NIOS Class 12 Physics Chapter 7 Motion of Rigid Body

NIOS Class 12 Physics Chapter 7 Motion of Rigid Body Solutions English Medium As Per New Syllabus to each chapter is provided in the list so that you can easily browse throughout different chapters NIOS Class 12 Physics Chapter 7 Motion of Rigid Body Notes in English and select need one. NIOS Class 12 Physics Solutions English Medium Download PDF. NIOS Study Material of Class 12 Physics Notes Paper Code: 312.

NIOS Class 12 Physics Chapter 7 Motion of Rigid Body

Join Telegram channel
Follow us:
facebook sharing button
whatsappp sharing button
instagram sharing button

Also, you can read the NIOS book online in these sections Solutions by Expert Teachers as per National Institute of Open Schooling (NIOS) Book guidelines. These solutions are part of NIOS All Subject Solutions. Here we have given NIOS Class 12 Physics Notes, NIOS Senior Secondary Course Physics Solutions in English for All Chapter, You can practice these here.

Chapter: 7

Module – I: Motion, Force and Energy

INTEXT QUESTIONS 7.1

1. A frame is made of six wooden rods. The rods are firmly attached to each other. Can this system be considered a rigid body?

Ans: Yes, this system can be considered a rigid body. A rigid body is defined as one in which the separation between the constituent particles does not change with its motion. Since the six wooden rods are firmly attached to each other, the distances between all points in the system remain fixed during any motion. The shape and size of the frame are preserved during motion, which is the key characteristic of a rigid body.

2. Can a heap of sand be considered a rigid body? Explain your answer.

Ans: No, a heap of sand cannot be considered a rigid body. 

A rigid body must maintain fixed distances between all its constituent particles during motion. In a heap of sand:

WhatsApp Group Join Now
Telegram Group Join Now
Instagram Join Now

(i) The individual sand particles can move relative to each other when any force is applied

(ii) The particles can slide, roll shape and internal structure to change

(iii) This violates the fundamental requirement of a rigid body where the separation between constituent particles must remain constant

(iv) Sand particles are only loosely bound together by friction and gravity, not firmly attached like in a true rigid body

Therefore, a heap of sand is a deformable body, not a rigid body.

INTEXT QUESTIONS 7.2

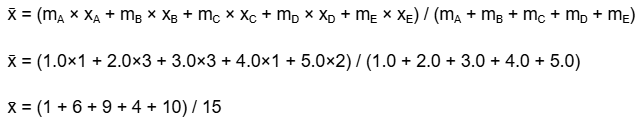
1. The grid shown here has particles A, B, C, D and E respectively have masses 1.0 kg, 2.0kg, 3.0 kg, 4.0 kg and 5.0 kg. Calculate the coordinates of the position of the centre of mass of the system (Fig. 7.5).

Ans: Given: Mass of A (mA) = 1.0 kg

Mass of B (mB) = 2.0 kg

Mass of C (mC) = 3.0 kg

Mass of D (mD) = 4.0 kg

Mass of E (mE) = 5.0 kg

From the grid (Fig. 7.5), reading the coordinates:

Position of A: (1, 1)

Position of B: (3, 1)

Position of C: (3, 3)

Position of D: (1, 4)

Position of E: (2, 2)

The center of mass coordinates are given by:

For x-coordinate:

= 30/15 

= 2.0

For y-coordinate:

= 38/15

= 2.53

Therefore, the center of mass is located at (2.0, 2.53).

2. If three particles of masses m₁ = 1 kg, m₂ = 2 kg, and m₃ = 3 kg are situated at the corners of an equilateral triangle of side 1.0 m, obtain the position coordinates of the centre of mass of the system.

Ans: Given: m₁ = 1 kg, 

m₂ = 2 kg, 

m₃ = 3 kg

Side of equilateral triangle = 1.0 m

Let’s place the triangle in a coordinate system:

m₁ at origin: (0, 0)

m₂ at: (1.0, 0)

m₃ at: (0.5, √3/2) = (0.5, 0.866)

Using the center of mass formula:

For x-coordinate:

= 3.5/6 

= 0.583 m

For y-coordinate:

= 0.433 m

Therefore, the center of mass is located at (0.583 m, 0.433 m).

3. Show that the ratio of the distances of the two particles from their common centre of mass is inversely proportional to the ratio of their masses.

Ans: Consider two particles of masses m₁ and m₂ separated by distance d. Let the center of mass be at distance r₁ from m₁ and r₂ from m₂.

Given: r₁ + r₂ = d

For the center of mass, the moment about CM must be zero:

m₁r₁ = m₂r₂ … (1)

From equation (1):

r₁/r₂ = m₂/m₁

This can be written as:

r₁/r₂ = m₂/m₁ 

= 1/(m₁/m₂)

Therefore, the ratio of distances (r₁:r₂) is inversely proportional to the ratio of masses (m₁:m₂).

This means that the heavier particle is closer to the center of mass, while the lighter particle is farther from it.

Leave a Comment

This site uses Akismet to reduce spam. Learn how your comment data is processed.

This will close in 0 seconds

Scroll to Top