NIOS Class 12 Physics Chapter 12 Heat Transfer and Solar Energy Solutions English Medium As Per New Syllabus to each chapter is provided in the list so that you can easily browse throughout different chapters NIOS Class 12 Physics Chapter 12 Heat Transfer and Solar Energy Notes in English and select need one. NIOS Class 12 Physics Solutions English Medium Download PDF. NIOS Study Material of Class 12 Physics Notes Paper Code: 312.
NIOS Class 12 Physics Chapter 12 Heat Transfer and Solar Energy
Also, you can read the NIOS book online in these sections Solutions by Expert Teachers as per National Institute of Open Schooling (NIOS) Book guidelines. These solutions are part of NIOS All Subject Solutions. Here we have given NIOS Class 12 Physics Notes, NIOS Senior Secondary Course Physics Solutions in English for All Chapter, You can practice these here.
Heat Transfer and Solar Energy
Chapter: 12
| Module – III: Thermal Physics |
INTEXT QUESTIONS 12.1
1. Distinguish between conduction and convection.
Ans: Conduction is the process of heat transfer through a solid material without any movement of the particles of the substance as a whole. In this method, heat is passed from one particle to another through direct contact. The particles themselves only vibrate in place and do not move with the heat. This process mainly occurs in solids, especially metals, which are good conductors of heat.
Convection, on the other hand, is the process of heat transfer through the actual movement of fluid particles (liquids or gases). In convection, the warmer part of the fluid becomes lighter and rises, while the cooler part becomes denser and sinks, setting up a convection current. This circulation transfers heat within the fluid. Convection does not take place in solids because their particles are not free to move.
Conduction occurs due to direct contact and particle vibration in solids, while convection occurs due to the movement of fluid particles in liquids and gases.
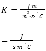
2. Verify that the units of K are Js⁻¹ m⁻¹ °C⁻¹.
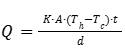
Ans: Thermal conductivity, K, is given by:

Where:
Q : Energy (J)
d Thickness (m)
A = Area (m²)
t : Time (s)
Th – Tc : Temperature difference (°C)
Units:

So, the units of K are J s⁻¹ m⁻¹ °C⁻¹.
3. Explain why do humans wrap themselves in woollens in winter season?
Ans: Humans wrap themselves in woollens during the winter season to keep their bodies warm and protect themselves from the cold. Wool is a very good insulator of heat because it traps a large amount of air between its fibres. Air is a poor conductor of heat, which means it does not allow body heat to escape easily into the surroundings. When we wear woollen clothes, the air trapped within the fabric forms a layer around our body that prevents the loss of body heat and shields us from the cold external temperature. This helps maintain our body warmth even when the outside temperature is low. In addition, wool feels warm to the touch and provides a soft, comfortable covering, making it an ideal fabric for winter clothing.
4. A cubical slab of surface area 1 m², thickness 1 m, and made of a material of thermal conductivity K. The opposite faces of the slab are maintained at 1°C temperature difference. Compute the energy transferred across the surface in one second and hence give a numerical definition of K.
Ans: Given: Surface area,
A = 1 m²
Thickness, d = 1 m
Temperature difference, Th – Tc
= 1 °C
Time, t = 1 s
Using

Calculation:
Q = K⋅1⋅1⋅11
= K J
So, when a cubical slab of area 1 m² and thickness 1 m with faces at 1°C temperature difference conducts K joules of heat in 1 second, K is the coefficient of thermal conductivity.
5. During the summer, the land mass gets very hot. But the air over the ocean does not get as hot. This results in the onset of sea breezes. Explain.
Ans: During the summer, the land heats up much more quickly than the ocean because land has a lower specific heat capacity compared to water. This means that for the same amount of heat from the Sun, the temperature of the land increases more rapidly than that of the ocean. As a result, the air above the land also becomes hotter and lighter.
Hot air is less dense and rises, creating a region of low pressure over the land. Meanwhile, the air over the ocean remains relatively cooler and denser, creating a region of high pressure. To balance this pressure difference, the cooler air from the ocean starts moving toward the land, replacing the rising warm air. This movement of cool air from the sea toward the land is known as a sea breeze.
Sea breezes usually occur during the daytime, especially in coastal areas, and help moderate the temperature along the shoreline. They provide natural cooling and bring relief from the intense heat of summer afternoons. This phenomenon is a direct result of the difference in the rate of heating between land and water and the movement of air due to pressure differences caused by temperature variations.
INTEXT QUESTIONS 12.2
1. At what wavelength does a cavity radiator at 300K emit most radiation?
Ans: Given: Temperature, T = 300 K
Wien’s Law: m T = 2.884 times 10^{-3} m·K
Calculation:

= 9.613 * 10-6 m
= 9.6 μm
Most radiation is emitted at a wavelength of 9.6 μm.
2. Why do we wear light colour clothing during summer?
Ans: We wear light-coloured clothing during summer because light colours reflect most of the sunlight, including heat, rather than absorbing it. The Sun emits energy in the form of light and heat. Dark-coloured clothes absorb a larger amount of this energy, causing the fabric and the body underneath to become warmer. On the other hand, light colours such as white, cream, or pastel shades reflect a significant portion of the sun’s rays, keeping the fabric and the body cooler.
In summer, when the temperatures are high, wearing light-coloured clothes helps prevent the body from overheating and makes us feel more comfortable. Additionally, light-coloured clothes are often made of lightweight, breathable materials which further assist in air circulation and sweat evaporation. This helps maintain a normal body temperature and reduces discomfort in hot weather. Therefore, light-coloured clothing is preferred during the summer for its ability to reflect heat and provide a cooling effect.

Hi! my Name is Parimal Roy. I have completed my Bachelor’s degree in Philosophy (B.A.) from Silapathar General College. Currently, I am working as an HR Manager at Dev Library. It is a website that provides study materials for students from Class 3 to 12, including SCERT and NCERT notes. It also offers resources for BA, B.Com, B.Sc, and Computer Science, along with postgraduate notes. Besides study materials, the website has novels, eBooks, health and finance articles, biographies, quotes, and more.


