Class 11 Physics Important Chapter 7 System of Particles and Rotational Body Solutions English Medium As Per AHSEC New Syllabus to each chapter is provided in the list so that you can easily browse through different chapters NCERT Class 11 Physics Important Solutions and select need one. AHSEC Class 11 Physics Additional Notes English Medium Download PDF. HS 1st Year Physics Important Solutions in English.
Class 11 Physics Important Chapter 7 System of Particles and Rotational Body
Also, you can read the NCERT book online in these sections Solutions by Expert Teachers as per Central Board of Secondary Education (CBSE) Book guidelines. NCERT Class 11 Physics Additional Question Answer are part of All Subject Solutions. Here we have given HS 1st Year Physics Important Notes in English for All Chapters, You can practice these here.
System of Particles and Rotational Body
Chapter: 7
| IMPORTANT QUESTION AND ANSWER |
Answer the Following Questions:
1. Define moment of inertia and write its SI unit.
Ans: Moment of inertia is the sum of mr² for all particles. SI unit: kg·m².
2. What is torque? Write its formula.
Ans: Torque is the rotational effect of force. τ = r × F
3. Differentiate between angular velocity and linear velocity.
Ans: Angular velocity is rotation per time (rad/s), linear velocity is displacement per time (m/s). Related by: v = ω × r
4. What is the physical significance of the radius of gyration?
Ans: It’s the distance from the axis where whole mass can be imagined to be concentrated.
5. State the principle of conservation of angular momentum.
Ans: If external torque is zero, angular momentum remains constant: L = Iω = constant
6. What is the condition for equilibrium of a rigid body?
Ans: Net force = 0 and net torque = 0
7. Write two differences between translational and rotational motion.
Ans: Translational: All points move equal distance.
Rotational: Points move in circles about an axis.
8. What is rolling motion?
Ans: It is a combination of translational and rotational motion, like a wheel rolling on a road.
9. Write the expression for angular momentum of a rigid body.
Ans: L = Iω
10. Name two devices that use the principle of rotational motion.
Ans: Flywheel, potter’s wheel.
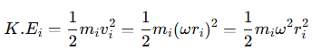
11. Explain the concept of rotational motion and derive the expression for kinetic energy of a rotating body.
Ans: Rotational motion is when a rigid body spins around a fixed axis. Each particle of the body moves in a circle with center on the axis.
For a particle of mass m at distance r from the axis and angular velocity ω, its linear velocity is v = ωr.
Kinetic energy, K.E. = ½mv² = ½m(ωr)² = ½mω²r²
For n particles:
Total K.E. = ½Iω²,
Where I = Σmr² is called the moment of inertia.
This shows that moment of inertia is the rotational analog of mass in linear motion.
12. Define moment of inertia. Explain its significance and the factors on which it depends.
Ans: Moment of Inertia (I) of a rigid body is defined as the sum of the products of the masses of its particles and the square of their distances from the axis of rotation.
Mathematically,

It is a measure of rotational inertia, i.e., the resistance offered by a body to change its rotational motion.
Significance:
Moment of inertia is the rotational analogue of mass in linear motion.
Greater the moment of inertia, harder it is to rotate the body.
Factors affecting I:
Mass of the body (directly proportional)
Distribution of mass relative to axis
Position and orientation of axis
Shape and size of the body.
13. State and explain the law of conservation of angular momentum. Give one example.
Ans: Law of Conservation of Angular Momentum states that if no external torque acts on a system, the total angular momentum remains constant.
Mathematically,
L=Iω = constant
Here, L is angular momentum, I is moment of inertia, and ω is angular velocity.
Derivation:
From Newton’s second law for rotation:
dL/dt = τext
If τext = 0, then dL/dt = 0, implying L = Constant
Example:
A figure skater pulling her arms inward spins faster. Her I decreases, so ω increases to conserve angular momentum.
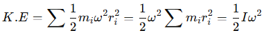
14. Derive the expression for kinetic energy of a rotating body.
Ans: Consider a rigid body rotating with angular velocity ω about an axis. Each particle has a mass mi and is at a distance ri from the axis. Its linear velocity is vi=ωri
Kinetic Energy of ith particle:

Total Kinetic Energy:

Hence,
Rotational kinetic energy = ½ Iω2
15. What do you mean by the radius of gyration? Derive its relation with moment of inertia.
Ans: Radius of Gyration (k) is the distance from the axis of rotation at which the entire mass of the body can be assumed to be concentrated to give the same moment of inertia.
Mathematically,

Where:
I = moment of inertia
M = total mass
k = radius of gyration
It simplifies complex body rotation into a point-mass model and helps in comparing different bodies’ rotational resistance.

Hi! my Name is Parimal Roy. I have completed my Bachelor’s degree in Philosophy (B.A.) from Silapathar General College. Currently, I am working as an HR Manager at Dev Library. It is a website that provides study materials for students from Class 3 to 12, including SCERT and NCERT notes. It also offers resources for BA, B.Com, B.Sc, and Computer Science, along with postgraduate notes. Besides study materials, the website has novels, eBooks, health and finance articles, biographies, quotes, and more.


