Class 12 Physics Important Chapter 2 Electrostatic Potential and Capacitance Solutions English Medium As Per The New Syllabus to each chapter is provided in the list so that you can easily browse through different chapters ASSEB Class 12 Physics Additional Solutions in English and select need one. NCERT Class 12 Physics Additional Solutions Download PDF. HS 2nd Year Physics Important Solutions.
Class 12 Physics Important Chapter 2 Electrostatic Potential and Capacitance
Also, you can read the NCERT book online in these sections Solutions by Expert Teachers as per Central Board of Secondary Education (CBSE) Book guidelines. CBSE Class 12 Physics Additional Question Answer are part of All Subject Solutions. Here we have given HS 2nd Physics Important Solutions English Medium for All Chapters, You can practice these here.
Electrostatic Potential and Capacitance
Chapter: 2
| IMPORTANT QUESTION AND ANSWER |
Answer The Following Questions:
1. A positive charge +q is located at a point. What is the work done if a unit positive charge is carried once round this charge along a circle of radius r about this point?
Ans. Work done is zero. Force on the unit positive charge is along the radius and direction of motion is perpendicular to it.
2. A point charge +Q is placed at point O as shown in the figure. Is the potential difference VA-VB positive, negative or zero?

Ans:

3. Define capacitance. Give its SI unit.
Ans. The capacitance of a capacitor may be defined as the charge required to be supplied to either of the conductors so as to increase the potential difference between them by unit amount.
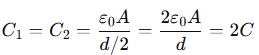
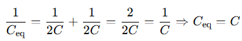
4. A thin metal sheet is placed in the middle of a parallel plate capacitor. What will be the effect on the capacitance ?
Ans. When a thin metal sheet is placed midway between the plates of a parallel plate capacitor, it effectively divides the capacitor into two capacitors connected in series, each having plate separation d/2.
The capacitance of each new capacitor becomes:

Since the two capacitors are in series, the equivalent capacitance Ceq is:

∴ There is no change in capacitance.
5. A charge of 2 C moves between two plates maintained at a potential difference of l volt. What is the energy acquired by the charge?
Ans. Energy acquired = q x V = 2 × 1 = 2J.
6. What is the S.I. unit of capacitance?
Ans: The S.I. unit of capacitance is farad (F).
1 farad = 1 coulomb/volt.
7. Find the value of capacitance C when A = 1 m2 and d=1mm.
Ans: Using the formula:

8. What is a Van de Graaff Generator?
Ans: A Van de Graaff Generator is an electrostatic device that generates very high potential (millions of volts) by using electrostatic induction and the action of points. It transports charge using a moving belt to a hollow metallic dome where it accumulates. It’s used in nuclear physics experiments to accelerate particles.
9. Distinguish between electric potential and potential energy.
Ans:
| Electric potential | Potential energy |
| (i) Work done per unit charge in bringing a test charge from infinity to a point. | (i) Total work done in assembling a system of charges. |
| (ii) Scalar quantity | (ii) Scalar quantity |
| (iii) Depends on the position in the field | (iii) Depends on both position and amount of charge |
| (iv)Unit: Volt (V) | (iv) Unit: Joule (J) |
10. Define electron volt. Express it in Joule.
Ans: An electron volt (eV) is the energy gained by an electron when it is accelerated through a potential difference of 1 volt.
1 eV=1.6×10−19 J.
11. What is the dielectric constant of a metal?
Ans:The dielectric constant KKK of a metal is considered infinite because the electric field inside a conductor is zero.
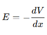
12. What is potential gradient?
Ans: Potential gradient is the rate of change of potential with respect to displacement.
Mathematically, it is:
dV/dx
The electric field is the negative of the potential gradient:

13. Distinguish between a dielectric substance and a conductor.
Ans:
| Dielectric | Conductor |
| (i) Does not allow free movement of charges | (i) Allows free movement of charges |
| (ii) Electric field can exist inside | (ii) Electric field inside is zero |
| (iii) Used to increase capacitance | (iii) Used to carry current |
| (iv) Examples: glass, mica | (iv) Examples: copper, aluminum |
14. What are polar molecules? Give examples.
Ans: Polar molecules are those in which the center of positive charge does not coincide with the center of negative charge, leading to a permanent electric dipole moment.
Examples: Water (H₂O), Ammonia (NH₃), Hydrogen chloride (HCl).
15. A charge of 1 µC is moved in a semicircle over an equipotential surface. Calculate the amount of work done.
Ans. Let A be the starting point on the semi-circle and B the terminal point.

Hi! my Name is Parimal Roy. I have completed my Bachelor’s degree in Philosophy (B.A.) from Silapathar General College. Currently, I am working as an HR Manager at Dev Library. It is a website that provides study materials for students from Class 3 to 12, including SCERT and NCERT notes. It also offers resources for BA, B.Com, B.Sc, and Computer Science, along with postgraduate notes. Besides study materials, the website has novels, eBooks, health and finance articles, biographies, quotes, and more.


