NIOS Class 12 Physics Chapter 6 Work, Energy and Power

NIOS Class 12 Physics Chapter 6 Work, Energy and Power Solutions English Medium As Per New Syllabus to each chapter is provided in the list so that you can easily browse throughout different chapters NIOS Class 12 Physics Chapter 6 Work, Energy and Power Notes in English and select need one. NIOS Class 12 Physics Solutions English Medium Download PDF. NIOS Study Material of Class 12 Physics Notes Paper Code: 312.

NIOS Class 12 Physics Chapter 6 Work, Energy and Power

Join Telegram channel
Follow us:
facebook sharing button
whatsappp sharing button
instagram sharing button

Also, you can read the NIOS book online in these sections Solutions by Expert Teachers as per National Institute of Open Schooling (NIOS) Book guidelines. These solutions are part of NIOS All Subject Solutions. Here we have given NIOS Class 12 Physics Notes, NIOS Senior Secondary Course Physics Solutions in English for All Chapter, You can practice these here.

Chapter: 6

Module – I: Motion, Force and Energy

INTEXT QUESTIONS 6.1

1. When a particle rotates in a circle, a force acts on the particle. Calculate the work done by this force on the particle.

Ans: Given: A particle rotating in a circle with a force acting on it.

= Fd cos θ

When a particle moves in a circular path, the centripetal force always acts towards the center of the circle. At any instant, the displacement of the particle is along the tangent to the circle. Since the centripetal force is radial (towards center) and displacement is tangential, the angle between force and displacement is always 90°.

Therefore: W = Fd cos 90° = Fd × 0 = 0

WhatsApp Group Join Now
Telegram Group Join Now
Instagram Join Now

The work done by the centripetal force is zero.

2. Give one example of each of the following. Work done by a force is:

(a) zero.

(b) negative.

(c) positive.

Ans: (a) Zero work done:

Example: When you carry a bag while walking horizontally on level ground.

(b) Negative work done:

Example: When you apply brakes to stop a moving car.

(c) Positive work done:

Example: When you push a box along the floor in the direction of applied force.

3. A bag of grains of mass 2 kg. is lifted through a height of 5m.

(a) How much work is done by the lift force?

(b) How much work is done by the force of gravity?

Ans: Given: Mass of bag, m = 2 kg

Height lifted, h = 5 m

g = 9.8 m/s²

(a) Work done by lift force:

Formula: W = Fd cos θ

The lift force acts upward and displacement is also upward.

Lift force = mg = 2 × 9.8 = 19.6 N

Angle between force and displacement, θ = 0°

Work done by lift force = 19.6 × 5 × cos 0°

= 19.6 × 5 × 1 = 98 J

(b) Work done by gravity:

W = Fd cos θ

Gravitational force acts downward while displacement is upward.

Gravitational force = mg = 19.6 N

Angle between gravity and displacement, θ = 180°

Work done by gravity = 19.6 × 5 × cos 180°

= 19.6 × 5 × (-1)

= -98 J

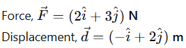
4. 

Ans: 

W = 2(-1) + 3 (2)

W = -2 + 6

= 4 J

Work done = 4 J

5.

(a) Calculate the magnitude of displacement.

(b) Calculate the magnitude of force.

(c) How much work is done by the force?

Ans: 

(a) Magnitude of displacement:

= √(9 + 16) 

= √25 

= 5 m

(b) Magnitude of force:

= √(25 + 9) 

= √34

= 5.83 N

(c) Work done:

W = 5(3) + 3(4) 

= 15 + 12 

= 27 J

Leave a Comment

This site uses Akismet to reduce spam. Learn how your comment data is processed.

This will close in 0 seconds

Scroll to Top