NIOS Class 12 Physics Chapter 24 Structure of Atom Solutions English Medium As Per New Syllabus to each chapter is provided in the list so that you can easily browse throughout different chapters NIOS Class 12 Physics Chapter 24 Structure of Atom Notes in English and select need one. NIOS Class 12 Physics Solutions English Medium Download PDF. NIOS Study Material of Class 12 Physics Notes Paper Code: 312.
NIOS Class 12 Physics Chapter 24 Structure of Atom
Also, you can read the NIOS book online in these sections Solutions by Expert Teachers as per National Institute of Open Schooling (NIOS) Book guidelines. These solutions are part of NIOS All Subject Solutions. Here we have given NIOS Class 12 Physics Notes, NIOS Senior Secondary Course Physics Solutions in English for All Chapter, You can practice these here.
Structure of Atom
Chapter: 23
| Module-VII: Atoms And Nuclei |
INTEXT QUESTIONS 24.1
1. Choose the correct Answers:
(a) In Rutherford’s scattering experiment, target was bombarded with (i) β-rays (ii) γ -rays (iii) α-rays.
(b) The nucleus is surrounded by : (i) electrons (ii) protons (iii) α-particles.
(c) The large angle scattering of α-particles indicated the presence of (i) some positively charged hard core inside the atom (ii) some porous core inside the atom (iii) negatively charged core.
Ans: (a) (iii) α-rays,
2. Name two experimental observations that could not be explained by Rutherford’s model.
Ans: The two experimental observations that could not be explained by Rutherford’s model are:
Stability of the atom: According to classical electromagnetic theory, accelerated charged particles emit electromagnetic radiation and lose energy. Since electrons in Rutherford’s model revolve around the nucleus in circular orbits, they are continuously accelerated due to centripetal acceleration. This means electrons should continuously lose energy by radiating electromagnetic waves and eventually spiral into the nucleus, making atoms unstable. However, atoms are observed to be stable, which contradicted this prediction.
Line spectrum instead of continuous spectrum: According to Rutherford’s model, as electrons lose energy continuously while spiraling toward the nucleus, they should emit electromagnetic radiation of all possible frequencies, resulting in a continuous spectrum. However, experimental observations show that atoms emit light of only specific frequencies, producing discrete line spectra rather than continuous spectra. This discrepancy could not be explained by Rutherford’s classical model.
INTEXT QUESTIONS 24.2
1. Which of Bohr’s postulates “fit” with classical physics and which support the ideas of quantum physics?
Ans: Bohr’s postulates beautifully combine classical and quantum concepts:
Classical Physics Concepts:
First postulate: Electrons move in circular orbits around the nucleus with centripetal force provided by Coulomb’s electrostatic attraction. This follows Newton’s laws of motion and classical mechanics, where mv^2}{r} = Ze^2}{4\pi\epsilon_0 r^2} $
Quantum Physics Concepts:
Second postulate: Angular momentum quantization – only those orbits are allowed where L = mvr = nh}{2\pi} $. This introduces Planck’s constant and quantization, which are purely quantum concepts.
Third postulate: Electrons in allowed orbits do not radiate energy (stationary states) – this contradicts classical electromagnetic theory.
Fourth postulate: Energy emission/absorption occurs only during transitions between energy levels as \Delta E = hν $, introducing photon concept and energy quantization.
The genius of Bohr’s model lies in this hybrid approach, using classical mechanics for orbital motion while incorporating quantum ideas for energy and angular momentum quantization.
2. According to Bohr, why did an atom not collapse while its electrons revolved around the nucleus?
Ans: According to Bohr’s model, an atom does not collapse because of the concept of stationary states. Bohr’s third postulate states that electrons moving in certain allowed orbits do not radiate electromagnetic energy, even though they are accelerated in circular motion. This directly contradicts classical electromagnetic theory, which predicts that accelerated charged particles must emit radiation.
Bohr postulated that only specific orbits are allowed, determined by the quantization condition L = L = mvr = nh/2π
In these special orbits, called stationary states, the electron’s energy remains constant. The electron can exist indefinitely in these orbits without losing energy through radiation. Energy is emitted or absorbed only when the electron transitions between different allowed orbits. This revolutionary concept of stationary states resolved the stability problem of Rutherford’s model and explained why atoms don’t collapse despite having accelerated electrons orbiting the nucleus.
3. According to Bohr, what is happening in the atom when a photon of light is (i) emitted (ii) absorbed?
Ans: According to Bohr’s fourth postulate:
Emission of photon: When an electron “falls” or transitions from a higher energy level (Ef) to a lower energy level (Ei), the atom emits a photon.
The energy of the emitted photon equals the difference in energy levels:
ΔE = Ef – Ei = hv
where ν is the frequency of the emitted photon. The electron loses energy during this transition, and this energy is carried away by the photon. This process occurs spontaneously when an electron in an excited state returns to a lower energy state.
Absorption of photon: When an electron “jumps” or transitions from a lower energy level (Ei) to a higher energy level (Ef), the atom absorbs a photon. The energy of the absorbed photon must exactly match the energy difference between the two levels
ΔE = Ef – Ei = hv The electron gains energy from the photon and moves to a higher orbit. This process occurs when an atom in its ground state or lower excited state absorbs electromagnetic radiation of appropriate frequency.
4. Write the energy of the first three orbits of hydrogen atom on the basis of Bohr’s model.
Ans: Given: For hydrogen atom, the energy of electron in nth orbit is given by:

