WhatsApp Group Join Now
Telegram Group Join Now
Instagram Join Now

पाठगत प्रश्न 11.2

1. भारित औसत मूल्यानुपात विधि का प्रयोग करते हुए निम्नलिखित से सूचकांक ज्ञात करो-

मदेंआधार वर्ष मूल्य (रु. में)वर्तमान वर्ष मूल्य (रु. में)भार W
1009030
202015
76020
201510
405525

उत्तर: भारित औसत मूल्यानुपात विधि से सूचकांक:

सूत्र : 

मदP₀P₁WP₀WP₁W
100903030002700
202015300300
760201401200
201510200150
40552510001375
योग46405725

सूचकांक = 123.3.

पाठगत प्रश्न 11.3

1. माना एक व्यक्ति की वर्ष 2005 में आमदनी 1500 रुपये प्रतिमाह थी। सन् 2012 में यह आमदनी क्या होगी, जबकि जीवन निर्वाह मूल्य सूचकांक वर्ष 2005 को आधार मानकर 2010 में 170.30 था।

उत्तर: दिया है:

2005 में आय = 1500.

2010 का CPI (आधार 2005) = 170.30.

नई आय=1500× 170.30/100.

=1500×1.703=2554.5.

2012 में आय ≈ ₹2555.

पाठांत अभ्यास

1. निम्न का उपयोग कर प्रश्न (i) से (iv) तक के उत्तर दीजिए।

एक कंपनी निम्न चार उत्पाद क्रय करती है:

खरीदी गई इकाइयों की संख्याप्रति इकाई अदा मूल्य (रु. में)
मदेंवर्ष 1वर्ष 2वर्ष 1वर्ष 2
20241011
55512325
63841717
28341920

(i) वर्ष 2 के उत्पादों का मूल्य सूचकांक वर्ष 1 को आधार वर्ष मानकर ज्ञात करो।

उत्तर: 

मदq₀q₁P₀P₁P₀q₀P₁q₀
20241011200220
5551232512651375
6384171710711071
28341920532560
योग30683226

P01 ​= 3226/3068 ​× 100 = 105.15.

105.15.

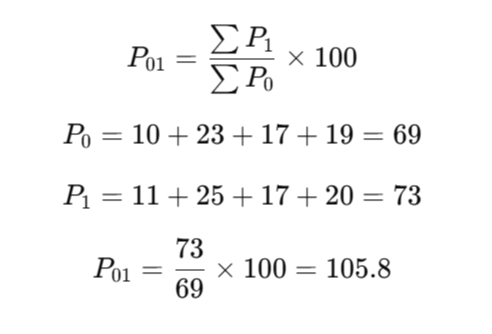
(ii) वर्ष 1 को आधार मानकर, वर्ष 2 का सरल समूहीकरण विधि से सूचकांक ज्ञात करो।

उत्तर: 

105.8.

(iii) वर्ष 1 को आधार मानकर लेस्पीयर सूचकांक विधि द्वारा वर्ष 2 का चालू भारित समूहीकरण सूचकांक बनाइए।

उत्तर: P01​ = 3226/3068 ​× 100.

P01 ​= 105.15.

लेस्पीयर का चालू भारित सूचकांक = 105.15.

अर्थ : वर्ष 2 में कीमतें वर्ष 1 की तुलना में 5.15% बढ़ी हैं।

(iv) चालू अवधि का समूहीकरण सूचकांक और वर्ष 2 पाशे का पाशे की सूचकांक ज्ञात करो। वर्ष 1 को आधार वर्ष मानिए।

उत्तर: 

मदq₁P₀P₁P₁q₁P₀q₁
241011264240
51232512751173
84171714281428
341920680646
योग36473487

P01​ = 3647/3487 ​× 100 = 104.59.

104.59.

Leave a Comment

This site uses Akismet to reduce spam. Learn how your comment data is processed.

Scroll to Top