NIOS Class 12 Physics Chapter 4 Motion in a Plane

NIOS Class 12 Physics Chapter 4 Motion in a Plane Solutions English Medium As Per New Syllabus to each chapter is provided in the list so that you can easily browse throughout different chapters NIOS Class 12 Physics Chapter 4 Motion in a Plane Notes in English and select need one. NIOS Class 12 Physics Solutions English Medium Download PDF. NIOS Study Material of Class 12 Physics Notes Paper Code: 312.

NIOS Class 12 Physics Chapter 4 Motion in a Plane

Join Telegram channel
Follow us:
facebook sharing button
whatsappp sharing button
instagram sharing button

Also, you can read the NIOS book online in these sections Solutions by Expert Teachers as per National Institute of Open Schooling (NIOS) Book guidelines. These solutions are part of NIOS All Subject Solutions. Here we have given NIOS Class 12 Physics Notes, NIOS Senior Secondary Course Physics Solutions in English for All Chapter, You can practice these here.

Chapter: 4

Module – I: Motion, Force and Energy

INTEXT QUESTIONS 4.1

1. Identify examples of projectile motion from among the following situations:

[Hint: Remember that at the time of release the bomb shares the horizontal motion of the plane.]

(a) An archer shoots an arrow at a target.

(b) Rocks are ejected from an exploding volcano.

(c) A truck moves on a mountainous road.

WhatsApp Group Join Now
Telegram Group Join Now
Instagram Join Now

(d) A bomb is released from a bomber plane.

(e) A boat sails in a river.

Ans: (a) Yes, it is an example of projectile motion.

(b) Yes, it is an example of projectile motion.

(c) No, it is not an example of projectile motion.

(d) Yes, it is an example of projectile motion.

(e) No, it is not an example of projectile motion.

2. Three balls thrown at different angles reach the same maximum height.(Fig. 4.3):

(a) Are the vertical components of the initial velocity the same for all the balls? If not, which one has the least vertical component? 

(b) Will they all have the same time of flight?

(c) Which one has the greatest horizontal velocity component?

Ans:


(c) The ball thrown at the smallest angle has the largest vox = vo cosθo

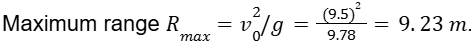
3. An athlete set the record for the long jump with a jump of 8.90 m. Assume his initial speed on take off to be 9.5 ms–1. How close did he come to the maximum possible range in the absence of air resistance? Take g = 9.78 ms–2.

Ans: 

Difference =9.23-8.90=0.33 m.

Hence the record is only 0.33 m short of the ideal value. 

INTEXT QUESTIONS 4.2

1. In uniform circular motion:

(a) Is the speed constant?

Ans: Yes. In uniform circular motion, the object moves along a circular path with constant speed (magnitude of velocity.

(b) Is the velocity constant?

Ans: No. Velocity is a vector, and though speed is constant, the direction of motion continuously changes, so the velocity is not constant.

(c) Is the magnitude of the acceleration constant?

Ans: Yes. The acceleration always points toward the center of the circle and its magnitude is given by a = v2/r which stays constant if speed and radius remain constant.

(d) Is acceleration constant? Explain.

Ans: No. Although the magnitude is constant, the direction of acceleration keeps changing, so the acceleration vector is not constant.

2. In a vertical motion does the angular velocity of the body change? Explain.

Ans: Yes, in vertical circular motion angular velocity changes. This is because gravitational force affects the speed of the object—speed increases as the object moves downward and decreases as it goes upward. Since angular velocity depends on speed, it also changes.

3. An athlete runs around a circular track with a speed of 9.0 m/s-1 and a centripetal acceleration of 3 m/s-2. What is the radius of the track?

Ans: Given: speed = 9.0 m/s

acceleration = 3 m/s².

Radius = 27 m

4. The Fermi lab accelerator is one of the largest particle accelerators. In this accelerator, protons are forced to travel in an evacuated tube in a circular orbit of diameter 2.0 km at a speed which is nearly equal to 99.99995% of the speed of light. What is the centripetal acceleration of these protons? Take c = 3 × 108 ms–1.

Ans: Given: Diameter = 2.0 km

= 2000 m 

→ Radius r=1000 m

Leave a Comment

This site uses Akismet to reduce spam. Learn how your comment data is processed.

This will close in 0 seconds

Scroll to Top