First orbit (n = 1): E1 = – 13.6 / 12 = – 13.6 eV
Second orbit (n=2): E2 = – 13.6/ 22 = 13.6/4 = – 3.4 eV
Third orbit (n=3): E3 = – 13.6 / 32 = – 13.6 / 9 = – 1.51 eV
The negative sign indicates that the electron is bound to the nucleus. The energy becomes less negative (increases) as we move to higher orbits, meaning the electron is less tightly bound in higher orbits.
5. An atom is excited to an energy level E₁ from its ground state energy level E₀. What will be the wavelength of the radiation emitted?
Ans: Given: Ground state energy = E₀,
Excited state energy = E₁
When the electron returns from excited state E₁ to ground state E₀, it emits a photon.
Energy of emitted photon:
ΔE = E1 – E0
Using Planck’s equation:
ΔE = Hv = hc/λ
Therefore:
E1 – E0 = hc/λ
Solving for wavelength:
λ = hc / E1 – E0
Where:
h = Planck’s constant (6.626 × 10⁻³⁴ J·s)
c = speed of light (3 × 10⁸ m/s)
E₁ – E₀ = energy difference between the two levels
6. In case of hydrogen atom, the radius of the electron in its nth orbit is proportional to (i) 1/n (ii) 1/n2 (iii) n (iv) n²
Ans: From Bohr’s theory, the radius of the nth orbit is given by:
rn = n2h2є0 / πme2Z
For hydrogen atom (Z = 1):
rn = n2 a0
where a₀ is the Bohr radius (0.529 Å).
This shows that En ∝ e4 (and also En ∝ 1/n2)
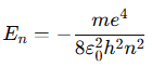
7. The total energy Eₙ of the electron in the nth orbit of hydrogen atom is proportional to (i) e⁴
Ans: The energy expression is:

This Shows:


Hi! my Name is Parimal Roy. I have completed my Bachelor’s degree in Philosophy (B.A.) from Silapathar General College. Currently, I am working as an HR Manager at Dev Library. It is a website that provides study materials for students from Class 3 to 12, including SCERT and NCERT notes. It also offers resources for BA, B.Com, B.Sc, and Computer Science, along with postgraduate notes. Besides study materials, the website has novels, eBooks, health and finance articles, biographies, quotes, and more.


